概率统计:离散分布和连续分布

article/2025/10/14 13:41:02

1. 几种分布分类

(1) 离散分布:
 伯努利分布(零一分布,两点分布),二项分布,几何分布,泊松分布(Poisson分布)

(2) 连续分布:
 指数分布,正态分布(高斯分布),均匀分布

(3) 抽样分布:
 卡方分布(X2分布),F分布,T分布

(4) 其它分布:
 多项分布,Beta分布,Dirichlet分布

2. 基本概念

概率密度函数
概率密度函数是描述某个连续随机变量的值在某个确定值附近的可能性。

累积分布
累积分布是随机变量小于等于某个确定值的所有可能性。

3. 离散分布

3.1 伯努利分布
(1) 应用场景 
只有两种实验结果。

在这里插入图片描述
3.2 二项分布
描述在独立n次实验中成功次数,相当于多次进行伯努利实验。
在这里插入图片描述

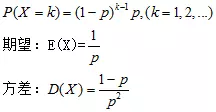
3.3 几何分布
描述伯努利试验中,第一次成功所进行的试验次数。

随机变量X表示第一次成功所进行试验的次数。

在这里插入图片描述

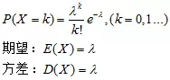
3.4 泊松分布

某一区间内发生随机事件次数的概率分布。

在这里插入图片描述
泊松分布不具有记忆性,比如:

4. 连续分布

4.1 均匀分布
在取值范围内,随机变量出现的概率均一样。
概率密度函数:
在这里插入图片描述

期望和方差:
在这里插入图片描述
在这里插入图片描述

4.2 高斯分布(正态分布)
适用于连续型数据或者数据离散性小,数据基本符合正态分布特点。

概率密度函数,期望和方差:
在这里插入图片描述
正态分布的的普遍性可以中心极限定理得到。几个随机变量(独立同分布)的和形成的分布,服从高斯分布。

4.3 指数分布
两次随机事件发生时间间隔的概率分布。

指数分布可以用泊松分布推导得到:
在这里插入图片描述

λ> 0是分布的一个参数,常被称为率参数(rate parameter),即每单位时间内发生某事件的次数。


最近开通了个公众号,主要分享机器学习原理与数学联系,推荐系统,风控等算法相关的内容,感兴趣的伙伴可以关注下。
在这里插入图片描述
公众号相关的学习资料会上传到QQ群596506387,欢迎关注。


参考:

  1. xieyan0811 简书

http://chatgpt.dhexx.cn/article/QFpZ2Y1r.shtml

相关文章

【概率论】随机试验、随机变量、离散型/连续型随机变量

1. 随机试验 满足以下3个条件的试验可以称为随机试验: 相同条件下可重复试验结果明确可知且不只一个试验前不知道哪个结果会发生 例如:我们平时做的抛硬币、掷骰子试验都是随机试验。以抛硬币试验为例:①该试验可以重复进行多次&#xff1…

连续型随机变量

连续型随机变量:continuous random variables 即在一定区间内变量取值有无限个,或数值无法一一列举出来 如下面的例子 概率密度函数(probability density function, pdf): 在数学理论中,一个连续型随机变量的概率密度…

概率论基础 —— 3.离散型、连续型概率模型,及其概率密度与概率分布函数

在前面的文章里,已经带大伙了解了概率论的概率事件类型,以及针对某些事件的发生概率,以及针对全部场景的某事件的发生概率等基本知识。不过对于统计学专业来说,或者实际应用来说,接触最多的还是离散型和连续型概率&…

概率论的离散型随机变量和连续型随机变量

借鉴大佬的 下面附上网址 https://blog.csdn.net/ckk727/article/details/103435150 随机变量 随机变量是指变量的值无法预先确定仅以一定的可能性(概率)取值的量。 它是由于随机而获得的非确定值,是概率中的一个基本概念。 在经济活动中,随机变量是某…

计量经济学 联合假设检验 F统计量

考虑这样一个问题,现在你拥有1个被解释变量y和4个解释变量,如何判断x3,x4这2个变量是没有必要的? 或者换个说法,你现在有x1,x2这2个解释变量,突然你在寻找数据时,发现了另外2个变量x3&#xff0…

概率的性质——连续性

概率的连续性如下定义: 我们可以用韦恩图把他们表示出来,便于理解: 图1 对应性质(1) 图2 对应性质(2) 从图1中我们可以看出,集合单调不增,打个比方,此集合…

连续and离散系统的描述

系统的描述 系统的分类系统的框图表示系统的特性和分析方法时域离散系统 把最好的分享给大家,大家一起努力! 系统的分类 连续系统与离散系统:输入和输出均为连续时间信号的系统称为连续时间系统;输入和输出均为离散时间信号的系统…

