参数估计—最大似然估计与贝叶斯估计

article/2025/10/8 13:40:34

文章目录

一 参数估计

在贝叶斯决策论中,我们已经学习了如何根据先验概率 P ( ω i ) P(\omega_i) P(ωi)与类条件概率密度 p ( x ∣ ω i ) p(\textbf{x}|\omega_i) p(xωi)来设计最优分类器。但在实际应用中,通常得不到有关问题的概率结构的全部信息。通常的解决方案是利用这些训练样本来估计问题中所涉及的先验概率和类条件密度函数,并把这些估计的结果当做实际问题的先验概率和类条件概率密度,然后在设计分类器

在典型的监督学习问题中,有标注的样本估计先验概率不困难,最大的困难在于估计类条件概率密度

  • 已有的训练样本数太少,很难满足所有的特征都存在的情况
  • 当用于表示特征的向量x的维数较大时,就会产生严重的计算复杂度问题(算法的执行时间,系统的资源开销…)

但如果先验知识允许我们把条件概率密度进行参数化,例如:我们可以假设 p ( x ∣ ω i ) p(\textbf{x}|\omega_i) p(xωi)是一个多元高斯分布,其均值是 μ i \mu_i μi,协方差矩阵为 Σ i \Sigma_i Σi。这样我们就把问题从估计完全未知的类条件概率密度 p ( x ∣ ω i ) p(\textbf{x}|\omega_i) p(xωi)转化为了估计参数 μ i \mu_i μi Σ i \Sigma_i Σi。这样的方法被称为参数估计方法。与之对应的也有非参数估计方法。

参数估计问题是统计学中的经典问题,主要的解决方案有两种,分别对应统计学中的两大学派:

  • 最大似然估计——频率学派(Frequentist)
  • 贝叶斯估计——贝叶斯学派(Bayesian)

当然,在参数估计完成后,我们仍然使用后验概率作为分类准则。

二 最大似然估计

2.1 参数分量

根据每个样本所属的类别对样本集 D D D进行分类: D 1 , D 2 . . . , D c D_1,D_2...,D_c D1,D2...,Dc,任意一个分类样本集 D j D_j Dj中的样本都是独立的根据类条件概率密度函数 p ( x ∣ ω j ) p(\textbf{x}|\omega_j) p(xωj)来抽取的。因此获得一个重要假设:每个样本集中的样本都是独立同分布的随机变量(independent and identically distributed:i.i.d),我们还假设每一个类的类条件概率密度 p ( x ∣ ω j ) p(\textbf{x}|\omega_j) p(xωj)的形式都是已知的,未知的是具体的参数向量 θ j \theta_j θj的值。比如:假设 p ( x ∣ ω j ) p(\textbf{x}|\omega_j) p(xωj)服从多维正态分布,这样向量 θ j \theta_j θj就由分量 μ j , Σ j \mu_j,\Sigma_j μj,Σj所组成。

为了强调类条件概率密度函数 p ( x ∣ ω j ) p(\textbf{x}|\omega_j) p(xωj)依赖于参数向量 θ j \theta_j θj的情况,通常写为形如 p ( x ∣ ω j , θ j ) p(\textbf{x}|\omega_j,\theta_j) p(xωj,θj)的形式。因此**最大似然估计(MLE)**解决的就是正确的估计各个类别的具体的参数向量: θ 1 , θ 2 , . . . θ c \theta_1,\theta_2,...\theta_c θ1,θ2,...θc

