LRU缓存

article/2025/10/2 14:31:22

一、什么是LRU算法

LRU,Least Recently Used算法,即一种缓存淘汰策略。

计算机的缓存容量有限,若缓存满了则需要删除一些内容,给新的缓存腾出空间,但问题是要删除哪些内容呢?当然是把用的少的缓存删掉,把最有用的数据继续保留以便于继续使用。那么如何判定哪些数据是有用的呢?

缓存淘汰的策略有很多,而LRU则是一种较为简单常用的算法,LRU判定最近使用过的数据为有用的,很久都没用过的数据是无用的,在内存满了就优先删除很久未使用,也就是无用的数据。

常见的场景如手机的后台运行缓存,我们依次打开了[设置] [网易云音乐] [优酷视频] [bilibili],假设手机只允许同时打开个应用程序,那么在我们打开bilibili的那一刻,就会将最久未使用的 [设置] 关闭,腾出空间给 [bilibili]

 

二、LRU的算法描述

①接收一个capacity的参数作为缓存的最大容量

②实现put(key,value)方法存入键值对

③实现get(key)方法获取key对应的value,若不存在返回-1

//缓存容量为2
LRUCache cache = new LRUCache(2);
//可以把cache理解为一个队列
//最近使用过的在队列头,久未使用的在队列尾cache.put(1,1);//cache = [(1,1)]cache.put(2,2);//cache = [(2,2),(1,1)]cache.get(1);//此时访问了key为1的entry 因此将其移动到队列头 cache = [(1,1),(2,2)]cache.put(3,3);//此时容量已满,需要删除久未使用的数据,也就是队列尾 然后插入新的数据 cache = [(3,3),(1,1)]cache.get(2);//return -1cache.put(1,4);//key=1已经存在,只需要覆盖value即可 且此时需要将更新的entry提前到队列头 cache = [(1,4),(3,3)]

 

三、LRU算法设计

要让LRUCache的put和get方法时间复杂度为O(1),那么要求数据结构的查询时间为O(1),插入时间为O(1),删除时间为O(1),且有序。

为了区分最近使用和久未使用的数据,我们必须要求cache有序;能够在cache中判断key是否存在;cache容量满了需要删除最后一个entry;每次访问的entry都重新放在队列头部。

为此我们可以考虑到HashMap与LinkedList的结合——LinkedHashMap

LRU缓存算法的核心就是基于LinkedHashMap实现的,其核心就是通过HashMap赋予链表查询迅速的特性

(图片来源LeetCode)

 

四、代码实现

首先将双向链表实现

class DoubleLinkedList {class Entry{int key;int value;Entry prev;Entry next;Entry(int key, int value) {this.key = key;this.value = value;}}private Entry head;private Entry tail;private int size;public LRUCache() {//缓存初始化head = new Entry(0,0);tail = new Entry(0,0);head.next = tail;tail.prev = head;int size = 0;}//在链表首部添加entrypublic void addFirst(Entry entry) {entry.next = head.next;entry.prev = head;head.next.prev = entry;head.next = entry;size++;}//删除链表中的entrypublic void remove(Entry entry) {Entry prev = entry.prev;Entry next = entry.next;prev.next = next;next.prev = prev;size--;}//删除链表中最后一个节点并返回public Entry removeLast() {if (tail.prev == head) {return null;}Entry last = tail.prev;remove(last);return last;}public int size() {return size;}
}

然后结合HashMap即可:

public class LRUCache {private HashMap<Integer, DoubleLinkedList.Entry> map;private DoubleLinkedList cache;private int capacity;public LRUCache(int capacity) {this.capacity = capacity;map = new HashMap<>();cache = new DoubleLinkedList();}public int get(int key) {//若map中不存在cache映射的key return -1if (!map.containsKey(key)) {return -1;}int val = map.get(key).value;//将get过的entry提前,put方法直接采用了删除尾部,首部添加的策略。put(key,val);return val;}public void put(int key, int val) {DoubleLinkedList.Entry x = new DoubleLinkedList.Entry(key,val);if (map.containsKey(key)) {//可以理解为缓存队列尾部删除 首部添加cache.remove(map.get(key));cache.addFirst(x);//map中添加该entry的映射map.put(key,x);} else {//当缓存已满,不仅要删除最后一个Entry,还要把map中映射到该节点的key同时删除,而这个key只能通过Entry得到。if(capacity == cache.size()) {//删除链表最后一个数据DoubleLinkedList.Entry last = cache.removeLast();map.remove(last.key);}cache.addFirst(x);map.put(key,x);}}
}

以上就是LRU的简单实现,

原文参考LeetCode:https://leetcode-cn.com/problems/lru-cache/solution/lru-ce-lue-xiang-jie-he-shi-xian-by-labuladong/

放个源码:https://github.com/whl-1998/DataStructAndAlgorithm/tree/master/src/com/whl

 

 

 

 


http://chatgpt.dhexx.cn/article/jjIqdL5Q.shtml

相关文章

【网络】HTTP 协议中 URI 和 URL 有什么区别?

