算法设计与分析基础(三)
练习题
-
根据下列函数的增长次数按照从低到高的顺序对他们进行排序。

解答:

-

解答:

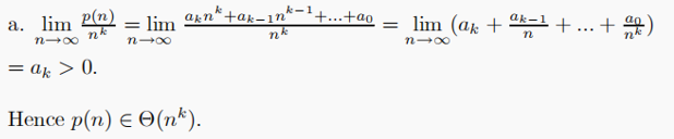
即,该多项式的始终值为ak*n^k,则结论成立。 -
考虑下面的算法:
算法Mystery(m) //输入:非负整数n S←0 for i←1 to n doS←S+i* i return Sa.该算法求的是什么?
求的是1到n的平方和

b.它的基本操作是什么?
基本操作是:乘法 (或者,假定乘法和加法的时间相同,两者中的任何一个)
c.该基本操作执行了多少次?
n次d.该算法的效率类型是什么?

e.试对该算法进行改进,若不行证明。 使用公式:

直接求出结果 -
考虑下列递归算法,该算法用来计算前n个立方和:

算法S(n) //输入:正整数n //输出:前n个立方的和 if n= 1 return 1 else return S(n - 1)+n*n*na. 建立该算法的基本操作执行次数的递推关系并求解。
我们可以通过反向替代来解决:

b.如果这个算法和直接了当的非递归算法比较,你做何评价?
非递归的代码是:
// 输入:一个正整数n // 输出: 前n个立方的和 S←1 fori←2 to n doS←S+i*i*i return s这种算法的乘法次数是:

这与递归操作的基本操作数相同,但非递归版本不携带与递归堆栈相关的时间和空间开销。 -
a.请基于公式2n=2n-1+2n-1设计一个递归算法。当n是任意非负整数时,该算法能够计算2n的值。
算法 Power(n) // 通过公式递归计算 // 输入: 非负整数n // 输出:2^n的值 if n = 0 return 1 else return Power(n-1)+Power(n-1)b.建立该算法所做的加法运算次数的递推关系并求解。

c.为该算法构造一棵递归调用树,然后计算它所做的递归调用的次数。

由图知,一共调用了n次。
d.对于该问题的求解来说,这是一个好方法吗?
这是一个非常糟糕的算法,因为它远不如简单地将累加器乘以2n倍,更不用说我们后来学到的更有效的算法了。