2.2 基本原理

问题其实就变成了一个条件概率最大的求解,即在已有的训练集的条件下,求使得 p ( θ ∣ D ) p(θ|D) p(θD) 最大的参数 θ \theta θ,形式化表达为求解
θ ^ = a r g m a x θ p ( θ ∣ D ) \hat{\theta}=\underset{\theta}{argmax}\;p(θ|D)\\ θ^=θargmaxp(θD)
而根据条件概率公式有
p ( θ ∣ D ) = p ( D ∣ θ ) p ( θ ) p ( D ) p(\theta|D)=\frac{p(D|\theta)p(\theta)}{p(D)} p(θD)=p(D)p(Dθ)p(θ)
因为我们在极大似然估计中假设 θ \theta θ是确定的,所以 p ( θ ) p(\theta) p(θ)就是一个常数。 p ( D ) p(D) p(D)同样是根据已有的数据得到的,也是确定的,或者我们可以把其看作是对整个概率的一个归一化因子。这时候,求解公式 (1) 就变成了求解
θ ^ = a r g m a x θ p ( D ∣ θ ) \hat{\theta}=\underset{\theta}{argmax}\;p(D|\theta)\\ θ^=θargmaxp(Dθ)
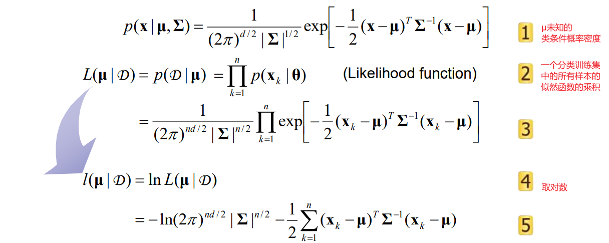
一个有监督的总的样本集分为c类,我们要估计每个类的后验概率,有c个独立的问题,每个问题解决思路相同如下:已知样本集 D D D中有n个样本 x 1 , x 2 . . . , x n x_1,x_2...,x_n x1,x2...,xn。由于这些样本独立同分布,因此由(3)中的似然函数得:【2】
L ( θ ) = p ( D ∣ θ ) = ∏ k = 1 n p ( x k ∣ θ ) L(\theta)=p(D|\theta)=\prod_{k=1}^np(\textbf{x}_k|\theta) L(θ)=p(Dθ)=k=1np(xkθ)
因为样本集 D D D已知, p ( D ∣ θ ) p(D|\theta) p(Dθ)可以看作是参数向量 θ \theta θ的函数,参数向量 θ \theta θ的最大似然估计,就是使似然函数: p ( D ∣ θ ) p(D|\theta) p(Dθ)达到最大值的参数向量,记为 θ ^ \hat{\theta} θ^。为了方便分析取对数,定义对数似然函数:

l ( θ ∣ D ) = l n p ( D ∣ θ ) l(\theta|D)=lnp(D|\theta) l(θD)=lnp(Dθ)
如果实际的待求参数的个数为p,则参数向量 θ \theta θ可以写成如下的p维向量的形式: θ = ( θ 1 , θ 2 ∗ ∗ , . . . , θ p ) t \theta=(\theta_1,\theta_2**,...,\theta_p)^t θ=(θ1,θ2,...,θp)t。**记 ∇ θ \nabla_\theta θ为梯度算子(构建求偏导数的数学式)**这样用数学语言表示求 θ ^ \hat{\theta} θ^的全过程:
∇ θ = [ ∂ ∂ θ 1 . . . ∂ ∂ θ p ] l ( θ ∣ D ) = l n ∑ k = 1 n p ( x k ∣ θ ) 计 算 : θ ^ = a r g m a x θ l ( θ ∣ D ) 等 价 于 : ∇ θ l = ∑ k = 1 n ∇ θ l n p ( x k ∣ θ ) = 0 \nabla_\theta=\begin{bmatrix} \frac{\partial }{\partial \theta_1}\\ ...\\ \frac{\partial }{\partial \theta_p} \end{bmatrix}\\ l(\theta|D)=ln\sum_{k=1}^np(\textbf{x}_k|\theta)\\ 计算:\hat{\theta}=\underset{\theta}{argmax}\;l(\theta|D)\\ 等价于: \nabla_\theta l=\sum_{k=1}^n\nabla_\theta lnp(\textbf{x}_k|\theta)=0 θ=θ1...θpl(θD)=lnk=1np(xkθ)θ^=θargmaxl(θD)θl=k=1nθlnp(xkθ)=0
注意:求得的解 θ ^ \hat{\theta} θ^可能是全局最大值点,也可能是局部极值点。