HTTP定义 超文本传输协议&#xff08;Hyper Text Transfer Protocol&#xff0c;HTTP&#xff09;是一个简单的请求-响应协议&#xff0c;它通常运行在TCP之上。它指定了客户端可能发送给服务器什么样的消息以及得到什么样的响应。请求和响应消息的头以ASCII形式给出 HTTP是用…

LRU缓存机制,你想知道的这里都有

概述 LRU是Least Recently Used的缩写&#xff0c;译为最近最少使用。它的理论基础为 “最近使用的数据会在未来一段时期内仍然被使用&#xff0c;已经很久没有使用的数据大概率在未来很长一段时间仍然不会被使用” 由于该思想非常契合业务场景 &#xff0c;并且可以解决很多实…

LRU简单实现-了解一下

LRU 算法 LRU 是一种作为缓存的算法&#xff0c;像 CPU 缓存&#xff0c;数据库缓存&#xff0c;浏览器缓存。以及在移动端开发时的图片安缓存&#xff0c;采用 LRU 缓存策略的应用很广泛。在面试中也是常常考察的一个点。当然也有其他缓存方法&#xff0c;常见的策略有三种&a…

数据分析:RFM模型

补充&#xff1a; RFM分析方法&#xff1a;如何对用户按价值分类 深入解读和应用RFM分析方法(模型) 深入解读RFM模型-实战应用干货 转载自&#xff1a; 接地气的陈老师|作者 接地气学堂|来源&#xff1a;https://mp.weixin.qq.com/s/00vJPb9xqx4NL5Y5cPDXsw 问他咋做数据分…

数据分析之RFM模型

一.均值 RFM模型算法 从csv文件中读取相应的数据 datapd.read_csv(./dataset.csv,encodingISO-8859-1)#读取2014年的客户信息 data_14data[data[Order-year]2014] data_142.获取相应的列 data_14 data_14[[CustomerID,OrderDate,Sales]] data_14 CustomerID为用户id OrderD…

【数据分析】基于RFM模型的线上零售中的客户细分(二):RFM模型实战

基于RFM模型的线上零售中的客户细分&#xff08;二&#xff09; 摘要&#xff1a;在上一篇博客《基于RFM模型的线上零售中的客户细分&#xff08;一&#xff09;&#xff1a;客户细分》中&#xff0c;我们了解了什么是客户细分&#xff0c;这篇博客将会结合具体的商业实例介绍同…

数据分析 一文搞懂什么是RFM模型

数据分析 | 一文搞懂什么是RFM模型 想知道你在电商平台心里的地位吗&#xff1f;学会RFM分析法&#xff0c;你自然知道 大家好&#xff0c;我是翔宇&#xff01;今天我们来了解做数据分析一定要会的分析方法之一----RFM分析法。 相信大家在前天的双十一一定也多多少少贡献了…

RFM模型原理详解与实操运用

RFM模型原理详解与实操运用 RFM模型原理介绍为什么要使用RFM模型RMF模型原理介绍RFM模型用户细分 RFM模型实例操作背景/数据介绍RFM模型异化构建代码实现 最近在 运营课程中学习了RFM模型&#xff0c;又正正好在 商务智能的课程中学习了使用K-Means聚类分析实现RFM的操作。 …

如何利用RFM分析模型进行数据分析?

RFM模型 RFM主要根据客户活跃程度和平台交易金额贡献所做的分类。 近度&#xff1a;用字母R表示&#xff0c;代表客户最近一次的活跃距离目前的天数。在这部分客户中&#xff0c;有些优质客户值得通过一定的营销手段进行激活。 频度&#xff1a;用字母F表示&#xff0c;代表…

对RFM模型的理解

客户价值可以衡量客户对企业的相对重要性&#xff0c;是企业进行差异化决策的重要标准。 由此&#xff0c;通过客户价值分类可以为企业进行差异化营销策略奠定基础。 RFM模型对客户价值分类时非常简单的一种模型 以下从几大模块说一下个人对RFM模型的理解。 1.RFM模型是什么 …

RFM分析方法

RFM分析方法 RFM分析方法RFM指标介绍RFM指标作用如何使用RFM分析方法如何精细化运营 如何给R、F、M打分-采用数据分组确定分组的范围和标准利用VLOOKUP匹配函数函数 RFM分析方法 RFM指标介绍 R:最近一次消费时间间隔&#xff08;Recency&#xff09; R越小用户价值越高F:消费…

