计算机如何判断两篇文章相似性

article/2025/10/19 22:05:43

这个仍然是极客时间上,关于《索引技术核心20讲》的一篇笔记同时结合自己的理解加了点料,这个专栏虽然只有20讲,但是真不错,老师解答问题还是很积极,回答字数经常比问题字数多。有兴趣的朋友可以到我星球(在公众号的其他菜单中)扫码购买,然后加我微信返利。

一 前言

如果我们接到如题的需求,让我们来判断两篇文章是否相似,那么怎么判断?文章相似判断的场景还是不少的,比如我们判断论文排重,像知网的收费的查重服务,说到知网,第一次听说的时候问了下说的人,被故意告知是知乎网,鄙视下:)。扯远了,文章另外一个相似性判断应用场景是在搜索引擎中,搜索引擎搜索的时候,是要找和查询关键词相关的文章,如果返回的第一页每篇文章都相似性很高,也是不好的,是要有些区分度的。

大家可以先思考下。

二 一般思路空间向量法

看上去这个问题并不是太好解决,一个文章有这么多词语,每个词语的重要性又不相同,在计算机中如何表示一篇文章,又如何来求两个文章的相似性。我来想的话,我想到了以前判断两个句子的相似性的算法,文章不就是可以看做很多句子嘛,所以两者的算法应该一致的。判断两个句子的相似度算法大概思路是这样子的:

  1. 把文章或句子进行分词,分成一个个词语。

  2. 计算词语的TF-IDF值,公式:TF-IDF = TF*IDF TF-IDF可以很好标示词在文章中的重要性,通过考虑IDF降低常见词的结果值。通过Log下,将IDF的值的范围缩小。

  3. 将所有单词组成一个空间向量,如下:

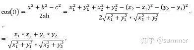
  4. 这样通过上述步骤将文章转成为空间向量了,两篇文章的相似性就是判断两个向量的空间距离, 如果距离近,说明文章比较相似,空间向量的距离可以通过计算两个向量的余弦距离来判断:

说明:

  1. 上图两个点,一个是(x1,y1)和(x2,y2)两个点的余弦距离用黄色线段表示。

  2. 两个点的距离可以通过a和b的夹角的余弦值来表示,值越大,距离越小。如下:

三 Python计算余弦距离判断相似

上述文章说起来比较复杂,用python代码实现如下:

# -*- coding: utf-8 -*-from sklearn.feature_extraction.text import TfidfVectorizer
import math'''计算余弦距离
'''
def  cal_cos(list_one,list_two):sum = 0sq1 = 0sq2 = 0for i in range(len(list_one)):sum += list_one[i]*list_two[i]sq1 += pow(list_one[i], 2)sq2 += pow(list_two[i], 2)try:result = round(float(sum) / (math.sqrt(sq1) * math.sqrt(sq2)), 2)except ZeroDivisionError:result = 0.0return resultif __name__ == '__main__':tfidf_vec = TfidfVectorizer()docs = ['this is the bays document', 'this is the second second document', 'and the third one', 'is this the document']tfidf_matrix = tfidf_vec.fit_transform(docs)allarray = tfidf_matrix.toarray()for  i in range(len(docs)):r = cal_cos(allarray[0],allarray[i])print(u'第'+str(i)+u'个和第0个的相关度为:'+str(r))

三 局部Hash函数来计算文章的相似性

以上内容只是我按照以前的思路来计算文章的相似性,不过可以想下,如果文章很多,比如千万级别,而且文章的词语也非常多,向量的维度就很大,计算起来工作量就很大。有没有什么好一点的算法。

我们将文章转成TF-IDF的向量后,可以把一篇篇文章用N维空间中的一个点来表示,那么文章的相似性就是空间中的点的距离,是不是有点类似于我们求附近的人,同样是搜索空间中临近点的距离。我们在计算附近距离的时候,是把整个空间分为N多个区间,并对这些区间进行编码,编码前缀相同的空间内的人或点肯定是具有一定相似性的。

那么难点就转成了如何对向量进行编码,相近的点空间编码具有相同的前缀。是不是像哈希函数,通过对空间N维向量的转化,转成一维的地区编码。普通的哈希函数,如果改变一个词语,整个哈希函数结果有很大的偏差,这和我们的要求的函数不同,我们想要的是一个对相似的文档转成的哈希值也相似,这个函数有个名字叫局部性敏感哈希函数。