2.3 高斯情况

深入讨论当训练样本服从多元正态分布时的情况。

2.3.1 协方差矩阵 Σ \Sigma Σ已知,而均值 μ \mu μ未知

我们得到以下结论,对于均值的最大似然估计就是对全体样本取平均

2.3.2 协方差矩阵 Σ \Sigma Σ和均值 μ \mu μ都未知

高斯分布的更典型的情况是协方差矩阵 Σ \Sigma Σ和均值 μ \mu μ都未知。这样参数向量 θ \theta θ由两个分量组成。

  • 先考虑单变量的情况

  • 当高斯函数是多元时,最大似然估计的结果是:
    μ ^ = 1 n ∑ k = 1 n x k Σ ^ = 1 n ( x k − μ ^ ) ( x k − μ ^ ) t \hat{\mu}=\frac{1}{n}\sum_{k=1}^{n}\textbf{x}_k\\ \hat{\Sigma}=\frac{1}{n}(\textbf{x}_k-\hat{\mu})(\textbf{x}_k-\hat{\mu})^t μ^=n1k=1nxkΣ^=n1(xkμ^)(xkμ^)t

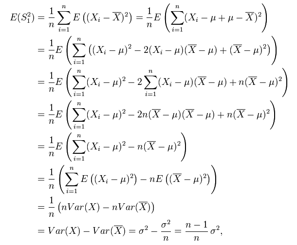
    **均值的最大似然估计就是样本的均值,而协方差的最大似然估计是n个 ( x k − μ ^ ) ( x k − μ ^ ) t (\textbf{x}_k-\hat{\mu})(\textbf{x}_k-\hat{\mu})^t (xkμ^)(xkμ^)t的算术平均。**实际上对方差的最大似然估计是有偏的估计,样本的协方差矩阵 C = 1 n − 1 ( x k − μ ^ ) ( x k − μ ^ ) t C=\frac{1}{n-1}(\textbf{x}_k-\hat{\mu})(\textbf{x}_k-\hat{\mu})^t C=n11(xkμ^)(xkμ^)t,而我们估计的方差是 σ ^ = n − 1 n C \hat{\sigma}=\frac{n-1}{n}C σ^=nn1C

    样本协方差矩阵的推导过程【2】:

三 贝叶斯估计

3.1 基本原理

MLP通过最大化似然函数 L ( θ ) L(\theta) L(θ)从而找出参数 θ \theta θ,思想在于找出能最大概率生成这批数据的参数。但是这种做法完全依赖于数据本身,当数据量大的时候,最大似然估计往往能很好的估计出参数 θ \theta θ;但是当数据量小的时候,估计出来的结果并不会很好。就例如丢硬币问题,当我们投掷了5次,得出了正正正正正的结果,极大似然估计会得出投出正面的概率为100%!这显然是不符常理的。

贝叶斯派的人认为,后验概率中被估计的参数同样服从一种已知的分布,即参数也为一个随机变量。他们在估计参数前会先带来先验知识,例如参数在[0.5,0.6]的区域内出现的概率最大,在引入了先验知识后利用样本估计出参数分布的形式,在数据量小的情况下估计出来的结果往往会更合理。【2】

我们希望利用现有的全部信息来为测试样本x计算分类的依据:后验概率 P ( ω i ∣ x ) P(\omega_i|\textbf{x}) P(ωix)(现有的全部信息一部分为我们的先验知识,比如未知概率密度函数的形式,未知参数取值范围;另一部分则来自训练集本身),假设已有训练集 D = D 1 , D 2 , . . . , D c D={D_1,D_2,...,D_c} D=D1,D2,...,Dc,改写后验概率为: P ( ω i ∣ x , D ) P(\omega_i|\textbf{x},D) P(ωix,D)表示训练集的重要性,则贝叶斯公式为:
P ( ω i ∣ x , D ) = p ( x ∣ ω i , D ) P ( ω i ∣ D ) ∑ j = 1 c p ( x ∣ ω i , D ) P ( ω j ∣ D ) P(\omega_i|\textbf{x},D)=\frac{p(\textbf{x}|\omega_i,D)P(\omega_i|D)}{\sum_{j=1}^{c}p(\textbf{x}|\omega_i,D)P(\omega_j|D)} P(ωix,D)=j=1cp(xωi,D)P(ωjD)p(xωi,D)P(ωiD)

  • 这一公式指出我们能够根据训练样本提供的信息来确定类条件概率密度和先验概率。

  • 通常认为先验概率可以事先得到,或简单计算得到, P ( ω i ∣ D ) P(\omega_i|D) P(ωiD)可以简写为 P ( ω i ) P(\omega_i) P(ωi)

