贝叶斯估计与贝叶斯学习的区别

article/2025/10/8 15:23:12

概述:

贝叶斯估计:贝叶斯估计是把待估计的参数\Theta看作具有先验分布密度p(\Theta)的随机变量,其取值与样本D有关,用训练样本D估计出最优的\Theta,记为\Theta ^{'}

贝叶斯学习 :把贝叶斯估计的原理用于直接从数据对概率密度函数进行迭代估计。

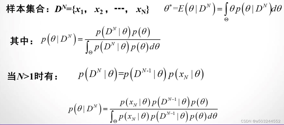
贝叶斯估计:

此处直接展示贝叶斯估计计算步骤:

Step1:根据对问题的认识或猜测确定0的先验分布密度p(\Theta)

Step2:求出样本集合的概率分布:[分布密度p(x |\Theta)已知]

P(D|\Theta ) = \prod_{i=1}^{N}p(x_{i}|\Theta )

Step3:利用贝叶斯公式求0的后验分布密度:

P(\Theta|D ) = \frac{P(D|\Theta )*P(\Theta )}{\int_{\Theta }^{}P(D|\Theta )*P(\Theta )d\Theta }

Step4: 计算的贝叶斯估计量: 

\hat{\Theta } = E(\Theta |D) = \int_{\Theta }^{}\Theta P(\Theta |D)d\Theta

贝叶斯学习:

总结: 

对于贝叶斯学习而言,它是一个递推贝叶斯估计过程,如果随着样本的增加后验概率序列逐渐尖锐,趋向于以0的真实值为中心的尖峰并收敛于真实值的脉冲,则称此过程为贝叶斯学习,样本的概率密度函数为: p(x) = p(x | D^{N\rightarrow \infty })。相比较参数估计方法中的贝叶斯估计而言,贝叶斯学习是一个在贝叶斯估计的基础上,研究不断增加样本数量,最终使得估计量趋近于实际参数的过程。

 

 

 


http://chatgpt.dhexx.cn/article/oN4ecr4M.shtml

相关文章

vue3页面刷新

整理工作中用到的页面刷新方式&#xff1a; 1.provide/inject 2.router.go(0) 3.provide,inject 一、使用provide和inject 控制<router-view>的显示隐藏 默认<router-view v-if"isRouterAlive" /> isRouterAlive是true&#xff0c;在需要刷新的时候把这…

js 页面刷新

刷新为新的页面 获得当前页面的url,即浏览器显示的地址: window.location.href; 按下enter,页面刷新为百度 刷新为当前页面 1,history.go(0)2,location.reload() 3,location=location 4,location.assign(location) 5,document.execcommand(‘refresh‘) 6,window.na…

Web页面自刷新

简单介绍两种&#xff1a; 第一种Ajax Ajax Asynchronous JavaScript and XML&#xff08;异步的 JavaScript 和 XML&#xff09;&#xff0c;ajax就是基于浏览器提供的XMLHttpRequest对象来实现的 什么叫异步&#xff1f; 异步&#xff0c;不同的意思&#xff0c;这里也就…

页面刷新技术-------AJAX

一、前提步骤&#xff08;先把静态网页写出来&#xff09; 1、首先先要配置文件 2、然后去后端建立服务器&#xff0c;把该下载的模块下载好 var httprequire("http") var fsrequire("fs") var urlrequire("url") var querystringrequire(&quo…

页面刷新和vue页面刷新

history.go(0) location.reload() locationlocation location.assign(location) document.execCommand(Refresh) window.navigate(location) location.replace(location) document.URLlocation.href这几个都可以刷新&#xff1a; window.location.reload();刷新 window.locatio…

vue关于页面刷新的几个方式

在写项目的时候会遇到需要刷新页面重新获取数据&#xff0c;浅浅总结了一下几种方案。 1.this.$router.go(0) 强制刷新页面&#xff0c;会出现一瞬间的白屏&#xff0c;用户体验感不好。 2.location.reload() 也是强制刷新页面&#xff0c;和第一种方法一样&#xff0c;会造成…

HTML页面刷新及其应用例子

HTML页面刷新及其应用例子 刷新一般指重新载入当前页面。本文先给出html页面刷新重载方法汇总&#xff0c;再给出示例。 html页面刷新重载方法汇总 一、javascript页面刷新重载的方法&#xff1a; <a href"javascript:location.reload();">点击重新载入页面…

vue页面刷新

vue页面刷新 首先我们都知道vue属于单页面应用&#xff0c;默认境况下是不会触发刷新页面操作的&#xff0c;所以这个时候就需要我们通过事件来触发reload()来达到刷新操作 接下来我就为大家介绍三种刷新页面的方法 1. wiindow.location.reload([bForceGet])该方法强迫浏览…

hadoop 学习路线

Posted: Sep 6, 2013 Tags: Hadoophadoop familyroadmap Comments: 40 Comments Hadoop家族学习路线图 Hadoop家族系列文章&#xff0c;主要介绍Hadoop家族产品&#xff0c;常用的项目包括Hadoop, Hive, Pig, HBase, Sqoop, Mahout, Zookeeper, Avro, Ambari, Chukwa&am…

