贝叶斯网络详解

article/2025/10/2 17:48:47

0x01 贝叶斯网络概述

有时我们需要计算一个不确定原因的概率给出一些观察到的证据,在这些情况下可以使用贝叶斯方法。
贝叶斯网络(bayesian network)
是一种概率图形模型,它在图形模型中显式捕获已知的有向边的条件依赖性,它通过有向无环图(DAG)表示一组变量及其条件依赖关系。

贝叶斯网络非常适合用于获取已发生的事件并预测几种可能的已知原因中的任意一种。例如,贝叶斯网络可以表示疾病和症状之间的概率关系。给定症状,该网络可用于计算各种疾病存在的概率。

高效的算法可以在贝叶斯网络中进行推理和学习。
对变量序列(例如 语音信号或蛋白质序列)进行建模的贝叶斯网络称为动态贝叶斯网络,可以表示和解决不确定性下的决策问题的贝叶斯网络的推广称为影响图。

与手动构建不同,自动学习不需要底层领域的专家知识。贝叶斯网络可以直接从数据库中使用通常内置在适当软件中的基于经验的算法自动学习。但缺点是自动化建设对数据的要求较高。

0x02 贝叶斯网络模型

在0x01中已经提到,贝叶斯网络是有向无环图(DAG),其节点代表贝叶斯意义上的变量。

  • 变量有很多种类型,有可观察量、潜在变量、未知参数或假设。
  • 用边表示条件依赖;未连接的节点表示有条件地相互独立的变量。

每个节点都与一个概率函数相关联,该概率函数将节点父变量的一组特定值作为输入,并给出由节点表示的变量的概率。

最简单的图,可以这么表示:

维基给了一个例子

造成小草变湿有两种方法:洒水车&下雨。
下雨会影响洒水车的出行,小草变湿的结果有两个:T(代表真)和 F(代表假)。

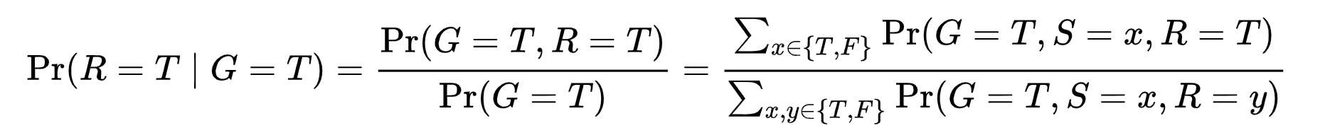
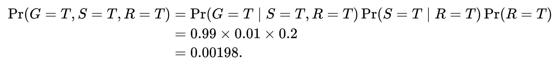
联合概率函数的概率的链式法则:

  • G =“小草变湿(真/假)”
  • S =“洒水器打开(真/假)”
  • R =“下雨(真/假)”

该模型可以回答有关在存在效应(所谓的逆概率)的情况下是否存在原因的问题。
通过使用条件概率公式并对所有的变量求和:

使用联合概率函数的展开Pr(G,S,R)}以及图中所述的条件概率表 (CPT)中的条件概率,可以评估分子和分母中的每个项。

然后数值结果(由相关变量值下标)是

推断未观察到的变量

贝叶斯网络经常用来回答关于它们的概率查询,当有其他变量时,网络可用于更新变量子集状态的知识。这种计算后验分布的过程称为概率推理。当选择变量子集的值时,可以最小化某些期望损失函数,例如决策错误的概率。所以贝叶斯网络可以被认为是一种自动应用贝叶斯定理的机制复杂的问题。

参数学习

指定以 X 的父节点为条件的 X 的概率分布,X 以父代为条件的分布可以有任何形式。通常使用离散或高斯分布,因为这简化了计算。有时只知道分配的限制;然后可以使用最大熵原理来确定单个分布,即在给定约束条件下具有最大熵的分布。

