一、写在前面
在文章《Cplex入门教程(一)》的基础上,补充代码的部分
二、如何写代码
- 代码头,请无脑直接抄。
#include <ilcplex/ilocplex.h>
#include <stdio.h>
using namespace std;ILOSTLBEGIN
- 声明环境,建立模型。
IloEnv env;IloModel model(env);
- 定义决策变量,使用ilocplex包含的数据类型,或自己定义新的变量。
IloInt
IloNumVarArray
IloNumArray
IloIntVarArray
IloIntArray
typedef IloArray<IloNumVarArray> IloNumVarArray2;
typedef IloArray<IloNumVarArray2> IloNumVarArray3;IloNumVarArray3 t(env, I);
for (int i = 0; i < I; i++)
{ t[i] = IloNumVarArray2(env, I);for (int j = 0; j < I; j++){ t[i][j] = IloNumVarArray(env, I, 0, 100000);}
}
- 定义模型系数,可使用常用数据类型(int等)或ilocplex包含的数据类型。 可以直接赋值,也可以通过读取.txt/.dat文件输入
ifstream inn;
inn.open("data.txt");
if (inn)
{ inn >> b_1; inn >> b_2; inn >> b_3; inn >> b_4; }
inn.close();

-
使用以下网站查询各数据类型的用法:
http://www-eio.upc.es/lceio/manuals/cplex-11/html/refcppcplex/html/index/index.html#I -
定义目标函数,可以直接写,也可以使用IloExpr定义一个表达式。
// 适用于简单表达
model.add(IloMaximize(env, vars[0] + 2 * vars[1] + 3 * vars[2]));
// 适用于求和等需要迭代的表达
IloExpr v3(env);
v3 += (x[i][j] * b[i][j]);
model.add(IloMinimize(env, v3));
- 添加约束条件,同样有两种方法。
model.add(-vars[0] + vars[1] + vars[2] <= 20);
IloExpr v1(env);
for (i = 0; i < 4; i++)
{v1.clear();for (j = 0; j < 4; j++){ v1 += (x[i][j]); }model.add(v1 == 1);
}
- 求解,无脑直接抄+1。
IloCplex cplex(model);
if (!cplex.solve()) {env.error() << "Failed to optimize LP." << endl;throw(-1);
}
- 输出结果,env.out() << 语句。
env.out() << "Solution status = " << cplex.getStatus() << endl;env.out() << "Solution value = " << cplex.getObjValue() << endl;env.out() << "Values = " << vars << endl;
三、Example 1
- 问题:
min x1 + 2 x2 + 3 x3
s.t. -x1 + x2 + x3 ≤ 20
x1 - 3 x2 + x3 ≤ 30
0 ≤ x1 ≤ 40
0 ≤ x2
0 ≤ x3
#include <ilcplex/ilocplex.h>
#include <stdio.h>
using namespace std;ILOSTLBEGINint main( void * )
{IloEnv env;try {IloModel model( env );IloNumVarArray vars( env );vars.add( IloNumVar( env, 0.0, 40.0 ) ); /* 0 <= x1 <= 40 */vars.add( IloNumVar( env ) ); /* 0 <= x2 */vars.add( IloNumVar( env ) ); /* 0 <= x3 */model.add( IloMaximize( env, vars[0] + 2 * vars[1] + 3 * vars[2] ) ); /* maximize x1 + 2 x2 + 3 x3 */model.add( -vars[0] + vars[1] + vars[2] <= 20 ); /* subject to -x1 + x2 + x3 <= 20 */model.add( vars[0] - 3 * vars[1] + vars[2] <= 30 ); /* x1 - 3 x2 + x3 <=30 */IloCplex cplex( model );if ( !cplex.solve() ){env.error() << "Failed to optimize LP." << endl;throw(-1);}IloNumArray vals( env );env.out() << "Solution status = " << cplex.getStatus() << endl;env.out() << "Solution value = " << cplex.getObjValue() << endl;cplex.getValues( vals, vars );env.out() << "Values = " << vals << endl;}catch ( IloException & e ) { cerr << "Concert exception caught: " << e << endl; }catch ( ... ) { cerr << "Unknown exception caught" << endl; }env.end();system( "pause" );return(0);
}
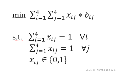
四、Example 2
- 问题:


#ifndef abcde /* ifndef做预处理,进行条件编译 */
#include <ilcplex/ilocplex.h>
typedef IloArray<IloIntVarArray> IntVarMatrix;
typedef IloArray<IloNumVarArray> NumVarMatrix;
typedef IloArray<IloIntArray> IntMatrix;
typedef IloArray<IloNumArray> NumMatrix;
/* 定义各种数组 */
#endifILOSTLBEGINint main( int argc, char **argv )
{IloEnv env;IloModel model( env );IloExpr obj( env );IloInt i, j;IloInt c;IloExpr v1( env );IloExpr v2( env );IloExpr v3( env );IloNumArray b_1( env );IloNumArray b_2( env );IloNumArray b_3( env );IloNumArray b_4( env );/* 文件输入 */ifstream inn;inn.open( "data.txt" );if ( inn ){inn >> b_1; inn >> b_2; inn >> b_3; inn >> b_4;}inn.close();NumMatrix b( env, 4 );for ( i = 0; i < 4; i++ ){b[i] = IloNumArray( env, 4 );}b[0] = b_1; b[1] = b_2; b[2] = b_3; b[3] = b_4;IntVarMatrix x( env, 4 );for ( i = 0; i < 4; i++ ){x[i] = IloIntVarArray( env, 4, 0, 1 );}for ( i = 0; i < 4; i++ ){v1.clear();v2.clear();for ( j = 0; j < 4; j++ ){v1 += (x[i][j]);v2 += (x[j][i]);v3 += (x[i][j] * b[i][j]);}model.add( v1 == 1 );model.add( v2 == 1 );}model.add( IloMinimize( env, v3 ) );obj.end();/* 设置模型迭代结束条件 */IloCplex cplex( model );cplex.setParam( cplex.EpAGap, 0.001 );cplex.setParam( cplex.EpGap, 0.001 );/* 处理异常 */cout << "begin to solve." << endl;try{if ( !cplex.solve() ){if ( (cplex.getStatus() == IloAlgorithm::Infeasible) ||(cplex.getStatus() == IloAlgorithm::InfeasibleOrUnbounded) ){cout << endl << "No solution - starting Conflict refinement" << endl;}env.error() << "Failed to optimize LP." << endl;throw( -1 );}cout << "异常处理完毕" << endl;/* 输出结果及状态 */env.out() << "Solution status = " << cplex.getStatus() << endl;env.out() << "Solution value = " << cplex.getObjValue() << endl;env.out() << "obj = " << cplex.getValue( v3 ) << endl;}catch( IloException & e ){cerr << "Concert exception caught: " << e << endl;
/* save results */}catch( ... ){cerr << "Unknown exception caught" << endl;}/* 目标结果输出 */ofstream of;of.open( "result.txt" );of << cplex.getValue( v3 ) << "\n";of.close();
/* 决策变量输出 */ofstream xij;xij.open( "result_xij.txt" );if ( !xij ){cout << "dabuda" << endl;}else {for ( i = 0; i < 4; i++ ){for ( j = 0; j < 4; j++ ){c = cplex.getValue( x[i][j] );xij << c << ",";cout << c << ",";}xij << endl;cout << endl;}}xij.close();env.out() << endl;env.end();system( "pause" );return(0);
}
