这样的哈希函数怎么得到那,有个简单的办法,将刚才的文章映射成N维空间的点之后,任意在空间中划条线,线上编码为0,下编码为1(对N维空间实际上采用超平面来划分,超平面是计算点向量和超平面的余弦值通过值为1还是0来进行编码,其实原理类似)。如此在整个向量空间,画N条线或超平面之后,每个文档都转成了一串0和1组成的编码串。

文档转成编码串后,如果编码串中只有几位,比如3位不相同,其他的位都相同,那么我们可以认为这两个文档是相似的,这个不同比特差异位数称为海明距离,比如以下两个字符串:

10000000 和 01000000

海明距离为2,有两位不同。

四 SimHash算法

上面说我们可以通过海明距离来判断文章的相似性,但是注意到我们编码的时候才用0和1编码,只能表示词语在文中或者不在文中,我们知道文章中的词语权重是不相同的,这样计算的话就丢失了权重这个重要的因素,怎么解决那?谷歌提供了一个方案就是SimHash算法,简单且有效。

4.1 SimHash函数计算步骤

SimHash作用的对象是文章中的单词,而不是整个文章;且用普通哈希函数替换了超平面。具体步骤如下:

  1. 找一个将单词映射到64位整数的哈希函数。

  2. 使用哈希函数对文章中的每个关键词都生成一个64位的整数,并且将哈希位中值为0的都转成-1。

  3. 用刚才的关键词编码乘以关键词的权重,这里面权重可以用TF-IDF值。如果关键词编码为:<1,-1,1,-1> 权重为3的话,那么转换得到的关键词编码为:<3,-3,3,-3>。

  4. 文章中的所有关键词按照上述方法计算后,然后按位对应相加,举个例子两个关键词的编码分别为:<3,-3,3,-3>和编码<5,5,-5,-5> 和为<8,2,-2,-8>

  5. 我们将最终编码中大于0的都转成1,小于0的转成0,结果为:<1,1,0,0>

通过这种构造方法,我们保留了关键词的权重,这为我们相似性的准确判断打下了基础。

4.2 如何判断相似性

按照上文中计算SimHash函数后,我们每个文章都得到了一个64位的编码,那么如何判断文章的相似性那,最简单的想法是我们先以每位的值为key,文章的ID的列表作为值,做成一个倒排索引。每位有2个值,64位,所以一共有128个key,值为一个个docId组成的Postlist。假如我们得到一个文章的编码后,比如<1,1,0,0>,按照每一位作为key去倒排索引中查找所有的Postlist,然后比对两个文档中的其他位数是否相同,如果差异的位数小于我们规定的海明距离,则说明两个文档相似。

但是这样的话,有个缺点,就是我们每次按位的值去倒排索引里面,只有一位是肯定相同的,其他位是否相同需要比较,这样文档数目比较多,效率比较低。有什么好办法那?有个抽屉原理可以用下,原理很简单,如果3个苹果放进四个抽屉中,那么肯定有一个抽屉为空的。刚开始看到原理还是在《算法之美》里面讲哈希函数的时候,用来证明哈希函数是肯定有冲突的。那在这里怎么用那?

我们以海明距离为3为例,即差异3位以及以下位数的编码认为是相似的,我们将64位编码分为4组,每组16位,由于我们规定了差异只能3位以及以下,那么四组中,肯定有一组是相同的,如果没有一组相同的,那么4组就是4位不同,这样就不满足海明距离了。

所以我们可以以一组16位作为一个key建立一个个倒排索引。在比较相似性的时候,将要查询文档的64位编码拆分成4个16位为一组,共4组,然后以每组16位作为key,去倒排索引中查找,查找16位都相同的文档列表,得到四组文档列表。依次和要查询文档的64位编码进行比对,满足海明距离为3的就是相似问题。

这种分组方法建立倒排索引的时候也有缺点,就是如果海明距离从3改成4,这样整个倒排索引都要重新建。对于这种情况,我们可以按照不同的位数建立多个倒排索引,然后根据海明距离来选择合适的倒排索引来进行比对。