结构学习

贝叶斯网络的模型有分为几种形态:
直连:表示有向图的方向成直线状,并指向同一方向。
表示为:G -> S -> R

汇连:两个独立的节点指向同一个节点。
表示为:G -> S <- R

分连:一个节点分别指向两个不同的节点。
表示为:G <- S -> R

一种特别快速的精确 BN 学习方法是将问题转换为优化问题,并使用整数规划求解。在求解过程中以切割平面的形式将非循环约束添加到整数程序 (IP) 中,这种方法可以处理多达 100 个变量的问题。

软件

对于处理图形模型的有用软件,有几种选择。最常见的软件包有Genie、Hugin、BUGS等。


http://chatgpt.dhexx.cn/article/I67pnLgG.shtml

相关文章

【数据挖掘】贝叶斯网络理论及Python实现

1.理论知识 1.1贝叶斯网络概述 贝叶斯网络&#xff08;Bayesian Network&#xff0c;BN&#xff09;作为一种概率图模型&#xff08;Probabilistic Graphical Model&#xff0c;PGD&#xff09;&#xff0c;可以通过有向无环图(Directed Acyclic Graph&#xff0c;DAG)来表现。…

Android init.rc中vold socket语法简介

一、 前言 本篇文章以Android4.4代码为例&#xff0c;简单说明init.rc中vold里面socket语法的使用。 二、语法简介 2.1 init.rc位置 init.rc文件位置&#xff1a;/system/core/rootdir/init.rc 2.2 vold代码块位置 service vold /system/bin/voldclass coresocket vold s…

Android 7.0 Vold工作流程

一、Vold工作机制 Vold是Volume Daemon的缩写&#xff0c;它是Android平台中外部存储系统的管控中心&#xff0c;是管理和控制Android平台外部存储设备的后台进程。其功能主要包括&#xff1a;SD卡的插拔事件检测、SD卡挂载、卸载、格式化等。 如上图所示&#xff0c;Vold中的…

1.9 深入理解Vold和Rild

第9章 深入理解Vold和Rild 9.1 概述 本章将分析Android系统中两个比较重要的程序&#xff0c;它们分别是&#xff1a; Vold&#xff1a;Volume Daemon&#xff0c;用于管理和控制Android平台外部存储设备的后台进程&#xff0c;这些管理和控制&#xff0c;包括SD卡的插拔事件…

Android之vold进程启动源码分析

1.Vold &#xff08;Volume Daemon&#xff09;介绍 vold进程接收来自内核的外部设备消息&#xff0c;用于管理和控制Android平台外部存储设备&#xff0c;包括SD插拨、挂载、卸载、格式化等&#xff1b;当外部设备发生变化时&#xff0c;内核通过Netlink发送uEvent格式的消息给…

<Android开发> Android vold - 第四篇 vold 的NetlinkHandler类简介

本系列主要介绍 Android vold&#xff0c;分为以下篇章 &#xff1c;Android开发&#xff1e; Android vold - 第一篇 vold前言简介 &#xff1c;Android开发&#xff1e; Android vold - 第二篇 vold 的main()函数简介 &#xff1c;Android开发&#xff1e; Android vold - 第…

<Android开发> Android vold - 第二篇 vold 的main()函数简介

本系列主要介绍 Android vold&#xff0c;分为以下篇章 &#xff1c;Android开发&#xff1e; Android vold - 第一篇 vold前言简介 &#xff1c;Android开发&#xff1e; Android vold - 第二篇 vold 的main()函数简介 &#xff1c;Android开发&#xff1e; Android vold - 第…

Android外部存储设备管理——vold挂载大容量存储设备

一、简介 Vold(volume Daemon)&#xff0c;即Volume守护进程&#xff0c;用来管理Android中存储类(USB-Storage&#xff0c;包含U盘和SD卡&#xff09;的热拔插事件&#xff0c;处于Kernel和Framework之间&#xff0c;是两个层级连接的桥梁。Vold在系统中以守护进程存在&#x…

Android Vold 架构简析

这篇文章中主要是分析一下&#xff0c;android系统里面的Vold——Vold是andorid系统的设备管理器&#xff0c;扮演着linux里面的udev的角色。它通过监听uevent的端口&#xff0c;取得 uevent事件&#xff0c;dispatch到 相应的Listener&#xff0c;执行相应的动作。 UEvent 在…

