因报考院校临时修改专业课,故关于《信号与系统》的博客暂停更新
一、离散时间傅里叶变换性质
1、在以下讨论中,采用如下符号来表明一个信号及其傅里叶变换的一对关系,即

1.1、离散时间傅里叶变换的周期性
离散时间傅里叶变换对w来说总是周期,其周期为2π,即

1.2、线性性质
1、若

且

则

1.3、时移和频移性质
1、若

则

和

1.4、共轭与共轭对称性
1、若

则

同时,若x[n]是实值序列,那么其变换时共轭对称,即

据此可知,Re{X(ejw)}是w的偶函数,而Im{X(ejw)}是w的奇函数
同理,X(ejw)的模是w的偶函数,相角是w的奇函数。另外,进一步可得

和

这里Ev和Od分别表示x[n]的偶部和奇部。
1.5、差分与累加
1、一次差分的傅里叶变换(离散时间系列的累加及其逆运算)
设x[n]的傅里叶变换为X(ejw)。那么根据线性和时移性质,一次差分信号x[n]-x[n-1]的傅里叶变换是

2、累加性质
考虑信号

因为y[n]- y[n-1] = x[n],似乎可能得出y[n]的变换应为x[n]的变换被(1-e-jw所除!
但,这只时对了一部分,与连续时间积分性质一样,除此之外,还会涉及到更多的项,其精确关系是

其中,右边的冲激串反映了累加过程中可能出现的直流或平均值。
举例:

1.6、时间反转
设信号x[n]的频谱为X(ejw),考虑y[n]=x[-n]的变换Y(ejw)。可得

1.7、时域扩展
注:根据连续时间情况下的性质为

如果试图定义一个信号x[an],若a不是一个整数时就遇到了困难,因此就不能用a<1来减慢这个信号的变化,另一方面,如果令a是一个不同与±1的整数,比如说考虑x[2n],这也不只是使原信号的变化加速。因为n仅仅取整数值,x[2n]仅由x[n]中的偶次样本所组成。
1、若令k是一个正整数,并且定义

即

举例:

1.8、频域微分
1、设

对上式两边微分,可得

这个式子的右边就是-jnx[n]的傅里叶变换,因此两边各乘以j,就得
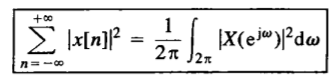
1.9、帕斯瓦尔定理
1、若x[n]和X(ejw)是一对傅里叶变换,则

上式的左边的量就是信号x[n]的总能量,帕斯瓦尔定理表明这个总能量可以在离散时间频率的2π区间上用积分每单位频率上的能量|X(ejw)|2/2π来获得的。|X(ejw)|2称为信号x[n]的能量密度谱。
二、卷积性质
1、若x[n],h[n]和y[n]分别是某一线性时不变系统的输入、单位脉冲响应和输出,而有

那么

其中,X(ejw),H(ejw)和Y(ejw)分别是x[n],h[n]和y[n]的傅里叶变换。
推出:一个离散时间线性时不变系统的频率响应,就是该系统单位脉冲响应的傅里叶变换。
2、不是每一个线性时不变系统都有一个频率响应。然而,若一个线性时不变系统是稳定的,那么它的单位脉冲响应是绝对可和的,即

因此,对稳定系统而言,频率响应总是收敛的。
三、相乘性质
1、考虑y[n]等于x1[n]和x2[n]的乘积,它们的博里叶变换分别是Y(ejw),X1(ejw)和X2(ejw)那么

推理可得

上式就相应于X1(ejw)和X2(ejw)的周期卷积,并且在这个式子中的积分可以再任意2π长度的区间内进行。
卷积的一般形式(积分区间从-∞到+∞)常称为非周期卷积,以与周期卷积相区分。
四、傅里叶变换性质和基本傅里叶变换对列表
1、傅里叶变换性质


2、基本傅里叶变换对


五、对偶性
前导:连续时间傅里叶变换对之间有某种对称性或对偶性存在,但是离散时间傅里叶变换对却不存在相应的对偶性。但是离散时间傅里叶和连续时间傅里叶级数之间却存在一种对偶关系。
1、离散时间傅里叶级数的对偶性
1.1、离散时间傅里叶级数的每个性质都有对应的一个对偶关系存在。
2、离散时间傅里叶变换和连续时间傅里叶级数之间的对偶性
1、处理离散时间傅里叶级数的对偶性之间,在离散时间傅里叶变换和连续时间博里叶级数之间也存在对偶关系

可以注意到,式(5.73)和式(5.76)很相像,式(5.74)和式(5.75)叶很类似。
实际上,可以将式(5.73)和式(5.74)看成周期性频率响应X(ejw)的傅里叶级数表示。
2、傅里叶级数与傅里叶变换综合
