好了,就聊到这里吧,下次有机会自己实现下。

五  诗词赏析

溪上遇雨二首
[唐] [崔道融] 回塘雨脚如缫丝,野禽不起沈鱼飞。
耕蓑钓笠取未暇,秋田有望从淋漓。坐看黑云衔猛雨,喷洒前山此独晴。
忽惊云雨在头上,却是山前晚照明。

http://chatgpt.dhexx.cn/article/sQOeMsCl.shtml

相关文章

ai写文章检测原理(文章相似度检测)

小编来了&#xff01;今天要和大家聊一聊关于ai写文章检测原理的评测对比。究竟哪种方法更加高效准确呢&#xff1f;让我们一起来看看吧&#xff01; 概括&#xff1a;本文将从多个角度对ai写文章检测原理进行评测对比&#xff0c;包括算法准确性、速度、自动化程度、用户体验…

【跨语言剽窃检测】文本相似度分析之一

对比文件1&#xff1a; 2010年的跨语言剽窃检测新方法 作者RaFael Corezola Pereira instituion : UFRGS 摘要&#xff1a; 作者提出一个跨语言剽窃检测新方法&#xff0c;分为5个主要阶段&#xff1a; languange normalization、retrieval of candidate documents、classfier …

文本相似度综述

本文目录 文本相似度的定义文本相似度计算方法基于字符串的方法基于语料库的方法基于词袋VSMLSA、PLSALDA&#xff08;需要进一步了解&#xff09; 基于神经网络基于搜索引擎 基于世界知识基于本体基于网络知识 其他方法句法分析混合方法 文本相似度的定义 其中, common&#x…

JAVA-计算两篇文章的相似度

1.场景&#xff1a; 在很多公司的文件管理系统中&#xff0c;都有类似于对比多篇文章的相似度&#xff0c;例如在写公众号推文时&#xff0c;如果标记了原创&#xff0c;就会对比当前文章和库里已存在文章的相似程度&#xff0c;如果相似度过于高&#xff0c;则标记为原创的文章…

免费好用的文章相似度检测软件推荐

相信很多人在写作的时候都会遇到这样的问题&#xff0c;就是怕自己写出的文章被抄袭。为了保证自己的原创性&#xff0c;我们需要使用一些文章相似度检测软件来帮助我们检测文章是否被抄袭。那么&#xff0c;有哪些免费好用的文章相似度检测软件呢&#xff1f;下面就为大家介绍…

判断两篇文章的相似度

判断相似度 基于jieba 关键字提取的方法textrank关键字的提取代码&#xff1a;tf-idf关键字的提取代码&#xff1a;统计数据统计数据的代码&#xff1a;完整代码&#xff1a; 基于jieba 关键字提取的方法 textrank 1&#xff0c;将待抽取关键词的文本进行分词 2&#xff0c;以…

检测文章相似度的方法?文章原创度检测工具免费

免费检测文章相似度的软件&#xff0c;什么是检测文章相似度的软件&#xff0c;简单来说就是原创检测工具&#xff0c;相信不少的朋友都在利用这个功能来检测自己文章的原创度是多少&#xff1f;要做好一篇文章真的只需要检测文章的相似度吗&#xff1f;答案&#xff1a;肯定是…

[将小白进行到底] 如何比较两篇文章的相似度

其实这个题目已经有很多人写过了&#xff0c;数学之美里就有&#xff0c;最近阮一峰的博客里也写了&#xff0c;本文基本上遵循的就是他的思路&#xff0c;只是让其看起来再小白一点点。其实说白了就是用自己的话&#xff0c;再把同样一件事描述一下&#xff0c;顺便扩扩句&…

文本相似度的检测

项目原理 基于词频:统计文章中词频,构建词频特征向量,利用特征向量夹角的余弦值表示文本的相似度。两篇文章最大相似度为1,特征向量夹角为0。 基于词频的文本相似度检测步骤: 文本1和文本2分词—去停用词统计两篇文章的词频词频向量1和词频向量2相似度的计算分词:例:“…

