f ( t ± t 0 ) < − > e ± j w t 0 X ( w ) f(t±t_0) <-> e^{±jwt_0}X(w) f(t±t0)<−>e±jwt0X(w)
e ± j w 0 t f ( t ) < − > X ( w ∓ w 0 ) e^{±jw_0t}f(t) <-> X(w∓w_0) e±jw0tf(t)<−>X(w∓w0)
【 1. 线性 】
- 例:
【 2. 奇偶性 】
- 例:
【 3. 对称性 】
- 例:
【 4. 尺度变换 】
- 例:
【 5. 时移(延时)特性】
- 例:
【 6. 频移特性 】
- 例:
【 7. 卷积 】
- 例:
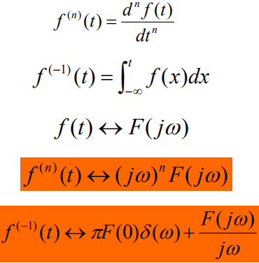
【 8. 时域微分、积分 】
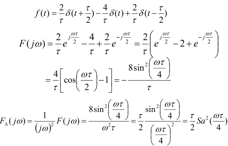
- 例:
【 9. 频域微分、积分 】
- 例:











































