决策树(二):回归树和模型树

article/2025/10/4 15:20:21

下面介绍的回归树和另一篇文章介绍的分类树,都属于决策树范畴。分类树的模型是每个非叶子节点都是一个分类特征,按照该分类特征的不同取值,将数据集分为多少个子集;并且分类树模型我们要找的是测试数据集的最终分类结果,而这个结果是标称型数据。而在回归树的概念中,每个非叶子节点也是需要根据某个特征分出子树,但是这个特征的取值是连续的,就不可能像分类树那样依据多少个取值分为多少个子树,所以在回归树模型中,一般都是二叉树,每个非叶子节点的分类特征都取一个值,小于这个值的数据分到左子树,大于这个值的分到右子树,等于这个值的我感觉是两边都可。

换一种说法,二叉树内部取“是”和“否”的分法,一个节点的条件时x<=a(a是我们计算出来的合适的分隔数据点),其中小于等于a的我们取“是”,也就是放到左子树,大于a的,我们取“否”,放到右子树。

  1. 回归树的生成

我们知道,不管是在回归树的生成过程中,还是生成之后,所有的叶子节点都是一堆数据集,而我们的目标就是对叶子节点上的数据集进行误差最小化分析,不断划分,直到叶子节点的误差小于一定的阈值。所以在每个叶子节点上,我们用平方误差

,来表示回归树训练过程中的预测误差,其中f(xi)是期望最优值,我们取所有yi的平均值,即 。下来就是需要取,最优的分割特征及其分割值,我们采用启发式方法(我理解的启发式方法,通俗的说,就是每次拿一个特征,然后取此特征按照一定步长改变该特征的值从小到大去试,然后遍历完所有特征后,取到误差最小的特征及其分割值)。下面先给出公式,然后对这个公式做解释:

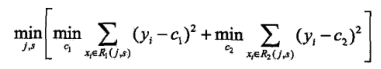
上面的两个公式是对数据集进行预划分,R1和R2分别是划分后的两个数据集,j是选择第j个变量,也就是我们熟悉的第j个特征,s是划分标准,x(j)是每个样本中第j个变量的取值。上面已经将数据预划分成了两个数据集,下面就是要计算这两个数据集的误差:

上式中的中括号里面的表示,在父节点划分标准为第j个变量,划分点为s的情况下,取两个子集小误差,里面是两个最小值的和,分别表示取一个合适的c1和c2,使子集的平方和最小,而这个c1和c2的取值分别是子集yi的平均数。而外层的循环,就是取合适的变量j,以及其合适的划分标准s使划分后的子集误差最小。

所以以上过程是个不断迭代的过程,不断取j和其对应的s值,等取完所有的j和s后,得到误差最小的那个j和s,作为此次的划分依据。

  1. 模型树的生成

其实模型树和回归树生成过程差不多,只不过是叶子结点的损失计算方式不同。从上面的回归树的生成过程可知,构建过程中每个叶子结点的预测值是yi的平均值,然后再用取平方误差的方式。但是模型树构建过程中,不用平均值作为预测值,而是用节点的样本拟合一条直线 ,然后计算 作为预测值,放到回归树的生成过程中,f(xi)就是所有yi的平均值。

具体的直线拟合的公式,可以参考我的另一篇文章《回归》中拟合直线的方式。这里只给出计算公式:

是直线的拟合参数,X是样本数据,y是样本数据对应的结果。

  1. 决策树的剪枝

其实回归树和模型树的剪枝过程和分类树的剪枝过程类似,其损失函数都可以写成以下的表达式:

,和分类树不同的是预测误差的计算方式不同,即C(T)的计算方式不同。 ,这里f(xi)是预测值或者平均数。

 

不过有的书上损失的函数的损失函数的计算方法没有考虑数的复杂程度,也就是没有α|T|项,这个应该是不同的书上有不同的方法,得知道有这么种方法。


http://chatgpt.dhexx.cn/article/VjbiIWjp.shtml

相关文章

模型树——就是回归树的分段常数预测修改为线性回归 对于非线性回归有较好的预测效果...

