线性性质
阶跃函数的傅里叶变换就是通过线性性质由直流分量和符号函数逼近出来的。
除了最基本的线性特性外,上节提到的对称性,也是傅里叶变换的一个重要性质。
奇虚实偶性
F ( − w ) = ∣ F ( w ) ∣ e − j ϕ ( w ) = R ( w ) − j X ( w ) = F ∗ ( w ) \bm{F(-w)=|F(w)|e^{-j\phi(w)}=R(w)-jX(w)=F^{*}(w)} F(−w)=∣F(w)∣e−jϕ(w)=R(w)−jX(w)=F∗(w) 即傅里叶变换的共轭对称特性
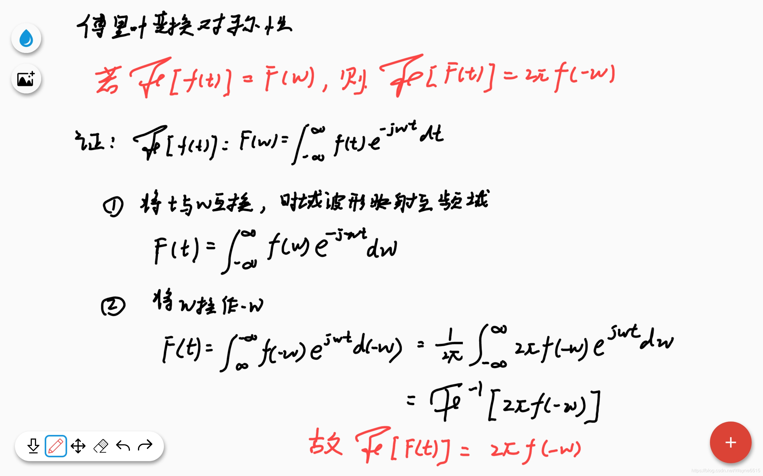
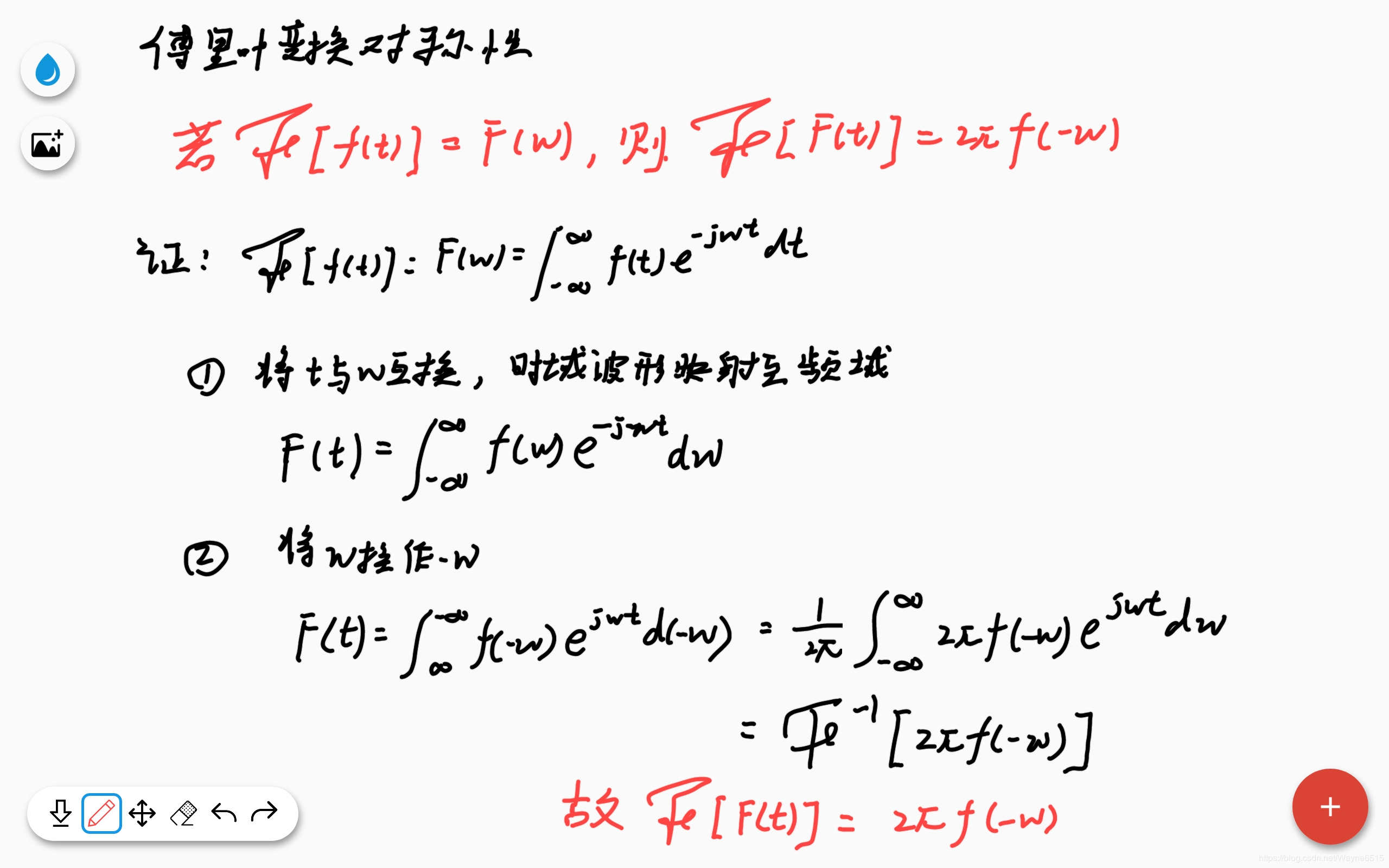
对称性质
在复变函数中我们学过,单位冲激函数的傅氏变换的一些基本性质,实际上就是利用的对称性。


