积分运算电路分析

article/2025/10/11 20:48:13

积分运算电路

上图为积分运算电路。根据“虚短”和“虚断”特性,有UN=UP=0、iN=iP=0,因此可知,流过电容C的电流等于流过电阻R1的电流,即
在这里插入图片描述

输出电压为

在这里插入图片描述

式中表明输出电压与输入电压的积分成正比,负号表示电路实现反相功能,故称为反相积分运算电路,式中的R1C为积分时间常数。为了满足积分运算关系,则要求积分时间常数R1C必须大于输入信号周期T。

求解t1到t2时间段的积分位时,则有
在这里插入图片描述
式中,uo(t1)为初始时刻t1时uo的初始值,所求出的输出电压uo的终值是t2时刻的输出电压值uo(t2)。
当输入电压ui为常量时,则输出电压为
在这里插入图片描述

在实际电路中,为了防止低频信号增益过大,常在电容上并联一个电阻加以限制。

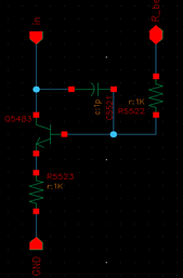
以下是我积分运算电路仿真图:
在这里插入图片描述
在这里插入图片描述

拓展:

在实际运用中,积分运算电路容易出现误差。原因有两个。

(1)集成运放不理想,由于运放的输入偏置电流、失调电流、输入失调电压影响,将使逐渐上升,形成输出误差电压。另外如果通频带不宽,那么对快速变化的输入信号反应迟钝,所以应该选择低漂移集成运放或场效应管运放。

(2)积分电容同样也会造成误差。由于电容存在泄露电阻,会使逐渐下降,同时又由于存在着电容的吸附效应,也会造成误差。所以应选择泄露电阻大的电容器,如薄膜电容(金属化薄膜,一端是金属另一端是塑料),聚苯乙烯电容器等。(漏电电阻,也称绝缘电阻。由于电容两极之间的介质不是绝对的绝缘体,它的电阻不是无限大,而是一个有限的数值,一般很精确,如534kΩ、652kΩ。漏电电阻的大小是额定工作电压下的直流电压与通过电容的漏电流的比值。漏电电阻越小,漏电越严重。电容漏电会引起能量损耗,这种损耗不仅影响电容的寿命,而且会影响电路的工作。因此,漏电电阻越大越好。电容效应:在L、C串联电路中,如果容抗大于感抗,即1/wc>wL,电容上的电压等于电源电动势加上电容电流流过电感造成的电压升。这种电容上的电压高于电源电动势的现象,称为电容效应。)

积分运算电路中改变电容大小使时间常数变大,则上升变慢,下降也变慢,最明显的效果是所利用的是负指数函数曲线的前边很小一段,因此所形成的三角波线性更好!

(积分运算电路常用于波形变换、延时以及相移等)

以上是我学习积分运算电路的笔记,如有需要补充或纠正之处,请加以指出,本人将非常感谢!


http://chatgpt.dhexx.cn/article/jZ6hvXbl.shtml

相关文章

【加减运算电路】

加减运算电路 1. 反相求和电路 虚短、虚断 特点:调节某一路信号的输入电阻不影响其他路输入与输出的比例关系 2. 同相求和电路 虚短、虚断    2.2 单运放和差电路 2.3 双运放和差电路 例1:设计一加减运算电路 设计一加减运算电路,使 Vo2Vi15Vi2-…

反向比例运算电路

1.经典反向比例运算电路 平衡电阻分析: 定义偏置电流IB,同相输入端Ib;反向输入端Ib-; 假设不存在R2 设输入电压为0,放大倍数为A;根据LCL; ((0-V-)/R1 - (-V-*A-V)/R…

反相比例运算电路

反相比例运算电路中,输入信号Ui通过电阻接到反相输入端,输出信号Uo通过一个反馈电阻Rf接到反相输入端。同相输入端通过电阻接地。 即反相比例运算电路中的“反相”是指 当输入为正时,输出为负。 电路中引入了负反馈,所以存在虚短…

比例运算电路

目录 前言一、反相比例运算电路1.一般反相比例运算电路2.T形反馈网络反相比例运算电路 二、同相比例运算电路1.一般同相比例运算电路2.分压同相比例运算电路3.电压跟随器 结语 前言 本文将分析同相比例运算电路和反相比例运算电路,运算电路基于通用型集成运放。本文…

3. 运算电路基础

3.1 数字逻辑电路基础 1. 布尔代数 0和1分别代表逻辑值“假”和“真”最基本的逻辑运算有: 与(AND)或(OR)非(NOT)“ • ” ( “ ∧” )“ ” ( “ ∨ ” )“ ” ( “ ﹁ ” ) 任何一种逻辑…

常见的运算电路

目录 1. 求差电路2. 求和电路3. 积分电路4. 微分电路 1. 求差电路 输出电压 v o ( 1 R 4 R 1 ) ( R 3 / R 2 1 R 3 / R 2 ) v i 2 − R 4 R 1 v i 1 v_o (1\frac{R_4}{R_1})(\frac{R_3/R_2}{1R_3/R_2})v_{i2} - \frac{R_4}{R_1}v_{i1} vo​(1R1​R4​​)(1R3​/R2​R3​/R…

