学习笔记2 光伏MPPT算法

article/2025/10/23 0:41:14

目录

  • 前言
  • 1. 光伏电池的分类
    • 1.1 按照电池结构分类
    • 1.2 按照电池材料分类:
  • 2. 光伏电池模型及光伏特性曲线
    • 2.1 光伏电池模型
    • 2.2 光伏特性曲线
  • 3. 影响光伏电池输出特性曲线的两个主要因素
    • 3.1 光照的影响
      • 3.1.1 光照对I-V曲线的影响
      • 3.1.2 光照对P-V曲线的影响
      • 3.1.3 光照对P-I曲线的影响
    • 3.2 温度的影响
      • 3.2.1 温度对I-V曲线的影响
      • 3.2.2 温度对P-V曲线的影响
      • 3.2.3 温度对I-V曲线的影响
  • 4. 光伏MPPT算法
    • 4.1 扰动观察法(控电压)
    • 4.2 电导增量法(控电压)
    • 4.3 电导增量法(控电流)
    • 4.4 其它MPPT改进算法

前言

  最近一段时间一直在做光伏MPPT算法,但由于项目保密原因,不能将过多内容展示给大家,只能做简要的介绍,具体调试过程比较复杂,以后从事相关工作的工程师自己慢慢体会。

1. 光伏电池的分类

1.1 按照电池结构分类

  (1)同质结光伏电池,相同的半导体材料掺杂少量杂质构成的PN结太阳能光伏电池;
  (2)异质结光伏电池,在两种不同禁带宽度半导体材料相接面上构成PN结的太阳能光伏电池;
  (3)薄膜光伏电池,采用薄膜技术将很薄的光电半导体材料铺设在非半导体衬底上构成的太阳能光伏电池;
  (4)叠层光伏电池,光子吸收能力不同的两种半导体材料叠在一起构成的太阳能光伏电池等等。

1.2 按照电池材料分类:

  (1)非晶硅光伏电池,采用内部原子排列“短程有序而长程无序”的非晶硅材料制成,主要被制成薄膜电池形式;
  (2)晶体硅光伏电池,包括单晶硅和多晶硅光伏电池;
  (3)化合物光伏电池,主要包括碲化镉(CdTe)、铜铟镓硒(CIGS)、硫化镉光伏电池;
  (4)有机光伏电池,由有机光电高分子材料构成的光伏电池。

2. 光伏电池模型及光伏特性曲线

2.1 光伏电池模型

  光伏电池的物理模型如图所示:

  根据物理模型得到的简化数学模型:

2.2 光伏特性曲线

  由上一节关系式可以得到光伏特性曲线,左图为不同光照强度下电流随电压变化的图形,右图为功率随电压变化的图形:

  从光伏特性曲线可以看出,光伏电池电流与电压的关系与传统的储能电池完全不同,电流随着电压的增大而减小,通过电流与电压的乘积可以得到功率随电压变化的曲线,功率随电压的增大先增大后减小,因此存在一个最大功率点,为了使光伏电池效率最高,我们希望光伏电池始终工作在最大功率点。因此光伏电池的最大功率追踪算法(MPPT)的研究就变得十分重要。

3. 影响光伏电池输出特性曲线的两个主要因素

3.1 光照的影响

3.1.1 光照对I-V曲线的影响

  如图是相同温度下得到的不同光照强度下的I-V曲线,从图中可以看出随着光照强度的增加,I-V 特性曲线向上移动。当辐照度和电池温度确定时,太阳能电池I-V 特性曲线在其运行区间[0,Voc]内始终呈现凸形且严格递减(Voc为开路电压)。
在这里插入图片描述

3.1.2 光照对P-V曲线的影响

  如图是相同温度下得到的不同光照强度下的P-V曲线,从图中可以看出随着光照强度的增加,P-V 特性曲线向上移动,且最大功率点向右上方移动。
  从图中还可以看出,P-V 曲线的斜率在太阳能电池运行区间[0,Voc]内严格递减,在左端点处斜率大于0;在右端点处斜率小于0,必然存在一个唯一的极值点V=Vm 使得P-V 曲线在该点处斜率等于0。因此太阳能电池P-V 曲线在区间[0, Vm]内严格递增,在[Vm, Voc]区间内严格递减,在V=Vm处输出功率达到最大值。
在这里插入图片描述

