第三章 多维随机变量及其分布 3.3 条件分布

article/2025/10/21 15:39:12

第三章 多维随机变量及其分布 3.3 条件分布

文章目录

  • 第三章 多维随机变量及其分布 3.3 条件分布
    • 离散型随机变量的条件分布
    • 连续型随机变量的条件分布

离散型随机变量的条件分布

在这里插入图片描述
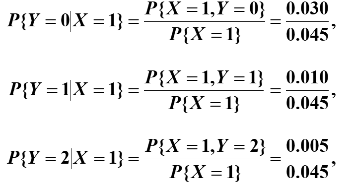
例:
在这里插入图片描述
求:
在这里插入图片描述离散型的直接套条件概率的公式就行了。

在这里插入图片描述
在这里插入图片描述

连续型随机变量的条件分布

在这里插入图片描述
在这里插入图片描述
简单来说就是:
在这里插入图片描述
例:
在这里插入图片描述
在这里插入图片描述


http://chatgpt.dhexx.cn/article/Is3Jg81O.shtml

相关文章

~《概率论》~条件分布

《概率论》条件分布 文章目录 ~《概率论》~条件分布一、离散型随机向量的条件分布1.1、定义1.2、性质 二、连续型随机向量的条件分布2.1、定义2.2、性质 一、离散型随机向量的条件分布 1.1、定义 1.2、性质 二、连续型随机向量的条件分布 2.1、定义 2.2、性质

MCMC算法--Gibbs采样2:多元高斯分布的边际分布与条件分布推导

因为在下篇博客中会介绍Gibbs采样,代码示例用到的是多元高斯分布,所以对条件分布,边际分布公式必须写出来,所以博主整理了下。 参考文献为:http://fourier.eng.hmc.edu/e161/lectures/gaussianprocess/node7.html 由…

条件高斯分布

多元高斯分布的一个重要性质是如果两个变量集是联合高斯分布,那么其中一个基于另一个变量集上的条件分布仍然是高斯分布。边缘高斯分布也有类似结论。 考虑第一种情形的条件高斯分布。假设 X 是一个满足高斯分布 的 D 维向量,我们把 X 分作两个子集 Xa 和…

【概率论】3-6:条件分布(Conditional Distributions Part I)

原文地址1:https://www.face2ai.com/Math-Probability-3-6-Conditional-Distributions-P1转载请标明出处 Abstract: 首先介绍随机变量的条件分布,随后介绍随机变量条件分布下的乘法法则,贝叶斯公式和全概率公式 Keywords: Discrete Conditio…

概率论与数理统计(3.3)二维随机变量条件分布

这个条件分布主要只针对二维的 一、离散型随机变量的条件分布 同理固定一个X为一个常数则可得Y的条件分布律 **注:**离散型的求在什么条件下X或Y的条件分布律,知道他们的联合分布律很重要. 1) 观察这个公式。 注:必须知道P{X1}的…

多元正态分布条件分布公式总结

假设X是有两个随机向量组成 其中 假设X服从多元高斯分布其中 多元正态分布

【概率论】二维随机变量:联合分布律、边缘分布律和条件分布律之间的关系

摘要:本文主要介绍二维随机变量的联合分布律、边缘分布律和条件分布律之间的关系,并以矿山事故为例,强化对三者关系的认识。 一、联合分布律、边缘分布律和条件分布律之间的关系 1、若已知(X, Y)的联合分布率 > 可以求出X的边缘分布律和…

用最简洁的方法证明多元正态分布的条件分布

在证明高斯-马尔科夫随机过程的性质的过程中,遇到了多元正态分布的条件分布的证明,百度发现条件分布的很多证明方法写的极其麻烦,所以自己写了一个。 实际上多元随机变量的公式证明一般用矩阵的方法处理,这里就是采用这种方法&…