Hadoop 学习路线图

主要介绍Hadoop家族产品&#xff0c;常用的项目包括Hadoop, Hive, Pig, HBase, Sqoop, Mahout, Zookeeper, Avro, Ambari, Chukwa&#xff0c;新增加的项目包括&#xff0c;YARN, Hcatalog, Oozie, Cassandra, Hama, Whirr, Flume, Bigtop, Crunch, Hue等。 从2011年开始&…

Hadoop学习路线

Hadoop基础 Hadoop是一个能够对大量数据进行分布式处理的软件框架&#xff0c;它是一种技术的实现&#xff0c;是云计算技术中重要的组成部分&#xff0c;云计算的概念更广泛且偏向业务而不是必须拘泥于某项具体技术&#xff0c;云计算的存在只是一种新的商业计算模型和服务模…

第11期:Hadoop零基础学习路线

大家好&#xff0c;我是你们的老朋友老王随聊&#xff0c;今天和大家讨论的话题——Hadoop零基础应该怎么学&#xff1f; 通过这段时间和群里同学们交流&#xff0c;发现很多大学生甚至职场小白对Hadoop学习路线不是很清晰&#xff0c;所以我花了一些时间给大家整理了一张Hadoo…

hadoop学习路线图

Hadoop是一个由Apache基金会所开发的分布式系统基础架构。用户可以在不了解分布式底层细节的情况下&#xff0c;开发分布式程序。充分利用集群的威力进行高速运算和存储。而对于hadoop的学习是大数据学习中的重要一个环节&#xff0c;于是乎有很多人想要知道hadoop学习路线图。…

Python的基础编程

1. python的基本语法 Python是一个结合了解释性、编译性、互动性和面向对象的高级程序设计语言&#xff0c;结构简单&#xff0c;语法定义清晰&#xff1b; Python最具特色的就是使用缩进来表示代码块&#xff0c;不需要使用大括号{}&#xff0c;但每一个模块内的语句必须包含…

【Java编程指南】语法基础

目录 一、前言 二、关键字 三、数据类型 1.存储单元 2.存储范围 3.类型转换 四、常量 五、变量 六、标识符 七、注释 一、前言 学习目标 1&#xff1a;熟悉Java的关键字、数据类型&#xff08;包括范围&#xff09;、常量与变量的区别 学习目标 2&#xff1a;类型转…

新手小白零基础,该怎样学习编程呢?

零基础编程入门先学什么&#xff1f;编程语言有几百种&#xff0c;我们应该怎么选择。想学习编程&#xff0c;加入互联网行业&#xff0c;哪一个更有前途&#xff1f;在小白学习编程会有各种各样的问题&#xff0c;今天小编我就来为你解答。 一、怎么选择编程语言 编程语言有很…

如何打好编程基础

如何打好编程基础 这篇文章是写给那些真心想学编程的人看的——那些憋着一股狠劲儿,一定要做出个什么真东西,不学好不罢休的人;而不是那些「听说编程好玩」的人,在我看来,这种人永远都入不了编程的门,更别提做出个像样的东西来了。 心态调整 确定目标 在你学习编程之前思…

Web编程基础知识

前段时间零零碎碎看了Web编程相关内容&#xff0c;今天就整理了一下 Web编程&#xff0c;前端主要是htmlCSSJavaScript&#xff0c;后端使用最多的是PHPMySQL 此次教程主要是关于html、CSS、JavaScript和PHP的一些语法和使用细则 1 Html: HyperText Markup Language&#xff0c…

如何0基础学编程,岗位怎么选择?

下面进入正题&#xff0c;如果非计算机专业的话短期内想找到工作可以考虑去选择找IT培训机构学习。一方面有专业老师指导&#xff0c;比自己看书、看视频学习更有效率。如果自学主要你非计算机专业&#xff0c;计算机基础编程基础相当于没有&#xff0c;有些编程理论很难理解&a…

5.Java编程基础

&#x1f4cb; 个人简介 &#x1f496; 作者简介&#xff1a;大家好&#xff0c;我是W_chuanqi&#xff0c;一个编程爱好者 &#x1f4d9; 个人主页&#xff1a;W_chaunqi &#x1f600; 支持我&#xff1a;点赞&#x1f44d;收藏⭐️留言&#x1f4dd; &#x1f4ac; 愿你我共…