Matlab中CIC滤波器的应用

article/2025/10/6 14:41:11

Matlab中CIC滤波器的应用

CIC滤波器基本原理

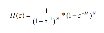
  CIC(积分梳状级联)滤波器是工程上经常用的滤波器,因为CIC滤波器不需要乘法,CIC滤波器往往在级联抽取滤波器的第一级和级联插值滤波器的最后一级。这一节我们以CIC抽取滤波器为例来讲CIC滤波器的使用方法,CIC滤波器的数学模式为:

image-20201002173656346

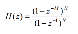
可以将其分解为两部分:

image-20201002173729012

其中第一级是积分器,就是做累加;第二级是级联梳状滤波器。

image-20201002173755692

  CIC滤波器有三个参数:

  • R:抽取倍数
  • M:差分延迟,在工程中一般取1或者2
  • N:滤波器级数,一级CIC的阻带有13.46dB的衰减,N级就是有13.46*N dB的衰减。

若R=8,M=1,N=5,那么CIC滤波器的频响如下所示:

image-20201002192819206

Matlab中CIC滤波器的使用

  在Matlab中,有两个函数可以生成CIC滤波器。我们以CIC抽取滤波器为例,一个是fdesign.decimator,第二个是dsp.CICDecimator。下面我们分别来看这两个函数的使用方法。

生成滤波器模型

  首先来看如何用fdesign.decimator生成一个CIC滤波器和其补偿滤波器,并查看CIC滤波器、补偿滤波器、级联滤波器的频响。下面代码中hcic即为构造的CIC滤波器,抽取倍数为4,差分延时为1;cic_comp为CIC补偿滤波器;其中Ap表示通带衰减,Astp表示阻带衰减。

Fs = 1; % sample rate
R = 4;  % decimator factor
D = 1;  % differential delay
Fp = 0.05; % pass band
Fstp = 0.075; % stop band
Ap = 0.1; % attenuation in pass band
Astp = 60; % attenuation in stop band
hcic = design(fdesign.decimator(R,'cic',D, Fp, Astp, Fs),'SystemObject',true);
cic_comp = design(fdesign.ciccomp(hcic.DifferentialDelay, ...hcic.NumSections,Fp,Fstp,Ap,Astp,Fs/R), 'SystemObject',true);
fvtool(hcic,cic_comp,...
cascade(hcic,cic_comp),'ShowReference','off','Fs',[Fs Fs/R Fs])
legend('CIC Decimator','CIC Compensator','Resulting Cascade Filter');

image-20210207151607757

  dsp.CICDecimator的用法也非常类似,我们可以直接指定阶数;CIC补偿滤波器也直接使用dsp.CICCompensationDecimator函数来设计;

Fs = 1; % sample rate
R = 4;  % decimator factor
D = 1;  % differential delay
N = 5;  % number of stage
Fp = 0.05; % pass band
Fstp = 0.075; % stop band
Ap = 0.1; % attenuation in pass band
Astp = 60; % attenuation in stop bandCICDecim = dsp.CICDecimator(R, D, N);
CICCompDecim = dsp.CICCompensationDecimator(CICDecim, ...'DecimationFactor',2,'PassbandFrequency',Fp, ...'StopbandFrequency',Fstp,'SampleRate',Fs/R);
fvtool(CICDecim,CICCompDecim,...
cascade(CICDecim,CICCompDecim),'ShowReference','off','Fs',[Fs Fs/R Fs])
legend('CIC Decimator','CIC Compensator','Resulting Cascade Filter');

频响如下:

image-20210207161734382

滤波操作

  如果要用上面生成的CIC模型来完成滤波操作,可以用dsp.SignalSource函数,该函数用于生成信号源,函数的第一个参数是原信号,第二个参数是每帧的点数。(至于为什么要分成不同的帧本人也不是很清楚,只是按照Mathworks提供的例程来完成)

  下面的例子中,我们要完成的是对输入的1024点的信号进行抽4的CIC滤波,在dsp.SignalSource中我们指定一帧为64个点,因此总共有1024/64=16帧,在抽4之后,每帧的长度就是64/4=16;所以定义的y是一个16x16的矩阵,其中每一行为一帧的滤波结果,将16行拼接起来,就是输出的1024/4=256点的结果。

  dsp.CICDecimatorfdesign.decimator的滤波的方法是一样的:

F0 = Fs/40;
N = 1024;
t = (0:N-1)';  % length: 1024
x = fi(sin(2*pi*F0/Fs*t),true,16,15);
SamplesPerFrame = 64;
src = dsp.SignalSource(x,SamplesPerFrame);
y = zeros(N/SamplesPerFrame,SamplesPerFrame/R);
for ii = 1:length(x)/SamplesPerFramey(ii,:) = hcic(src());  %y(ii,:) = CICDecim(src());   
end
yy = y.';
figure;plot(yy(:))

滤波后的时域结果如下所示:

image-20210207155034229
欢迎关注微信公众号:Quant_Times

欢迎大家学习我的课程:
System Generator & HLS数字信号处理教程

在这里插入图片描述


http://chatgpt.dhexx.cn/article/kVtXEEg4.shtml

相关文章

OpenCV中Lab空间简介及RGB转Lab

Lab颜色模式简介: From:http://wenku.baidu.com/view/67b1b11f650e52ea551898f7.html OpenCV中使用cvCvtColor加CV_BGR2Lab转成CIELAB后取值范围: 有时根据需要,我们使用 cvCvtColor( img, img, CV_BGR2Lab );把色彩空间从RGB转换…

【CIC滤波器】基于MATLAB/FPGA的数字CIC滤波器的设计

FPGA代码: module down(i_clk,//输入时钟i_rst,//输入复位信号i_M, //抽取值i_data,//输入信号o_data,//输出信号r_clk);input i_clk;//输入时钟 input i_rst;//输入复位信号 input [7:0] i_M; //抽取值 input signe…

CIE RGB、CIE XYZ、 Lab空间转换

颜色空间转换 CIE RGB转化到CIE XYZCIE XYZ到Lab空间 CIE RGB转化到CIE XYZ 由于CIE RGB空间在描述色彩时会出现负值,因此为了方便计算(1931年),CIE提出了一种新的色彩空间 CIE XYZ。 转换公式如下: 可见,…

【Matlab 图像】LAB 色彩空间分析

名称 在开始之前,先明确一下Lab颜色空间(Lab color space)的名字: Lab的全称是CIELAB,有时候也写成CIE Lab*这里的CIE代表International Commission on Illumination(国际照明委员会)&#xf…

C计算CIELAB、CIELUV均匀颜色空间中两种颜色的色差

C计算CIELAB、CIELUV均匀颜色空间中两种颜色的色差 ** 如何利用C语言计算两种颜色在CIELAB、CIELUV的总色差?例如:已知两颜色样品的色度值为:Y176.79,x10.4480, y10.3478;Y275.67,x20.4621&…

CIE颜色空间LCh、Lab、XYZ-sRGB介绍与转换关系(包含源码)

项目场景: 提示:在颜色科学中,LCh和Lab是比较常用的 LCh是由MATLAB计算出的数据,但是我所需要在Qt的q3dsurface绘制出这个切面,看了Qt官方Examples,墨西哥草帽算法的3D模型就是由XYZ组成的。所以我需要LC…

RGB和CIELAB颜色空间转换及偏色检测

RGB转为CIELAB 首先RGB是不可以直接转为CIELAB颜色空间的,RGB需要先转为CIEXYZ颜色空间,然后再由CIEXYZ颜色空间转为CIELAB颜色空间。关于这2个颜色空间的互转,主要参考了http://www.cnblogs.com/Imageshop/archive/2013/02/02/2889897.html…

sRGB转CIEXYZ转CIELAB,以及色彩距离

sRGB是标准色彩空间 是一个微软和惠普于1996年定义的标准色彩空间 如果想从sRGB转到CIEXYZ空间,要乘以这个矩阵: 得到CIEXYZ之后,可以再转成CIELAB: 其中 X 0 , Y 0 , Z 0 X_0, Y_0, Z_0 X0​,Y0​,Z0​是定义的参考白点&#…

深入理解color model(颜色模型)