说完了树回归&#xff0c;再简单的提下模型树&#xff0c;因为树回归每个节点是一些特征和特征值&#xff0c;选取的原则是根据特征方差最小。如果把叶子节点换成分段线性函数&#xff0c;那么就变成了模型树&#xff0c;如&#xff08;图六&#xff09;所示&#xff1a; &…

《机器学习实战》9.3树回归之模型树和项目案例

《机器学习实战》9.3树回归之模型树和项目案例 搜索微信公众号:‘AI-ming3526’或者’计算机视觉这件小事’ 获取更多人工智能、机器学习干货 csdn&#xff1a;https://blog.csdn.net/baidu_31657889/ github&#xff1a;https://github.com/aimi-cn/AILearners 本文出现的所有…

模型树–M5

模型树–M5 模型树推广了回归树的概念&#xff0c;它与回归树的2个重要不同在于&#xff1a; 叶节点上不是常量&#xff0c;而是一个线性函数模型。分割空间的标准不是降低平方误差&#xff0c;而是降低样本标准差。 相比于回归树&#xff0c;模型树的优点在于&#xff1a;回…

机器学习——模型树

和回归树&#xff08;在每个叶节点上使用各自的均值做预测&#xff09;不同&#xff0c;模型树算法需要在每个叶节点上都构建出一个线性模型&#xff0c;这就是把叶节点设定为分段线性函数&#xff0c;这个所谓的分段线性&#xff08;piecewise linear&#xff09;是指模型由多…

深度学习人脸检测与人脸识别

一、概述 1. 基本概念 人脸是个人重要的生物特征&#xff0c;业界很早就对人脸图像处理技术进行了研究。人脸图像处理包括人脸检测、人脸识别、人脸检索等。人脸检测是在输入图像中检测人脸的位置、大小&#xff1b;人脸识别是对人脸图像身份进行确认&#xff0c;人脸识别通常…

各类人脸识别算法的总体分析

一、人脸识别算法之特征脸方法&#xff08;Eigenface&#xff09; 1、原理介绍及数据收集 特征脸方法主要是基于PCA降维实现。 详细介绍和主要思想可以参考 http://blog.csdn.net/u010006643/article/details/46417127 上述博客的人脸数据库打不开了&#xff0c;大家可以去下…

人脸识别算法初次了解

人脸识别算法初次了解 这是转载别人的帖子&#xff0c;觉得好&#xff0c;大家一块学习http://www.cnblogs.com/guoyiqi/archive/2011/07/28/2129300.html 前言 在写此文之前&#xff0c;先扯点东西。我一直在找一个东西&#xff0c;让我思考&#xff0c;让我久久的深陷其…

深扒人脸识别技术,原理、算法深度解析

在深度学习出现后&#xff0c;人脸识别技术才真正有了可用性。这是因为之前的机器学习技术中&#xff0c;难以从图片中取出合适的特征值。轮廓&#xff1f;颜色&#xff1f;眼睛&#xff1f;如此多的面孔&#xff0c;且随着年纪、光线、拍摄角度、气色、表情、化妆、佩饰挂件等…

基于特征脸的人脸识别算法概述

基于特征脸的人脸识别算法概述 —— 才疏学浅, 难免有错误和遗漏, 欢迎补充和勘误. 特征脸识别算法&#xff08;EigenFaceRecognizer&#xff09;是一种在主成分分析&#xff08;PCA&#xff09;中进行人脸辨识的技术。基于特征脸的驾驶人身份识别流程图为&#xff1a; 图1 …

人脸检测与识别

人脸检测&#xff08; Face Detection &#xff09;和人脸识别技术是深度学习的重要应用之一。本章首先会介绍MTCNN算法的原理&#xff0c; 它是基于卷积神经网络的一种高精度的实时人脸检测和对齐技术。接着&#xff0c;还会介绍如何利用深度卷积网络提取人脸特征&#xff0c;…

人脸检测算法综述

其它机器学习、深度学习算法的全面系统讲解可以阅读《机器学习-原理、算法与应用》,清华大学出版社,雷明著,由SIGAI公众号作者倾力打造。 书的购买链接书的勘误,优化,源代码资源导言 人脸检测是目前所有目标检测子方向中被研究的最充分的问题之一,它在安防监控,人证比对…

现在人脸识别最好的算法是哪种?