网页抓取:PHP实现网页爬虫方式小结

抓取某一个网页中的内容&#xff0c;需要对DOM树进行解析&#xff0c;找到指定节点后&#xff0c;再抓取我们需要的内容&#xff0c;过程有点繁琐。LZ总结了几种常用的、易于实现的网页抓取方式&#xff0c;如果熟悉JQuery选择器&#xff0c;这几种框架会相当简单。 一、Ganon …

php中取页面的值_php如何抓取网页上的数据

php中抓取网页内容的实例详解 方法一&#xff1a;使用file_get_contents方法实现$url "http://news.sina.com.cn/c/nd/2016-10-23/doc-ifxwztru6951143.shtml"; $html file_get_contents($url); //如果出现中文乱码使用下面代码 //$getcontent iconv("gb2312…

关于如何使用PHP抓取网页数据并进行处理的经验

在网络时代&#xff0c;数据是无处不在的。很多时候&#xff0c;我们需要从网页上获取特定的数据&#xff0c;以便进行进一步的处理和分析。而PHP作为一种强大的编程语言&#xff0c;提供了丰富的函数和库来帮助我们实现这个目标。本文将分享一些关于如何使用PHP抓取网页数据并…

php根据URL获得网页内容

php 中根据url来获得网页内容非常的方便&#xff0c;可以通过系统内置函数file_get_contents(),传入url,即可返回网页的内容&#xff0c;比如获得百度首页的内容代码为&#xff1a; <?php $html file_get_contents(http://www.baidu.com/);echo $html; 就可以显示出百度首…

php抓取网页内容,获取网页数据

php通过simple_html_dom实现抓取网页内容&#xff0c;获取核心网页数据&#xff0c;将网页数据写入本地 xxx.json 文件 其代码实现逻辑&#xff1a; 1. 引入simple_html_dom.php文件 require_once simple_html_dom-master/simple_html_dom.php; 2. 获取远程或者本地html文件…

PS Adobe软件使用 快捷键

两年前学的&#xff0c;为了考一个高新 怕自己忘了 仅为防止以后自己忘记而做的备忘笔记&#xff0c;请勿吐槽 图片类型 JPEG 有损压缩格式(能够将图像压缩在很小的储存空间&#xff0c;图像中重复或不重要的资料会被丢失&#xff0c;因此容易造成图像数据的损伤。尤其是…

html选区控制怎么用,ps载入选区的快捷键是什么?

ps载入选区的快捷键是&#xff1a;ALTSO。在ps中&#xff0c;使用“ALTSO”快捷键&#xff0c;会弹出“载入选区”对话框&#xff0c;然后选择相应的通道&#xff0c;点击“确定”&#xff0c;即可载入选区。 ps载入选区有三种方法&#xff1a;右键菜单、ps载入选区快捷键、以及…

计算机中的PS颜色填充快捷键,ps颜色填充快捷键【设置办法】

喜欢使用电脑的小伙伴们一般都会遇到win7系统ps颜色填充快捷键的问题&#xff0c;突然遇到win7系统ps颜色填充快捷键的问题就不知道该怎么办了&#xff0c;其实win7系统ps颜色填充快捷键的解决方法非常简单&#xff0c;按照 1&#xff1a;首先我们先打开打开ps软件&#xff0c;…

html自由变换图形,ps自由变换的快捷键是什么?

在当前图层中&#xff0c;执行“编辑”——“自由变换”&#xff0c;或者使用ps自由变换快捷键ctrlT&#xff0c;周围会出现变换控件定界框。 当我们使用ps自由变换快捷键ctrlT&#xff0c;开启自由变换之后&#xff0c;然后再配合Ctrl、Shift、Alt&#xff0c;可以对图像进行缩…

计算机中的PS颜色填充快捷键,ps颜色填充快捷键【解决技巧】

很多小伙伴都遇到过ps颜色填充快捷键的困惑吧&#xff0c;一些朋友看过网上零散的ps颜色填充快捷键的处理方法&#xff0c;并没有完完全全明白ps颜色填充快捷键是如何解决的&#xff0c;今天小编准备了简单的解决办法&#xff0c;只需要按照 1&#xff1a;首先我们先打开打开ps…

计算机中的PS颜色填充快捷键,ps中填充颜色的快捷键是什么(填充Shift+F5)

很多小伙伴都遇到过ps颜色填充快捷键的困惑吧&#xff0c;一些朋友看过网上零散的ps颜色填充快捷键的处理方法&#xff0c;并没有完完全全明白ps颜色填充快捷键是如何解决的&#xff0c;今天小编准备了简单的解决办法&#xff0c;只需要按照下面方法操作就行。 PS填充快捷键是S…