什么是颜色 Wiki是这样说的:颜色或色彩是通过眼、脑和我们的生活经验所产生的一种对光的视觉效应。嗯,简单点说,颜色就是人对光的一种感觉,由大脑产生的一种感觉。感觉是一个很主观的东西,你怎么确定你看到的红色和我…

深度学习AI美颜系列---肤色相似度计算(CIELAB色差计算)

深度学习AI美颜系列---肤色相似度计算(CIELAB色差计算) 在AI美颜中,经常会用到肤色相似度计算,如何实现这个算法? 步骤如下: 1,人脸皮肤分割; 2,对人脸皮肤分割结果进…

彩色图像--色彩空间 CIELAB、CIELUV

学习DIP第65天 转载请标明本文出处:http://blog.csdn.net/tonyshengtan ,出于尊重文章作者的劳动,转载请标明出处!文章代码已托管,欢迎共同开发:https://github.com/Tony-Tan/DIPpro 更多图像处理机器学习内…

【视觉基础篇】10 # 图形系统如何表示颜色?

说明 【跟月影学可视化】学习笔记。 RGB 和 RGBA 颜色 RGB 和 RGBA 的颜色表示法 #RRGGBB 是 RGB 颜色的十六进制表示法,其中 RR、GG、BB 分别是两位十六进制数字,表示红、绿、蓝三色通道的色阶。 色阶可以表示某个通道的强弱。 每个通道一共有 25…

CIELab图像的通道分解与合成

import cv2 import numpy as np lotus cv2.imread(lotus.jpg) showImgByPlot(lotus,10,6) lotus_lab cv2.cvtColor(lotus, cv2.COLOR_BGR2LAB) l, a, b cv2.split(lotus_lab) #! featureMat cv2.merge([l, a, b]) #! merge失败 featureMat np.dstack((l, a, b)).astype(np…

CIELab和LCH的色彩空间图

资料来源:http://www.18show.cn/share_news/599547.html CIE Lab: LAB色空间是基于一种颜色不能同时既是蓝又是黄这个理论而建立。所以CIE Lab,单一数值可用于描述红/绿色及黄/蓝色特徽。当一种颜色用CIE L*a*b*时,L* 表示明度值…

CIELAB色差计算

CIE色差计算就是在之前Lab颜色空间进行的。色差一般指的是由于位置不同或者放大率不同所造成的颜色差异。而在图像处理领域,尤其是针对色彩的处理中,很重要的一点就是消除色差。那么接下来我们就讨论CIE色差公式的改进过程,每次改进的意义&am…

彩色空间-CIELAB和LAB的关系

CIELAB和LAB的关系 CIELab是CIE的一个颜色系统,表色体系,基于CIELab的意思是基于这个颜色系统之上,基本是用于确定某个颜色的数值信息。 Hunter 1948 L, a, b色彩空间的坐标是L, a和b。但是,Lab经常用做CIE 1976 (L*, a*, b*)色彩…

MATLAB GUI设计如何弹出新界面?

本意是想要设计一个图像处理系统,在该系统中点击按钮可以跳转到另一个GUI界面,在该界面设计后将所设置参数引回到原有的GUI界面,并在该界面进行显示处理好的图像。各位如果有好的结果的话麻烦江湖救急!或者可以加我QQ:…

Matlab GUI编程

在matlab命令行上输入guide或者从菜单中选择New GUI可以创建matlab的图形用户界面。 创建空白的GUI界面(默认),其界面如下: 未命名情况下matlab将会在当前工作目录下,同时将会生成untitled.fig和untitled.m文件。其中…

学习matlab(十四)——GUI

1.编程方法 在本章首先详细的介绍了MATLAB的图形句柄,通过对图形对象的属性进行设置,可以是实现图形的底层控制和设置。然后介绍了用户接口对象,用于建立各种按钮、菜单和工具条等。最后介绍了常用的对话框,这些对话框是GUI编程常用的基本元件。 在MATLAB中,各种句柄图形对象…

matlab制作GUI界面(1)

matlab制作GUI界面 概述创建GUI界面界面设置静态文本最后 概述 图形用户界面(Graphical User Interface,简称 GUI,又称图形用户接口)是指采用图形方式显示的计算机操作用户界面。 图形用户界面是一种人与计算机通信的界面显示格式…