目前看来&#xff0c;基于深度学习是在人脸识别领域效果比较出色的机器学习方法。 但从学术的角度来讲&#xff0c;“最好”是一个谨慎的词语&#xff0c;深度学习从以往不被认可逐渐成长为机器学习的主流&#xff0c;同样&#xff0c;也难保未来会有其它方法会取代深度学习。 …

经典人脸识别算法(特征脸,FISHERFACE,LBP)

首先&#xff0c;只是基于对算法的主要是想的介绍和理解&#xff0c;对于涉及到的PCA以及直方图比较提到的方法等等可以自己再去深入研究。 其次&#xff0c;只是用作笔记记录。 参考了CSDN博客&#xff1a;https://blog.csdn.net/smartempire/article/details/23377385 htt…

人脸识别算法及系统

首先说下哦 也就给自己当个记事本发了 内容可能也是老生常谈 不喜勿喷 人脸识别的目标 总结两点&#xff0c;第一&#xff0c;认出同一个人&#xff0c;不管你的状态怎么变&#xff0c;都能知道你就是你。第二、区分不同的人&#xff0c;可能这两个人长得很像&#xff0c;或者…

人脸检测:人脸检测算法综述

https://blog.csdn.net/SIGAI_CSDN/article/details/80751476 问题描述 人脸检测的目标是找出图像中所有的人脸对应的位置&#xff0c;算法的输出是人脸外接矩形在图像中的坐标&#xff0c;可能还包括姿态如倾斜角度等信息。下面是一张图像的人脸检测结果&#xff1a; 虽然人…

人脸检测技术——深度学习算法原理

人脸检测技术——深度学习算法原理 人脸检测技术——深度学习算法原理1. 通用目标检测网络1.1 faster-rcnn检测算法的基本原理1.2 faster-rcnn应用于人脸检测 2. 专门应用于人脸检测的卷积神经网络2.1 专门用于人脸检测的卷积神经网络的发展现状2.2 cascadeCNN2.3 MTCNN 3. 人脸…

什么是人脸识别,人脸识别算法大致分为几种?

如果要给人脸识别下个定义&#xff0c;它是利用人的生物特征实现个体区分的一种技术&#xff0c;一般包括图像采集、特征定位、身份的确认和查找三个环节。简单来说&#xff0c;人脸识别就是从图像中提取面部特征关键点&#xff0c;比如骨骼特征、眉毛高度等&#xff0c;通过比…

基于深度学习的人脸识别算法

基于深度学习的人脸识别算法 简介Contrastive LossTriplet LossCenter LossA-Softmax Loss参考文献&#xff1a; 简介 我们经常能从电影中看到各种神奇的人脸识别技术&#xff0c;例如图1。人脸识别技术是基于面部特征信息进行身份识别的一种生物识别技术。该技术在图片/视频中…

人脸检测算法分类

由于上次在Altea申请的License到期了&#xff0c;因为申请还挺麻烦的&#xff0c;而且申请周期太长了&#xff0c;最后主要因为本人的电脑实在太。。。&#xff0c;编译一个SOC-FPGA的程序需要6-10个小时。。。所以现在基本搁置了OpenCL的学习&#xff0c;开始接触机器视觉。各…

人脸识别算法原理过程详解

本文为转载内容&#xff0c;由于找不到源作者链接&#xff0c;故特此说明。 人脸识别各算法详解 最近&#xff0c;由于工作需要&#xff0c;为了找到一款高效的人脸识别算法&#xff0c;对各种人脸识别算法都研究了一番&#xff0c;以下记录的是各算法的理论基础。 一.MTCNN…