3.1.3 光照对P-I曲线的影响

  如图是相同温度下得到的不同光照强度下的P-I曲线,从图中可以看出随着光照强度的增加,对应的最大功率随之增大,同时P-I特性曲线向右上方移动。当辐照度和电池温度确定时,太阳能电池P-I 特性曲线在其运行区间[0,Isc]内先增大后减小(Isc为短路电流),输出功率存在最大值,称为最大功率点,P-I曲线在该点的斜率 dP/dI为0。
在这里插入图片描述

3.2 温度的影响

3.2.1 温度对I-V曲线的影响

  如图是相同光照强度下得到的不同光温度下的I-V曲线,从图中可以看出随着温度的增加,I-V 特性曲线的短路电流不断增加,开路电压不断减小。同样的当辐照度和电池温度确定时,太阳能电池I-V 特性曲线在其运行区间[0,Voc]内始终呈现凸形且严格递减(Voc为开路电压)。
在这里插入图片描述

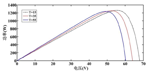
3.2.2 温度对P-V曲线的影响

  如图是相同光照强度下得到的不同温度下的P-V曲线,从图中可以看出随着温度的增加,对应的最大功率随之减小,开路电压也随之减小,同时P-V特性曲线向左下方移动。
在这里插入图片描述

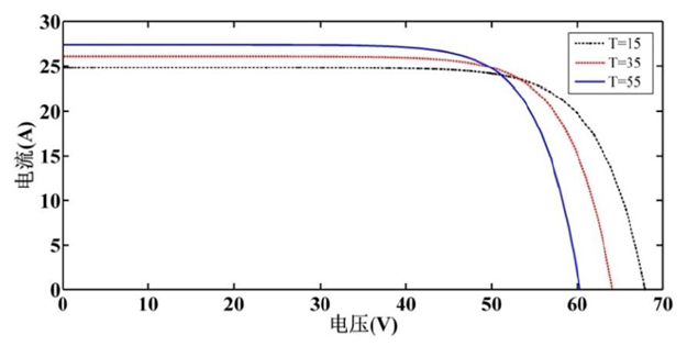
3.2.3 温度对I-V曲线的影响

  如图是相同光照强度下得到的不同温度下的P-I曲线,从图中可以看出随着温度的增加,对应的最大功率随之减小,而短路电流随之增大,同时P-I特性曲线向右下方移动。太阳能电池P-I特性曲线在[Isc内先增大后减小,输出功率存在最大值。
在这里插入图片描述

4. 光伏MPPT算法

4.1 扰动观察法(控电压)

  以下是扰动观察法的控制框图:
在这里插入图片描述
  扰动观察法根据当前时刻的功率与上一时刻的功率作比较,比较的结果作为电压调节的依据,原理上非常简单。但是我们不得不考虑以下问题:
  (1)电压调节步长的选取:在同一条光伏曲线上,应如何选取调节步长?在不同的功率-电压曲线上如何选取步长?选取的步长是否可以达到稳态与动态的要求?
  (2)功率判断区间的选取:例如功率差很大我们要进行的操作与功率差很小要进行的操作会一样吗?
  (3)我们的采样不准又怎么办?我们认为我们计算的功率计算没问题才对电压进行调节,加入我们的电压电流都不准确那调节会准吗?
  不要小看扰动观察法的原理简单,调节起来有很多问题要考虑,记住原理只是原理,并不是最终产品。

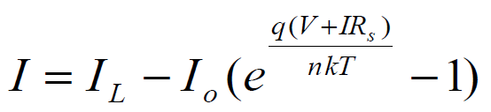
4.2 电导增量法(控电压)

  电导增量法的控制依据就是如下三个公式:
在这里插入图片描述
  电导增量法(控电流)控制框图如下:
在这里插入图片描述
  通过公式可以知道,满足公式第一条即视为运行在最大功率点,但实际的稳态也只能是小范围的增减,始终无法保持。光照在变化,光伏曲线也在变化,电导增量法的也就是对这种扰动实时进行追踪,从而追踪最大功率。同样的电导增量法也存在很多问题。
  (1)电压步长的选取,类比扰动观察法;
  (2)判断区间,不同的判断区间调节步长的设定;
  (3)采样不准等等。

4.3 电导增量法(控电流)