  • 有监督学习可以把每个样本都归到它所属的类中,如果 i ≠ j i\not=j i=j,那么样本集 D i D_i Di中的训练样本就对 p ( x ∣ ω j , D ) p(\textbf{x}|\omega_j,D) p(xωj,D)没有任何影响,这样就产生两个简化:

    • 能够对每一个类分别处理:只是用 D i D_i Di中的训练样本就能确定 p ( x ∣ ω j , D ) p(\textbf{x}|\omega_j,D) p(xωj,D)
    • 能够对每个类进行分别处理,公式中说明类别的符号都可以省略

    本质上我们处理的是c个独立的问题,每个问题形式:已知一组训练样本D,根据这些样本估计 p ( x ∣ D ) p(\textbf{x}|D) p(xD)(未简化为 p ( x ∣ ω i , D ) p(\textbf{x}|\omega_i,D) p(xωi,D)


参数估计法的前提是每个类的类条件概率密度形式已知,参数向量 θ \theta θ未知。对于任意一个测试样本x,去除类符号 ω i \omega_i ωi简化为 p ( x ∣ θ ) p(\textbf{x}|\theta) p(xθ)且形式已知。而贝叶斯估计与最大似然估计的区别体现在,我们不认为 θ \theta θ是一个固定但未知的值,而是服从一个概率分布 p ( θ ) p(\theta) p(θ)根据 p ( x ∣ θ ) p(\textbf{x}|\theta) p(xθ) p ( θ ) p(\theta) p(θ)、与 D D D,我们可以得到未知参数 θ \theta θ的后验概率密度函数 p ( θ ∣ D ) p(\theta|D) p(θD)
p ( θ ∣ D ) = p ( θ ) p ( D ∣ θ ) ∫ p ( θ ) p ( D ∣ θ ) d θ 其 中 : p ( D ∣ θ ) = ∏ i = 1 n p ( x k ∣ θ ) 【 这 里 x k 是 训 练 样 本 集 的 某 一 个 样 本 】 p(\theta|D)=\frac{p(\theta)p(D|\theta)}{\int p(\theta)p(D|\theta)d\theta}\\ 其中:p(D|\theta)=\prod_{i=1}^{n}p(\textbf{x}_k|\theta)【这里\textbf{x}_k是训练样本集的某一个样本】 p(θD)=p(θ)p(Dθ)dθp(θ)p(Dθ):p(Dθ)=i=1np(xkθ)xk
接着根据 P ( θ ∣ D ) P(\theta|D) P(θD)积分估算测试样本的后验概率 p ( x ∣ D ) p(\textbf{x}|D) p(xD)
p ( x ∣ D ) = ∫ p ( x , θ ∣ D ) d θ = ∫ p ( x ∣ θ , D ) p ( θ ∣ D ) d θ p(\textbf{x}|D)=\int p(\textbf{x},\theta|D)d\theta\\=\int p(\textbf{x}|\theta,D)p(\theta|D)d\theta p(xD)=p(x,θD)dθ=p(xθ,D)p(θD)dθ
由于对测试样本x和训练样本集D的选取是独立进行的 p ( x ∣ θ , D ) = p ( x ∣ θ ) p(\textbf{x}|\theta,D)=p(\textbf{x}|\theta) p(xθ,D)=p(xθ),公式(10)改为:
p ( x ∣ D ) = ∫ p ( x ∣ θ ) p ( θ ∣ D ) d θ p(\textbf{x}|D)=\int p(\textbf{x}|\theta)p(\theta|D)d\theta p(xD)=p(xθ)p(θD)dθ

总结整个贝叶斯估计分为三个阶段:

  • 根据样本与先验知识求得参数的后验概率
  • 根据参数的后验概率与类条件概率密度的形式求得每个类的具体的类条件概率密度
  • 最后求出每个类的后验概率

3.2 高斯情况下的贝叶斯估计

对高斯正态分布的情况,用贝叶斯估计的方法来计算未知参数 θ \theta θ的后验概率密度函数 p ( θ ∣ D ) p(\theta|D) p(θD)和设计分类器所需的类条件概率密度函数 p ( x ∣ D ) p(\textbf{x}|D) p(xD),其中假设 p ( x ∣ μ ) ∼ N ( μ , Σ ) p(\textbf{x}|\mu)\sim N(\mu,\Sigma) p(xμ)N(μ,Σ)(相当于第一步中的 p ( x ∣ θ ) p(\textbf{x}|\theta) p(xθ)

