一、校准加速度计
-
加速度计有零偏和尺度误差。还有其他误差,这里只讨论这两种误差。
-
六面校准法:目的是让输出的数据在9.8mss左右(可以将Xmax = 9.44, Xmin = -10.24代进去感受一下)
公式:以X轴为例


操作:六个面朝上的时候,可以获取每个轴的最大值和最小值。首先,如下图,此面朝上,加速度计的Z轴是9.44。此面朝下,测量的值是-10.24.这样Z轴的最大值和最小值就计算出来了。同理可以获取X,Y轴的最大值最小值(可多测量几次求平均)。如下表:


根据公式:bx = 0.32, kx = 1.00823; by = 0.245, ky = 1.001533; bz = -0.465, kz = 0.993411;
二、校准陀螺仪
陀螺仪的校准只校正零偏误差。其操作是:在上电后,水平静止一段时间,获取陀螺仪N组数据,然后求平均值,该平均值作为初始零偏,最终校准的结果是陀螺仪原始测量值减去初始零偏。
初始零偏 = N组陀螺仪数据的和 / N 陀螺仪校准值 = 陀螺仪测量值 - 初始零偏
三、 磁罗盘的校准
磁罗盘的校准使用椭球拟合的方式进行校准。
理论上,如果将磁力计绕一个点,做各个方向的旋转,绘制出来的三维图像是一个圆的球面,然而,因为磁力计容易受周遭环境的影响,实际绘制出来的三维图像是一个椭球面,且球心不在[0,0,0]。而椭球拟合就可以解决球心不在[0,0,0],三维图像不是一个椭球面。(至于为什么椭球拟合能做到,我暂时还是不懂。大家可以参考一下这个博主的https://blog.csdn.net/shenshikexmu/article/details/70143455?spm=1001.2014.3001.5501)
椭球拟合的流程:
-
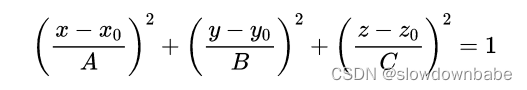
椭球方程

x0,y0,z0表示球心的位置;A,B,C分别表示沿着x轴的赤道半径,沿着y轴的赤道半径,极半径。
x,y,z在磁罗盘校准中表示磁罗盘的x, y, z轴的观测值,也即磁罗盘测量到的值。 -
将椭球方程展开成一般式

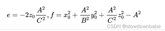
其中:a,b,c,d,e,f 是最小二乘法中待求的未知数,a,b,c,d,e,f 与 x0,y0,z0,A,B,C的关系如下:


最后通过 a,b,c,d,e,f 再求出磁罗盘椭球方程中的 x0,y0,z0,A,B,C。
3. 定义误差方程:

xi,yi,zi表示第i次磁罗盘测量的结果。
将ei写成Ax-b的形式方便进行最小二乘法计算。


最小二乘法的通解如下:

x^* 里面就是 a,b,c,d,e,f 的值,然后通过a,b,c,d,e,f 与 x0,y0,z0,A,B,C的关系求出x0,y0,z0,A,B,C。
-
最终的校准结果如下:
magx,magy,magz 分别是磁罗盘x,y,z轴观测到的值。

-
通过MATLAB展示校准的结果
校准的数据获取的方式是,晃动磁罗盘,让每个轴的数据都能获取到,例如进行各个方向的绕圈。从我下面的图可以看出我绕的不够好,因为我是直接甩的。
【注意:晃动磁罗盘的时候,要远离磁铁,电机或金属材质的东西,因为磁罗盘很容易受此类物品干扰。】
5.1 校准之前

可以看出没有校准的时候,原始数据的球心不在(0,0)的位置上。
5.2 校准之后

基本都在(0,0)附近了。
后续整理好MATLAB和C代码会开源出来。希望能和大家多多交流。
