  电导增量法的控制依据就是如下三个公式:
在这里插入图片描述
  无论是控电压还是控电流,依据的公式是相同的,只是一个调节电压,一个调节电流而已,需要注意的问题也很类似。实际调试的时候慢慢体会。
  电导增量法(控电压)控制框图如下:
在这里插入图片描述

4.4 其它MPPT改进算法

  在这里不列举其它方法,但好多方法是基于光伏电池的精准建模,使得系统直接运行在最大功率点。但在实际工程中,同一个变换器会接不同的光伏电池,建模真的能针对每一块电池亦或是每一类电池吗?不同的生产厂家生产的电池有所不同,甚至同一厂家的不同批次也会有所不同,基于精准电池模型的MPPT算法在实际电源中个人认为不容易采用。


http://chatgpt.dhexx.cn/article/iZbGMR9P.shtml

相关文章

光伏发电最大功率点跟踪MPPT(粒子群算法)

光伏电池作为太阳能发电的核心部件,实现了太阳能到电能的转换,但是由于光伏电池器件本身的复杂性以及现如今光电材料的限制,光伏电池的转换效率总体来说还是比较低,而且其输出还是非线性的,并且光照强度和外界温度对其…

光伏逆变器MPPT基本算法介绍-李星硕

前言 在上一个话题中,我们阐述了光伏MPPT基本原理:从本质上来说,MPPT算法均是通过DC-DC的占空比d来进行控制的。至于如何计算占空比d的值,则取决于具体的MPPT算法。那么在本话题中,我们将介绍两种基本的MPPT算法&#…

MPPT算法(恒定电压、扰动观察、电导增量)介绍与实现过程

目录 1、太阳能板的特性曲线 2、固定电压法 3、MPPT-P&O算法 4、电导增量算法 5、系统实现方案 1、太阳能板的特性曲线 太阳能板也叫光伏电池。是通过光电效应,把光能转换为电能的设备。 先介绍太阳能板的特性。太阳能的额定参数是在地面光伏组件标准测试…

嵌入式怎么入门,嵌入式应该先学习什么

嵌入式到底是什么,很多对这个概念都很迷糊,许多人都认为这是工程师的代名词。 嵌入式工程师可以说是目前涵盖面最广、最火的职业之一,那么到底什么是嵌入式呢? 狭义上嵌入式系统由硬件和软件组成.是能够独立进行运作的…

嵌入式通用学习路线整理

大家好,我是小麦。 从事嵌入式相关行业,差不多快有10年时间了,走过很多弯路,踩过很多坑。 很多人会问,嵌入式真的没有前途吗?这个我其实也无法回答。用发展的眼光来看,万物都有周期。 这个和嵌入…

嵌入式学习(一)嵌入式c语言

第一章.c数据类型及语句 1.01 第一个c程序的编写 下载好VScode并配置好环境&#xff0c;可以开始进行第一个c程序的编写。 #include <stdio.h>int main(int argc,char *argv[]) {printf("Hello World!\n");return 0 ; } 需要注意的几点&#xff1a; 1.#inclu…

嵌入式学习难吗?

首先来说&#xff0c;学习任何一门技术都有它难的地方。如果说嵌入式学习难&#xff0c;那它就难在于嵌入式知识比较综合&#xff0c;比如C语言、数据结构、通信原理、单片机、数字电路、 arm体系、驱动开发、系统移植、Lora&#xff0c;NB-IOT等&#xff0c;大学里开过很多课都…

嵌入式学习(一)—— 初步认识

嵌入式学习&#xff08;一&#xff09;—— 初步认识 一、认识嵌入式二、嵌入式学习内容1.C语言学习2. 模拟电路&#xff0c;数字电路基础- 模拟电路- 数字电路 3. 硬件知识掌握4. 裸机开发5. 认识使用外设模块6. OS学习7.Linux开发板学习8.应用层学习9. PCB学习 三、推荐网站及…

嵌入式学习笔记

ARM &#xff1a;Advanced RISC Machine RISC&#xff1a;精简指令集 EMCU&#xff1a;Embedded Micro Controller Unit 嵌入式微控制器 EMPU &#xff1a;Embedded Micro Processor Unit 嵌入式微处理器 EDSP &#xff1a;Embedded Digital SIgnal Process 嵌入式数字信号处理…

嵌入式之学习路线

入门必看&#xff1a;https://www.xianjichina.com/news/details_69907.html IC设计&#xff0c;FPGA&#xff0c;射频&#xff0c;EMC&#xff0c;电气工程 ******嵌入式开发的相关硬件基础&#xff1a;对于软件工程专业的学生&#xff0c;从事嵌入式软件开发&#xff0c;像…

嵌入式学习路线,强烈推荐!!!