3.2.1 单变量情况第一步: p ( μ ∣ D ) p(\mu|D) p(μD)

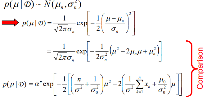
先考虑只有均值 μ \mu μ未知的情况,同时假设特征向量是一维的。 p ( x ∣ μ ) ∼ N ( μ , Σ ) p(x|\mu)\sim N(\mu,\Sigma) p(xμ)N(μ,Σ),而且我们认为所有关于均值 μ \mu μ的先验知识都在先验概率密度函数 p ( μ ) p(\mu) p(μ)中,且均值 μ \mu μ服从 p ( μ ) ∼ N ( μ 0 , σ 0 2 ) p(\mu)\sim N(\mu_0,\sigma^2_0) p(μ)N(μ0,σ02) μ 0 , σ 0 2 \mu_0,\sigma_0^2 μ0,σ02已知),根据3.1节总结的贝叶斯估计三步走:

我们发现 p ( μ ∣ D ) p(\mu|D) p(μD)是一个指数函数,且指数部分是 μ \mu μ的二次型,因此 p ( μ ∣ D ) p(\mu|D) p(μD)实际上任然是正态分布,把 p ( μ ∣ D ) p(\mu|D) p(μD)写成下面的形式:

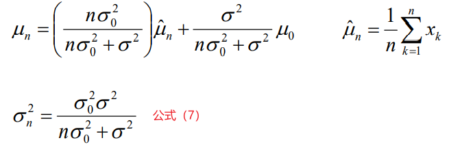
利用对应位置系数相等的原则就可以求出 μ n , σ n 2 \mu_n,\sigma_n^2 μn,σn2的值:

上述方程显示了先验知识和样本观测结果是如何被结合在一起,并且形成 μ \mu μ的后验概率密度函数 p ( μ ∣ D ) p(\mu|D) p(μD)的,总的来说:

  • μ n \mu_n μn代表在观测n个样本后对 μ \mu μ的真实值的最好估计, μ n \mu_n μn μ 0 与 μ ^ n \mu_0与\hat{\mu}_n μ0μ^n的线性组合

  • σ n 2 \sigma_n^2 σn2表示对这种估计的不确定性(取值更离散,不集中)

    • 如果 σ 0 ≠ 0 \sigma_0 \not=0 σ0=0,当n趋近于 ∞ \infty μ n \mu_n μn趋近于样本均值 μ ^ n \hat{\mu}_n μ^n
    • σ 0 = 0 \sigma_0=0 σ0=0时, μ n = μ 0 \mu_n=\mu_0 μn=μ0,这是一种退化的情况:我们对先验估计 μ 0 \mu_0 μ0是如此的确信,以至于任何观测样本都无法改变我们的认知。
    • σ 0 \sigma_0 σ0远大于 σ \sigma σ,表示我们对先验估计 μ 0 \mu_0 μ0如此的不确信以至于直接拿样本均值 μ ^ n \hat{\mu}_n μ^n当做 μ \mu μ

    根据公式(7), σ n 2 \sigma_n^2 σn2是n的单调递减函数,也就是说每观测一个样本,我们对 μ \mu μ的估计的不确定性就会减小,当 μ \mu μ增加时, p ( μ ∣ D ) p(\mu|D) p(μD)的概率密度图就会变得更尖锐,当n趋近于无穷大时,逼近狄拉克函数。

狄拉克δ函数是一个广义函数,在物理学中常用其表示质点、点电荷等理想模型的密度分布,该函数在除了零以外的点取值都等于零,而其在整个定义域上的积分等于1。

狄拉克δ函数在概念上,它是这么一个“函数”:在除了零以外的点函数值都等于零,而其在整个定义域上的积分等于1。【4】

3.2.2 单变量情况第二步: p ( x ∣ D ) p(\textbf{x}|D) p(xD)

在得到均值的后验概率密度 p ( μ ∣ D ) p(\mu|D) p(μD)后,我们就可以计算类条件概率密度 p ( x ∣ D ) p(\textbf{x}|D) p(xD)(实际上是 p ( x ∣ ω i , D ) p(\textbf{x}|\omega_i,D) p(xωi,D),把c个问题独立,去除类有关变量后)

