文章目录
- 傅里叶变换的基本性质
- 线性性质
- 平移性质
- 对称性质
- 卷积性质
傅里叶变换的基本性质
总的来说,傅里叶变换有这样几个性质:
- 线性性质(Linearity)
- 平移性质(Shift)
- 对称性质(Symmetry)
- 卷积性质(Convolution)
参考 傅里叶变换-wikipedia
线性性质
线性性质:两个函数之和的傅里叶变换等于各自变换之和,反之亦然

import numpy as np
from scipy.fftpack import fft
import matplotlib.pyplot as plt%matplotlib inline
def generate_complex_signal(num_sample, k0):'''generate a complex signalnum_sample : 信号的个数,即公式中的Nk0 : 周期个数returnsx : 复正弦信号'''n = np.arange(num_sample)x = np.exp(1j*2*np.pi*k0*n/num_sample)return x
num_sample = 100
k0 = 20
x1 = generate_complex_signal(num_sample, k0)num_sample = 100
k0 = 10
x2 = generate_complex_signal(num_sample, k0)X1 = fft(x1);
X2 = fft(x2);
mX1 = np.abs(X1);
mX2 = np.abs(X2);x12 = x1 + x2; # adding two signal
X12 = fft(x12);
mX12 = np.abs(X12);# plot the results
plt.figure(figsize=(15,6))plt.subplot(321)
plt.plot(x1)
plt.subplot(322)
plt.plot(x2)plt.subplot(323)
plt.plot(mX1)
plt.subplot(324)
plt.plot(mX2)plt.subplot(325)
plt.plot(mX1 + mX2)
plt.subplot(326)
plt.plot(mX12)plt.show();

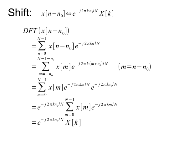
平移性质
在时域上对信号进行平移,那么等价于在频域的复平面上旋转一个角度
相反的,频域的复平面上旋转一个角度,等价于时域上的平移
可以证明平移只对DFT的相位有影响,并不会改变DFT的幅度

x1 = np.linspace(0, 1.0, 50)
x1 = np.append(x1,0)
x1 = np.append(x1,np.linspace(-1.0, 0, 50))shifted_x = np.roll(x1, 10) # shift signalX1 = fft(x1)
shiftedX = fft(shifted_x)mX1 = np.abs(X1)
pX1 = np.angle(X1)
pX1 = np.unwrap(pX1)mshiftedX = np.abs(shiftedX)
pshiftedX = np.angle(shiftedX)
pshiftedX = np.unwrap(pshiftedX)# plot the results
plt.figure(figsize=(15,6))plt.subplot(321)
plt.plot(x1)
plt.subplot(322)
plt.plot(shifted_x)plt.subplot(323)
plt.plot(mX1)
plt.subplot(324)
plt.plot(mshiftedX)plt.subplot(325)
plt.plot(pX1)
plt.subplot(326)
plt.plot(pshiftedX)plt.show();

对称性质
当x是实数信号,其傅里叶变换为X,则有对称性质:
- R { X } \mathfrak{R}\{X\} R{X} 是偶对称 Z { X } \mathfrak{Z}\{X\} Z{X}是奇对称
- ∣ X ∣ |X| ∣X∣是偶对称, < ∣ X ∣ <|X| <∣X∣是奇对称
当x是偶对称的实数信号,其傅里叶变换为X,则有对称性质:
- R { X } \mathfrak{R}\{X\} R{X}是偶对称 Z { X } = 0 \mathfrak{Z}\{X\}=0 Z{X}=0
- ∣ X ∣ |X| ∣X∣是偶对称, < ∣ X ∣ = n π <|X|=n\pi <∣X∣=nπ或者0
R \mathfrak{R} R表示取实部, Z \mathfrak{Z} Z表示取虚部, ∣ X ∣ |X| ∣X∣为幅度, < ∣ X ∣ <|X| <∣X∣表示相位
(找不到合适的例子,就不写代码了,直接上课件中的图片)


卷积性质
在时域上的卷积操作,可以转换为两个信号傅里叶变换后的点乘操作
相反的,傅里叶变换后的点乘,在时域上表现为卷积


from scipy.signal import get_windowx1 = get_window('hanning', 256)
x2 = np.cos( np.linspace(0, 2*np.pi, 256) )
conv_x = np.convolve(x1, x2, 'same')X1 = fft(x1)
X2 = fft(x2)
CX = fft(conv_x)plt.figure(figsize=(15,6))plt.subplot(321)
plt.plot(x1)
plt.subplot(322)
plt.plot(x2)plt.subplot(323)
plt.plot(np.abs(X1))
plt.subplot(324)
plt.plot(np.abs(X2))plt.subplot(325)
plt.plot(np.abs(CX))
plt.subplot(326)
plt.plot(np.abs(X1*X2))plt.show()
















