输出层的激活函数——softmax函数

article/2025/10/6 21:19:13

概括

机器学习的问题大致可以分为分类问题和回归问题。分类问题是数据属于哪一个类别的问题。比如,区分图像中的人是男性还是女性的问题就是分类问题。而回归问题是根据某个输入预测一个(连续的)数值的问题。比如,根据一个人的图像预测这个人的体重问题是回归问题(类似“57.4kg”这样的预测)。

输出层所用的激活函数,根据求解问题的性质决定。一般,回归问题可以用恒等函数,二元分类问题可以用sigmoid函数,多元分类问题可以用softmax函数。

恒等函数:输出=输入

在这里插入图片描述

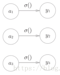
softmax函数:输出为一个函数

在这里插入图片描述
其中exp为指数函数,表示假设输出层共有n个神经元,计算第k个神经元的输出yk。ak代表第k个输出神经元的输入,ai代表第i个输出神经元的输入,公式分子表示ak的指数函数,分母表示所有输出神经元的输入指数函数的和

代码实现softmax

def softmax(a):exp_a = np.exp(a)sum_exp_a = np.sum(exp_a)y = exp_a / sum_exp_areturn y

softmax函数的注意事项

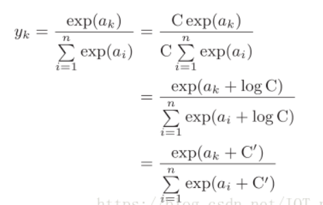
上述softmax函数的实现存在溢出问题。在计算指数时,比如e的5000次方,数据将会非常大,计算机处理“数”时,数值必须在4字节或8字节的有限数据宽度内,超出的数据则会显示为无穷(inf),所以要对softmax函数进行改进,防止数据的溢出。

在这里插入图片描述
如图中,将分子分母同时乘以C,然后将C提进指数函数中,图中用的logC理解成数学中的lnC,然后用C’代替logC,通过控制C’来控制exp函数中的指数,来实现softmax函数不因为数据过大而出错。C’可以使用任何值,为防止溢出,一般使用输入信号中的最大值。
例子:
在这里插入图片描述

def softmax(a):c = np.max(a)exp_a = np.exp(a-c) # 溢出对策sum_exp_a = np.sum(exp_a)y = exp_a/sum_exp_areturn y

http://chatgpt.dhexx.cn/article/hDM8sL9F.shtml

相关文章

Softmax

又搬了个蒸馏相关~~ 神经网络中的蒸馏技术 “模型集成是一个相当有保证的方法,可以获得2%的准确性。“ —— Andrej Karpathy我绝对同意!然而,部署重量级模型的集成在许多情况下并不总是可行的。有时,你的单个模型可能太大(例如G…

初探softmax

什么是softmax Softmax,又称作归一化指数函数。主要用于分类任务,降多分类的结果以概率的形式展现 下图展示softmax计算方法 softmax本质上是归一化网络,目的是将多个标量映射为一个概率分布,其输出的每一个值范围在(0,1&#x…

神经网络之softmax(作用,工作原理【示例说明】,损失计算)

1、softmax作用 softmax将输出的分类结果映射到(0-1)之间,将神经网络的分类结果转化成对应的概率。不同的概率,表示此样本属于对应类别的可能性大小,概率越大,样本属于该分类的可能性越大。概率的总和为1。…

softmax算法详解

softmax简介 在机器学习尤其是深度学习中,softmax是个非常常用而且比较重要的函数,尤其在多分类的场景中使用广泛。他把一些输入映射为0-1之间的实数,并且归一化保证和为1,因此多分类的概率之和也刚好为1。 2.softmax函数的数学…

深度学习softmax函数理解

文章目录 一,引入二,softmax是什么?三,为什么 使用 e x e^x ex实现总结 一,引入 我们为什么要引入这个函数,我们知道在机器学习当中,一些问题大概可以分为两种,一种是分类问题&…

softmax详解

softmax又称归一化指数函数。它是二分类函数sigmoid在多分类上的推广,目的是将多分类的结果以概率的形式展现出来。它将多个神经元的输出,映射到(0,1)区间内,可以看成概率来理解,从而来进行多分类&#xff…

什么是事务的一致性?