求得类条件概率密度后再带入到公式(19)就能求出后验概率了。

四 最大似然估计与贝叶斯估计比较

最大似然估计与贝叶斯估计在训练样本趋于无穷时效果是一样的,然而在实际的问题中,训练样本总是有限的,决定我们选择哪个方法的主要因素有

  • 计算复杂度:MLE只涉及一些微分与求极值,而贝叶斯估计计算复杂的积分
  • 可理解性:MLE是基于设计者所提供的训练样本的一个最佳解答,而贝叶斯估计方法得到的结果则是许多可行解的加权平均值,反映出对各种可行解的不确定程度
  • 对初始先验知识的信任程度:MLE得到的类条件概率密度 p ( x ∣ θ ^ ) p(\textbf{x}|\hat{\theta}) p(xθ^)形式与先验的假设是一样的,而贝叶斯估计得到的形式可能与初始假设不相同,贝叶斯方法能比MLE利用更多有用的信息。

总结贝叶斯方法有很强的理论基础,但在实际应用中最大似然估计更加简便,且性能也相差无几。

参考

【1】模式分类(第二版)

【2】(1条消息) 极大似然估计与贝叶斯估计_Jim_Liu-CSDN博客_极大似然估计和贝叶斯估计

【3】(20 封私信 / 29 条消息) 为什么样本方差(sample variance)的分母是 n-1? - 知乎 (zhihu.com)

【4】百度百科:狄拉克δ函数


http://chatgpt.dhexx.cn/article/ryco2WmR.shtml

相关文章

朴素贝叶斯算法与贝叶斯估计

在看贝叶斯算法的相关内容时,你一定被突如其来的数学概念搞得头昏脑涨。比如极大似然估计(Maximum likelihood estimation ),极大后验概率估计(Maximum a posteriori estimation),先验概率(Prior probability),后验概率(Posterior…

几个贝叶斯估计的例题

几个贝叶斯估计的例题 以下例题来自《机器学习导论》,书中证明不是很全也没有推导过程,所以我补全了解答。 贝叶斯估计 Dirichlet分布 已知方差的正态分布 正态分布 此时不再是共轭后验先验分布了,会得到一个t分布,由于涉及的特殊…

贝叶斯估计实验(matlab)

1、实验内容 由于生活中很多参数如测量误差、产品质量指标等几乎都服从或近似服从正态分布,所以可以用对单变量正态分布中的贝叶斯估计进行分析并编写相应的Matlab程序,分析样本大小对贝叶斯估计误差的影响,进而验证贝叶斯估计的有效性。 2…

参数估计:贝叶斯思想和贝叶斯参数估计

http://blog.csdn.net/pipisorry/article/details/51471222 贝叶斯与频率派思想 频率派思想 长久以来,人们对一件事情发生或不发生,只有固定的0和1,即要么发生,要么不发生,从来不会去考虑某件事情发生的概率有多大&a…

贝叶斯估计及其python实现

文章目录 1.贝叶斯估计的思想2.正态总体参数贝叶斯估计的推导3.代码实现3.1.抽取样本3.2.估计参数 4.总结参考文献 1.贝叶斯估计的思想 在统计学中有两大学派:频率学派和贝叶斯学派。针对参数估计的方法也分成两派。其中以极大似然估计为代表的频率学派和以贝叶斯估…

贝叶斯估计和极大似然估计到底有何区别

前言:原创不易,转载请告知并注明出处!微信搜索【机器学习与自然语言处理】公众号,定期发布知识图谱,自然语言处理、机器学习等知识,添加微信号【17865190919】进讨论群,加好友时备注来自CSDN。 …

【数学基础】参数估计之贝叶斯估计

从统计推断讲起 统计推断是根据样本信息对总体分布或总体的特征数进行推断,事实上,这经典学派对统计推断的规定,这里的统计推断使用到两种信息:总体信息和样本信息;而贝叶斯学派认为,除了上述两种信息以外…