对称性使用的核心便是确定 f ( − w ) f(-w) f(−w),有了 f ( − w ) f(-w) f(−w)换元后便得到 f ( t ) f(t) f(t), F ( w ) 和 F ( t ) F(w)和F(t) F(w)和F(t)也迎刃而解。
例题1: f = w c π { S a { w c t } − S a [ w c ( t − 2 τ ) ] } \bm{f = \frac{w_c}{\pi}{\{Sa{\{w_ct\}-Sa[w_c(t-2τ)]}\}}} f=πwc{Sa{wct}−Sa[wc(t−2τ)]}
要求出这道有关萨函数 S a ( w c t ) Sa(w_ct) Sa(wct)的傅里叶变换,就可利用对称性来求解。
我们已经知道,经典非周期信号中,门函数的傅里叶变换形式上就是一个萨函数
详情推导及例题可参考典型非周期信号的傅里叶变换及其对称性
根据对称性质,有:


这道题最后用到了接下来要讲的时移性质。
时移性质
时移性质是平移性质(时域平移和频域平移)的一种,单纯时移,没有尺度变换不改变信号的波形,而只改变信号的位置;对应的,单纯频移,幅频不变( ∣ F w ∣ |Fw| ∣Fw∣模不变),
相频改变, e − w t 0 滞 后 , e j w t 0 超 前 e^{-wt_0}滞后,e^{jwt_0}超前 e−wt0滞后,ejwt0超前。
证明过程:

尺度变换性质(相似性)
时域上信号无限宽,频域上信号无限窄;且信号的带宽 B B B(第一过零点到原点的距离)与脉宽 τ \tau τ成反比,
B = 1 τ B=\frac{1}{\tau} B=τ1,窄脉冲包含更多的高频成份;但如果只是增加脉冲的个数,脉宽不变,带宽也不会改变。
当脉冲个数增至无限多,非周期信号便成了周期序列,其对应的谱线由连续谱变成了离散谱。
例题2:求 f ( 2 t − 5 ) \bm{f(2t-5)} f(2t−5)的频谱密度函数
解: F [ f ( 2 t − 5 ) ] = F [ f ( 2 ( t − 5 2 ) ) ] = 1 2 F ( w 2 e − j w 5 2 ) \mathscr{F}[f(2t-5)]=\mathscr{F}[f(2(t-\frac{5}{2}))]=\frac{1}{2}F(\frac{w}{2}e^{-jw\frac{5}{2}}) F[f(2t−5)]=F[f(2(t−25))]=21F(2we−jw25)
(时移+尺度变换,交换次序不影响答案)
例题3:已知矩形脉冲 f 0 ( t ) f_0(t) f0(t),求 f ( t ) = f 0 ( t ) c o s ( w 0 t ) \bm{f(t)=f_0(t)cos(w_0t)} f(t)=f0(t)cos(w0t)的频谱函数
事实上,无论哪个域上发生平移,对应域上都要乘以指数因子,有遇到指数因子的,通常放在最后处理。