Android Vold架构

1. 总体架构 2. 流程概览 2.1 开启Vold 2.2 引导Uevent 2.3 处理事件 Vold - Volume Daemon存储类的守护进程&#xff0c;作为Android的一个本地服务&#xff0c;负责处理诸如SD、USB等存储类设备的插拔等事件。 1. 总体架构 Vold服务由volumeManager统一管控&#xff0c…

Vold 流程介绍

文章目录 前言框架MountService 流程Vold 流程 前言 印象中是参考 《深入理解 Android 卷 1 》 追的流程&#xff0c;差不多供参考吧 基于安卓 4.4 框架 MountService 流程 /*【初始化流程总结】&#xff1a; SystemServerinitAndLoop()// 创建 MountService 服务对象mountS…

ANDROID中的VOLD分析

现在可能很少有人会用mknod这个命令了&#xff0c;也很少有使用它的机会&#xff0c;但就在几年前&#xff0c;这还是一项linux工程师的必备技能&#xff0c;在制作文件系统前或加载新的驱动前&#xff0c;我们必须小心翼翼的创建设备节点。 不需要使用mknod并不是他消失了&am…

Android -- Vold机制简要分析

Android -- Vold机制简要分析 Vold是用于管理和控制Android外部存储介质的后台进程&#xff0c;这里说的管控&#xff0c;主要包括SD卡的插拔、挂载/卸载和格式化等&#xff1b;它是Android平台外部存储系统的管控枢纽。 Vold的整个控制模块主要由三个类模块构成&#xff1a;Ne…

Android Vold简介(一)

Vold(volume Daemon)&#xff0c;即Volume守护进程&#xff0c;用来管理Android中存储类的热拔插事件&#xff0c;处于Kernel和Framework之间&#xff0c;是两个层级连接的桥梁。先来看一下Vold在Android系统的整体架构。 该图主要包含了Framework和Vold进程的&#xff0c;Ke…

vold

一、Vold工作机制 Vold是Volume Daemon的缩写&#xff0c;它是Android平台中外部存储系统的管控中心&#xff0c;是管理和控制Android平台外部存储设备的后台进程。其功能主要包括&#xff1a;SD卡的插拔事件检测、SD卡挂载、卸载、格式化等。 如上图所示&#xff0c;Vold中的…

Vold工作流程分析学习

一 Vold工作机制分析 vold进程&#xff1a;管理和控制Android平台外部存储设备&#xff0c;包括SD插拨、挂载、卸载、格式化等&#xff1b; vold进程接收来自内核的外部设备消息。 Vold框架图如下&#xff1a; Vold接收来自内核的事件&#xff0c;通过netlink机制。 Netlink 是…

Android vold介绍

目录 1. 前言2. vold概述3. vold初始化|- -vm->start()|- -process_config|- -hardware::configureRpcThreadpool|- -vold::VoldNativeService::start|- -nm->start() 4. StorageManagerService|- -SM与vold建立关联|- - -startService(serviceClass) |- -StorageManager…

<Android开发> Android vold - 第一篇 vold前言简介

本系列主要介绍 Android vold&#xff0c;分为以下篇章 &#xff1c;Android开发&#xff1e; Android vold - 第一篇 vold前言简介 &#xff1c;Android开发&#xff1e; Android vold - 第二篇 vold 的main()函数简介 &#xff1c;Android开发&#xff1e; Android vold - 第…

Vold原理介绍

一、 Vold简介 Android中Vold是volume Daemon&#xff0c;即Volume守护进程&#xff0c;用来管理Android中存储类的热拔插事件。这里的热插拔涉及的场景如&#xff1a; 1. 手机usb以MTP或者传输照片方式插拔PC端后磁盘数据的挂卸载&#xff1b; 2. 设备开关机过程中存储设备各分…

C语言Switch....case用法

概述 C语言switch语句通常用于多个条件判断&#xff0c;根据不同情况执行不同的代码块。它的使用形式如下&#xff1a; switch&#xff08;表达式&#xff09; { case 常量表达式1&#xff1a; 语句序列1 break; case 常量表达式2&#xff1a; 语句序列2 break; ...... default…