联合分布、条件分布、边缘分布还有贝叶斯公式

https://blog.csdn.net/zgcr654321/article/details/85201614?utm_mediumdistribute.pc_relevant.none-task-blog-OPENSEARCH-1.nonecase&depth_1-utm_sourcedistribute.pc_relevant.none-task-blog-OPENSEARCH-1.nonecase 文章目录 联合概率及其分布、边缘概率及其分布、…

概率论-3.5 条件分布与条件期望

离散随机变量的条件分布: 二位随机变量(X,Y)的联合分布列:pijP(Xxi,Yyj) P(Yyj)Sum(P(Xxi,Yyj)),对xi累加 P(Xxi)Sum(P(Xxi,Yyj)),对yj累加 条件分布列: pi | j P(Xxi | Yyj)P(Xxi,Yyj) / P(Yyj)pij / pj pj | i P(Yyj…

3.3 二维随机变量条件分布

学习目标: 要学习二维随机变量的条件分布,我可能会采取以下步骤: 复习边缘分布和联合分布:首先需要了解二维随机变量的边缘分布和联合分布的概念以及相应的公式。 复习条件概率:学习条件概率的定义和计算公式&#x…

NPOI 下载

https://www.nuget.org/packages/NPOI/

NPOI 第一篇 NPOI的下载、引用、基本使用

前言 总渴望去拥有那些自己没有的东西,比如经验、能力;但自己拥有的更为重要的东西,却如此的不珍惜,比如青春。所以啊,趁着青春多写点代码,就能让自己早一步去渴望重新拥有青春了。 有需要的小伙伴可以直…

NPOI的基本使用

在NPOI初识中简了解了下NPOI的简介和优势,接下来看一下如果下载使用。新建一个小的Demo,如下: 第一步,新建一个控制台应用程序: 第二步,利用Nuget获取NPOI, 这里引用的2.4.1最稳定版本: 引用添…

NOP (code)_NOP指令作用及解析

摘自:维基百科 NOP (code) 前言 在计算机科学中,NOP、no-op 或 NOOP(发音为“no op”;no operation 的缩写)是一种机器语言指令及其汇编语言助记符、编程语言语句或不执行任何操作的计算机协议命令。 免费的C语言和l…

C# NOPI导出Excel 设置计算公式,多行表头

说明 现需要导出Excel,统计每个人的工作量,计算方式为:项目分值*项目数量 效果 c#代码 //创建工作簿 MemoryStream MStream new MemoryStream();XSSFWorkbook WBook new XSSFWorkbook(); //创建sheet ISheet sheet WBook.CreateSheet(D…

vb.net读取写入EXCEl的终极方法-NOPI。

据我浅薄的知识,之前只知道两种操作excel的方法: 一。ODBC操作excel 看下图: 1.ODBC 由于初期连接不同的数据库通过各种不同的API,ODBC就是将各种不同的API封装成统一的接口。当sql语句进入接口时驱动器管理器会判断将他们送入对…

unity NOPI 创建word文档

unity NOPI 创建word文档 导入NOPI 所需要的DLL ICSharpCode.SharpZipLib.dll,NPOI.dll,NPOI.OOXML.dll,NPOI.OpenXml4Net.dll,NPOI.OpenXmlFormats.dll 打包还需导入I18N.CJK.dll,I18N.dll,I18N.West.dll 如果导入Dll出错,设…

pnpm — Monorepo

1、安装 pnpm npm i pnpm -g 2、创建Monorepo管理文件夹,这里命名 Monorepo,并创建packages文件夹 3、创建用于定义工作空间的根目录的yaml文件: pnpm-workspace.yaml,并添加 packages:- packages/ ** 4、 pnpm init 5、pn…

NOPI用法之自定义单元格背景色(3)

NPOI针对office2003使用HSSFWorkbook,对于offce2007及以上使用XSSFWorkbook;今天我以HSSFWorkbook自定义颜色为例说明,Office2007的未研究呢 在NPOI中默认的颜色类是HSSFColor,它内置的颜色有几十种供我们选择,如果不…