事务的ACID特性 事务主要有四个特性:原子性(Atomicity)、一致性(Consistency)、隔离性(Isolation)、持续性(Durability) 下面我们分别来介绍着几种性质。 原子性 原子…

什么是事务,事务的用途,分布式事务

先看个例子: 客户A和客户B的银行账户金额都是10000元人民币,客户A需要把自己帐户中的5000元人民币转到客户B的账户上。 这个过程看似简单,实际上涉及了一系列的数据库操作,可以简单地视为两步基本操作,即从客户…

什么是事务和事务隔离级别

目录 1. 什么是事务2. 事务的作用3. 事务隔离所导致的一些问题4. 事务隔离级别 Isolation5. 事务传播行为 Propagation6. 事物隔离级别查看及修改 1. 什么是事务 事务是访问数据库的一个操作序列,数据库应用系统通过事务集来完成对数据库的存取。事务的正确执行使得…

什么是事务的一致性?一致性和原子性的区别是什么?

(PS:黄色字体为二次修改的内容) 关于事务的一致性,《数据库系统概念》中是这样描述的 第二段说的三个特性是指原子性、隔离性、持久性。 就算这样,相信大家也是懵懵的,我也是,所以才会写下这篇博客。 看到别的博客说&#xff0…

数据库得事务控制详解,什么是事务回滚详解,通俗易懂

常用的存储引擎有InnoDB(MySQL5.5以后默认的存储引擎)和MyISAM(MySQL5.5之前默认的存储引擎),其中InnoDB支持事务处理机制,而MyISAM不支持 事务是一个整体, 由一条或者多条SQL语句组成, 这些SQL语句要么都执行成功, 要么就失败, 只要有一条SQL出现异常, 整个操作就会回滚…

什么是事务?如何执行一个事务?

什么是事务,为什么要使用事务? 事务是指将一系列数据操作捆绑成为一个整体进行统一管理,如果某一事务执行成功,则在该事物中进行的所有数据更改均会提交,成为数据库中的永久组成部分, 如果事务执行时遇到错…

什么是事务,事务的ACID特性

一.什么是事务 事务是应用程序中一系列严密的操作,所有操作必须成功完成,否则在每个操作中所作的所有更改都会被撤消。也就是事务具有原子性,一个事务中的一系列的操作要么全部成功,要么一个都不做。 事务的结束有两种…

SQL中什么是事务

SQL中什么是事务 事务的概念: 事务是在数据库上按照一定的逻辑顺序执行的任务序列,既可以由用户手动执行,也可以由某种数据库程序自动执行。事务就是一些SQL语句组(每条单独的SQL语句也算一个事务),其中事…

什么是事务?事务的特性?

在mysql中,事务是一种机制、一个操作序列,是访问和更新数据库的程序执行单元。事务中包含一个或多个数据库操作命令,会把所有的命令作为一个整体一起向系统提交或撤销操作请求,即这一组数据库命令要么都执行,要么都不执…

粒子群优化算法求解函数最值

一、实验题目 计算如下二元函数的最小值: (其中自变量x、y的范围均为[-50, 50]) 用matlab代码实现。代码必须能一键运行。最后输出x,y和z的最优值及收敛到最优值所需的迭代步数。算法关键参数需要注释清楚(如权重因子、学习因子…

粒子群优化算法python

粒子群优化算法PSO 粒子群优化算法基本原理算法步骤代码实现 粒子群优化算法 一群鸟在随机搜索食物,在这个区域里只有一块食物。所有的鸟都不知道食物在那里。但是它们知道当前的位置离食物还有多远。那么,找到食物的最简单有效的方法就是搜寻离食物最近…

基于粒子群优化算法的函数寻优算法

文章目录 一、理论基础二、案例背景1、问题描述2、解题思路及步骤 三、MATLAB程序实现1、PSO算法参数设置2、种群初始化3、寻找初始极值4、迭代寻优5、结果分析 四、惯性权重1、惯性权重的选择2、 ω \omega ω变化的算法性能分析 五、参考文献 一、理论基础 粒子群算法(parti…

自适应粒子群优化算法的MATLAB性能仿真

UP目录 一、理论基础 二、核心程序 三、测试结果 一、理论基础 粒子群优化(PSO)是一种基于群体的随机优化技术。与其它基于群体的进化算法相比,它们均初始化为一组随机解,通过迭代搜寻最优解。不同的是:进化计算遵循…

PSO粒子群优化算法

1算法简介 粒子群优化算法,在1995年由Eberhart博士和kennedy博士提出,源于对鸟群捕食的行为研究。该算法最初是受到飞鸟集群活动的规律性启发,进而利用群体智能建立的一个简化模型。算法流程图如下所示。 核心公式( 更新速度和位…