最近有小伙伴在微信私信我&#xff0c;如何学习嵌入式。一直想写一篇学习路线的文章&#xff0c;由于各种原因拖到了现在。 下面就如何学习嵌入式说下我个人的看法。 01 什么是嵌入式&#xff1f; 嵌入式即嵌入式系统&#xff0c;IEEE&#xff08;美国电气和电子工程师协会&am…

嵌入式学习笔记——概述

嵌入式系统概述 前言“嵌入式系统”概念1.是个啥&#xff1f;2.可以干啥&#xff1f;3.有哪些入坑方向&#xff1f;4.入坑后可以有多少薪资&#xff1f; 单片机1.什么是单片机&#xff1f;2.架构简介3.基于ARM架构的单片机结构简介 总结M4系列目录 前言 断更很长时间了&#x…

【超全面】Linux嵌入式干货学习系列教程

文章目录 一、前言二、Linux基础篇三、数据结构与算法基础三、Linux应用篇四、Linux网络篇五、ARM篇六、Linux系统移植篇七、Linux驱动篇八、Linux特别篇九、Linux项目篇 一、前言 博主学习Linux也有几个月了&#xff0c;在这里为广大朋友整理出嵌入式linux的学习知识&#xff…

嵌入式软件学习路线(入门)

大家不要只收藏不关注啊&#xff0c;哪怕点个赞都行哇。&#x1f62d; 嵌入式学习路线 嵌入式体系框架C语言的入门学习C语言的进阶学习单片机的入门学习linux的入门学习VxWorks的入门学习上位机的入门学习 刚工作两年&#xff0c;推荐的学习路线只做一家之言&#xff0c;如果…

嵌入式学习基础路线

博主来填坑了 博主终于硕士毕业拿到双证去公司报道了&#xff0c;趁空闲的时间来更新下嵌入式软件开发的学习路线。 嵌入式的学习 嵌入式总的来说就分两条路线&#xff1a;1&#xff09;走MCU的软件开发的路线&#xff1b;2&#xff09;走Linux的软件开发路线。 当然除了软…

嵌入式操作系统(嵌入式学习)

嵌入式操作系统 嵌入式操作系统是什么&#xff1f;嵌入式操作系统有哪些&#xff1f;常用的嵌入式操作系统及其特点对初学者的建议 嵌入式操作系统是什么&#xff1f; 嵌入式操作系统是一种专门设计和优化用于嵌入式系统的操作系统。它是在资源受限的嵌入式设备上运行的操作系…

嵌入式入门学习的必要步骤

很多新手在入门嵌入式的时候&#xff0c;经常会有很多问题&#xff0c;这也都是想要多多去了解嵌入式&#xff0c;也害怕自己浪费了时间还没有学会嵌入式&#xff0c;掌握到好方法学习嵌入式&#xff0c;那么就会事半功倍&#xff0c;下面一起来看看嵌入式入门学习的必要步骤是…

嵌入式系统学习

Lecture11-12 主要学习 ➢ 总线基础 ➢ UART协议 ➢ I2C协议 ➢ SPI协议 1.总线的基础 protocol 协议 总线只是一组导线的集合&#xff0c;在嵌入式板上的所有其他主要组件&#xff08;包括I/O子系统、内存子系统和主处理器&#xff09;之间传输各种数据信号、地址和控制…

嵌入式要学习哪些内容?

嵌入式要学习哪些内容&#xff1f; 嵌入式概括一下就是写程序&#xff0c;用软件控制硬件。嵌入式的学习应该是自上而下的。 1.语言先行 首先是写代码&#xff0c;写用户的应用程序。每种语言的使用目的是不同的&#xff0c;我们嵌入式选择的语言是C语言。 所以首先要学习C语言…

【嵌入式】超详细的嵌入式路径学习精选合集,建议收藏

超详细的嵌入式路径学习精选合集&#xff0c;纯干货&#xff0c;建议收藏&#xff01; 本合集归类汇总了嵌入式开发技术相关的学习路径、知识与经验总结&#xff0c;以及一些源码、资料分享等。将其分类列出目录&#xff0c;一来为了避免有些知识长时间不用&#xff0c;会很容…