用户行为分析模型——RFM模型

用户行为分析模型——RFM模型 1. RFM模型2. RFM模型分析应用 1. RFM模型 RFM模型根据客户活跃程度和交易金额的贡献&#xff0c;进行客户价值细分的一种方法。 R&#xff08;Recency&#xff09;——最近一次交易时间间隔。基于最近一次交易日期计算的得分&#xff0c;距离当前…

客户价值模型:RFM

文章目录 1.1、RFM 模型引入1.1.1、RFM 模型介绍1.1.1.1、一般情况下RFM模型可以说明下列几个事实&#xff1a;1.1.1.2、对最近一个月内所有用户订单数据进行统计RFM值&#xff1a; 1.1.2、RFM 模型的三个指标&#xff1a;1.1.2.1、R&#xff1a;最近一次消费&#xff08;recen…

RFM分析(Recency,Frequency,Monetary)

通过RFM方法&#xff0c;我们根据用户的属性数据分析&#xff0c;对用户进行了归类。在推送、转化等很多过程中&#xff0c;可以更加精准化&#xff0c;不至于出现用户反感的情景&#xff0c;更重要的是&#xff0c;对产品转化等商业价值也有很大的帮助。 应用背景&#xff1a;…

R语言 RFM分析

目录 一、RFM分析的定义&#xff1a; 二、RFM分析的假设 三、RFM分析的步骤 四、RMF分析实例 4.1 数据准备 4.2 计算R/F/M 4.3 将R、F、M分组打分赋值 4.4 计算RFM综合分值 4.5 客户分类 4.6 完整代码 注&#xff1a;个人学习笔记--谁说菜鸟不会数据分析 R语言篇 一、…

[数据分析] RFM分析方法

美图欣赏2022/06/08 RFM分析方法 作用:对用户分类&#xff0c;识别出有价值的用户&#xff0c;对不同价值的用户使用不同的运营决策&#xff0c;把公司有限的资源发挥到最大的效果(用于用户价值细分&#xff0c;精细化运营) RFM是3个指标的缩写:最近1次消费时间间隔(Recency)…

深入解读RFM模型-实战应用干货

今天想先谈谈传统企业和电商谈的较多的RFM模型&#xff0c;在众多的客户细分模型中&#xff0c;RFM模型是被广泛提到和使用的。 一、RFM模型概述 RFM模型是网点衡量当前用户价值和客户潜在价值的重要工具和手段。RFM是Rencency&#xff08;最近一次消费&#xff09;&#xff…

如何进行有效的RFM模型搭建和分析?

“ RFM分析&#xff0c;是用户精细化运营中比较常见的分析方法了。” 今天和大家分享一篇历史文章&#xff0c;内容做了微调。是数据分析中比较常用的一个分析框架&#xff1a;RFM分析。该模型用的很多&#xff0c;说明有模型自身的优势&#xff1b;但同时也存在很多的问题。今…

概念+实战讲解,一文带你了解RFM模型【kaggle项目实战分享】数据分析

大家早上好&#xff0c;本人姓吴&#xff0c;如果觉得文章写得还行的话也可以叫我吴老师。欢迎大家跟我一起走进数据分析的世界&#xff0c;一起学习&#xff01; 感兴趣的朋友可以关注我或者我的数据分析专栏&#xff0c;里面有许多优质的文章跟大家分享哦。 &#xff08;有需…

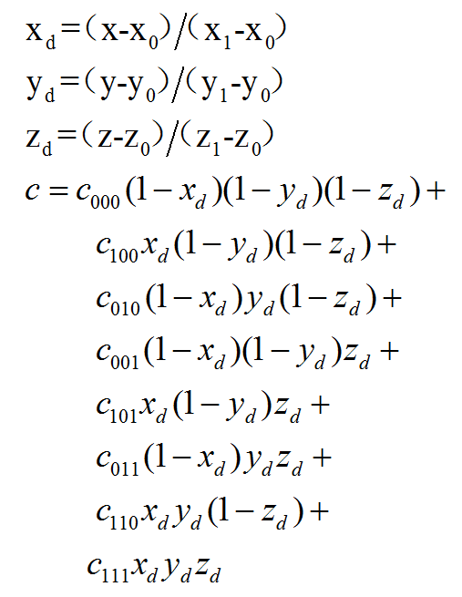
三线性插值(三维线性插值)

三线性插值&#xff08;trilinear interpolation&#xff09;主要是用于在一个3D的立方体中&#xff0c;通过给定顶点的数值然后计算立方体中其他点的数值的线性插值方法。 具体推导过程见参考资料1&#xff0c;这里直接给出最终公式&#xff1a; 其中&#xff0c;坐标(x,y,z…