运算电路的基本定义和运算电路经典基本电路图

运算电路 集成运放是一个已经装配好的高增益直接耦合放大器,加接反馈网络以后,就组成了运算电路特点 运算电路的输入输出关系,仅仅决定于反馈网络;因此只要选取适当的反馈网络,就可以实现所需要的运算功能,…

UCI数据集介绍(论文常用数据集)

UCI数据集作为一个标准测试数据集经常被用来训练机器学习的模型,广泛出现在机器学习的论文中,为了方便大家使用,本人对一些常用的数据集进行了整理。 1.UCI数据集介绍 UCI数据集网址如下 http://archive.ics.uci.edu/ml/index.php 例如点开…

使用Python以UCI心脏病数据集为例,进行数据简单分析

本文章包含以下内容: 以UCI心脏病数据集为例,进行数据简单分析: 求心脏病患者年龄的平均值、中位数和众数,从结果里分析年龄与心脏病的关系;胆固醇正常值是0-200mg/dL,区分胆固醇不合格和不合格人员&#…

UCI——心脏病数据集分析报告

文章目录 1 前期准备1.1 安装数据分析可视化第三方工具包1.2 安装辅助工具包1.3 安装机器学习第三方工具包1.4 安装机器学习可解释性第三方工具包 2 对于数据集进行导入、查看及简单分析2.1 代码及注释2.2 简单分析属性的相关系数关系 写在前面:研一的机器学习课程需…

UCI数据集中文介绍:Waveform Database Generator (Version 1) Data Set

看论文用到了该数据集,没找到中文描述,且官网上描述非常简洁。所以查阅了原版书,将该数据集的介绍整理如下。 实验数据集:波形数据集(下载网址:UCI Machine Learning Repository: Waveform Database Generator (Versi…

机器学习——Azure机器学习模型在线搭建实验原理+详细操作步骤+分析(以UCI数据库的数据为例)

Azure机器学习模型搭建实验 本文数据及文档地址:https://github.com/w1449550206/Azure-machine-learning-model-building-experiment.git 文章目录 Azure机器学习模型搭建实验机器学习工作流程总结登录方法Azure平台简介Azure机器学习实验详细操作步骤 Azure机器…

卜若的代码笔记-机器学习基础-UCI数据库简介与Iris数据集分析

1.机器学习和深度学习有些许差别 深度学习属于机器学习的子类,更加瞄准于CNN,RNN等网络,本课程主要针对于机器学习的扫盲 1.1 UCI官网 如果你是一个正在研究机器学习的菜鸟,或者感兴趣的guys,那么,你一定…

UCI数据库

UCI数据库是加州大学欧文分校(University of CaliforniaIrvine)提出的用于机器学习的数据库,这个数据库目前共有335个数据集,其数目还在不断增加,UCI数据集是一个常用的标准测试数据集。 UCI数据可以使用Matlab的dlmread(或textr…

UCI数据集详解及其数据处理(附148个数据集及处理代码)

摘要:本文对机器学习中的UCI数据集进行介绍,带你从UCI数据集官网出发一步步深入认识数据集,并就下载的原始数据详细讲解了不同类型的数据集整理如何通过程序进行整理。为了方便使用,博文中附上了包括数据集整理及数据预处理在内的…

【20211208】【Python】UCI数据集的简单介绍和使用Python保存UCI数据集为.mat文件

一、UCI 数据集介绍 进行机器学习学习过程中,会使用到 UCI 公开数据集,UCI 数据集网址:UCI Machine Learning Repository。 点击进入之后,页面显示如下: 以 iris 数据集为例,点击进入: 该页面展…

UCI数据集整理(附论文常用数据集)

摘要:UCI数据集作为标准测试数据集经常出现在许多机器学习的论文中,为了更方便使用这些数据集有必要对其进行整理,这里整理了论文中经常出现的数据集,并详细介绍如何使用MATLAB将数据集文件整理成自己需要的格式以及如何使用数据集…

【Android系统源码修改】修改系统默认定位方式

gps 移动网络位置信息 gps 修改为 gps,network 或者 network 或者 是否支持gps \frameworks\base\services\core\java\com\android\server\location\GpsLocationProvider.java ro.wisky.gpssupport 此值设为 false 时不支持,则系统中一些有关 gps 的设置将会被屏蔽…

android 修改 dpi_设计规范 | Android系统

一、基础概念 1.1 屏幕尺寸 屏幕尺寸指的是手机屏幕的物理尺寸,一般用屏幕对角线长度表示,以英寸(inch)为单位。如,小米M4尺寸为5英寸。 1.2 屏幕密度 由于Android属于开源系统,任何用户、开发者、运营商都可以对Android进行专属定制,因此导致国内安卓手机尺寸众多,然而设…

android注入 定位,[原创]修改源码实现全局(无需root)注入躲开注入检测

看这篇文章需要的技能 1.会编译android源码(如果你不愿意编译源码,还有另外一种办法,下面我会提供) 2.会使用substrate或者xposed 以上2个网上资料很多我就不啰嗦了 一、市面上目前的hook和注入工具 市面上目前的hook有substrate,xposed,或者一些开源的自己实现的hook和注入…