贝叶斯估计与贝叶斯学习的区别

概述: 贝叶斯估计:贝叶斯估计是把待估计的参数看作具有先验分布密度p()的随机变量,其取值与样本D有关,用训练样本D估计出最优的,记为。 贝叶斯学习 :把贝叶斯估计的原理用于直接从数据对概率密度函数进行…

vue3页面刷新

整理工作中用到的页面刷新方式&#xff1a; 1.provide/inject 2.router.go(0) 3.provide,inject 一、使用provide和inject 控制<router-view>的显示隐藏 默认<router-view v-if"isRouterAlive" /> isRouterAlive是true&#xff0c;在需要刷新的时候把这…

js 页面刷新

刷新为新的页面 获得当前页面的url,即浏览器显示的地址: window.location.href; 按下enter,页面刷新为百度 刷新为当前页面 1,history.go(0)2,location.reload() 3,location=location 4,location.assign(location) 5,document.execcommand(‘refresh‘) 6,window.na…

Web页面自刷新

简单介绍两种&#xff1a; 第一种Ajax Ajax Asynchronous JavaScript and XML&#xff08;异步的 JavaScript 和 XML&#xff09;&#xff0c;ajax就是基于浏览器提供的XMLHttpRequest对象来实现的 什么叫异步&#xff1f; 异步&#xff0c;不同的意思&#xff0c;这里也就…

页面刷新技术-------AJAX

一、前提步骤&#xff08;先把静态网页写出来&#xff09; 1、首先先要配置文件 2、然后去后端建立服务器&#xff0c;把该下载的模块下载好 var httprequire("http") var fsrequire("fs") var urlrequire("url") var querystringrequire(&quo…

页面刷新和vue页面刷新

history.go(0) location.reload() locationlocation location.assign(location) document.execCommand(Refresh) window.navigate(location) location.replace(location) document.URLlocation.href这几个都可以刷新&#xff1a; window.location.reload();刷新 window.locatio…

vue关于页面刷新的几个方式

在写项目的时候会遇到需要刷新页面重新获取数据&#xff0c;浅浅总结了一下几种方案。 1.this.$router.go(0) 强制刷新页面&#xff0c;会出现一瞬间的白屏&#xff0c;用户体验感不好。 2.location.reload() 也是强制刷新页面&#xff0c;和第一种方法一样&#xff0c;会造成…

HTML页面刷新及其应用例子

HTML页面刷新及其应用例子 刷新一般指重新载入当前页面。本文先给出html页面刷新重载方法汇总&#xff0c;再给出示例。 html页面刷新重载方法汇总 一、javascript页面刷新重载的方法&#xff1a; <a href"javascript:location.reload();">点击重新载入页面…

vue页面刷新

vue页面刷新 首先我们都知道vue属于单页面应用&#xff0c;默认境况下是不会触发刷新页面操作的&#xff0c;所以这个时候就需要我们通过事件来触发reload()来达到刷新操作 接下来我就为大家介绍三种刷新页面的方法 1. wiindow.location.reload([bForceGet])该方法强迫浏览…

hadoop 学习路线

Posted: Sep 6, 2013 Tags: Hadoophadoop familyroadmap Comments: 40 Comments Hadoop家族学习路线图 Hadoop家族系列文章&#xff0c;主要介绍Hadoop家族产品&#xff0c;常用的项目包括Hadoop, Hive, Pig, HBase, Sqoop, Mahout, Zookeeper, Avro, Ambari, Chukwa&am…

Hadoop 学习路线图

主要介绍Hadoop家族产品&#xff0c;常用的项目包括Hadoop, Hive, Pig, HBase, Sqoop, Mahout, Zookeeper, Avro, Ambari, Chukwa&#xff0c;新增加的项目包括&#xff0c;YARN, Hcatalog, Oozie, Cassandra, Hama, Whirr, Flume, Bigtop, Crunch, Hue等。 从2011年开始&…

Hadoop学习路线

Hadoop基础 Hadoop是一个能够对大量数据进行分布式处理的软件框架&#xff0c;它是一种技术的实现&#xff0c;是云计算技术中重要的组成部分&#xff0c;云计算的概念更广泛且偏向业务而不是必须拘泥于某项具体技术&#xff0c;云计算的存在只是一种新的商业计算模型和服务模…

第11期:Hadoop零基础学习路线

大家好&#xff0c;我是你们的老朋友老王随聊&#xff0c;今天和大家讨论的话题——Hadoop零基础应该怎么学&#xff1f; 通过这段时间和群里同学们交流&#xff0c;发现很多大学生甚至职场小白对Hadoop学习路线不是很清晰&#xff0c;所以我花了一些时间给大家整理了一张Hadoo…