统计学:离散型和连续型随机变量的概率分布

主要随机变量一览表 随机变量概率分布均值方差一般离散型变量 p(x)的表、公式或者图 ∑xxp(x) ∑x(x−μ)2p(x) 二项分布 p(x)Cxnpxqn−x (x0,1,2,3⋅⋅⋅,n) np npq 泊松分布 p(x)λxe−λx! (x0,1,2,⋅⋅⋅) λ λ 超几何分布 p(x)CxrCn−xN−rCnN nrN r(N−r)n(N−n)N2(N−…

随机变量-离散-连续-假设检验方法

一组随机样本数据需要进行分析处理时,往往需要用到假设检验,对于离散变量discrete多用卡方检验,连续变量continuous用t检验或wilcoxon秩序和检验,具体的的使用场景如下 离散变量-卡方检验-适用条件 四格表: 所有的理…

常用的几种API获取ip地理位置的使用方法

最近公司让做一个用户登录、付费的时候记录操作人的地理位置。 搜了很多帖子,一开始用的淘宝的api,但是用了一段时间发现,这个api当获取的次数多了之后,就报404了,导致很多记录没有记录地址,虽然淘宝这个ap…

IP属地信息哪里来的?手把手教你实现通过IP查询属地信息

本文主要讲解IP查询属地信息的实现方法,以及基于Spring Boot实现IP属地信息查询项目。 〇、前言 近日,多个网络公众平台纷纷公开显示用户的IP属地,并且用户无法开启或关闭此功能。 用户的IP信息,平台是怎么知道的? …

php 精准定位到街道,ip地址查询精确到街道_ip查询详细地址带地图

ip地址查询精确的位置方法,我们知道,QQ能够查询到i地址对于的用户的位置,但是有时候因为运营商等原因导致 2.查询非移动网络3G/4G的IP地址;这是因为移动3G/4G网络下所使用的公网IP属于多人共用可以定位到街道级别。 IP定位工具(精准到.下载地址:http://pan.baidu.com/s/1o7…

IP地理位置定位技术原理是什么

IP地理位置定位技术的原理是基于IP地址的网络通信原理和基础上的。它利用IP地址所包含的一些信息,如网络前缀和地址段,以及ISP的IP地址归属地数据库,来推测IP地址所对应的地理位置。 具体来说,IP地址是由32位二进制数字组成的&…

Golang — 根据IP获取地理位置信息

Golang — 根据IP获取地理位置信息 1 介绍1.1 ip2region1.2 geoip2-golang1.3 总结 2 使用2.1 ip2region2.2 geoip2-golang 1 介绍 1 ip2region 2 geoip2-golang 1.1 ip2region ip2region 是一个离线IP地址定位库和IP定位数据管理框架,10微秒级别的查询效率&…

python通过ip获取地理位置等ip信息

作者讲话:本人是一个菜鸟勿喷本文章仅供娱乐。 ps:以后可以线下挑战了,直接顺着网线找到你!哈哈哈 查询IP数据网站 使用结果1 ‘http://freeapi.ipip.net/ip’ 中文网站 使用结果2 ‘http://ip-api.com/json/ip’ 外国网站 实…

如何利用IP地址确定地理位置

近年来,基于IP地址的网络应用层出不穷,主要包括定向广告、社交网络、网络安全、网络服务性能优化、用户位置画像等。 互联网用户的物理位置对于很多不同类型的应用是有不同的用处的。以搜索引擎为首等应用通常会使用用户的位置来自定义对用户请求的响应。…

python根据IP查询地理位置

实现了输入ip地址返回该ip对应的信息。 如图:解释如下: 打开百度,输入ip打开调试界面,点击图中3号位置过滤在图中4号框位置输入想要查询的ip,然后点查询依次点击图中5、6,找到timestamp字段,粘…

教你如何使用ip地址进行高精度定位

IP这个概念大部分人都很熟悉了,这里IP的意思不是个人标签,而是IP地址(英语:Internet Protocol Address)是一种在Internet上的给主机编址的方式,也称为网际协议地址。IP地址是IP协议提供的一种统一的地址格式…

windows访问Ext4磁盘

作者 QQ群:852283276 微信:arm80x86 微信公众号:青儿创客基地 B站:主页 https://space.bilibili.com/208826118 参考 在Windows下读取Ext4分区 推荐一款Windows下读取 Linux文件系统Ext4的最佳软件 Paragon ExtFS api-ms-win-cr…

【Linux】Linux Ext2文件系统

下面以Linux的Ext2为例介绍文件系统的组成。 Ext2采用了分立式目录结构,即一个文件的目录分为目录项和索引节点两个部分。 Ext2的索引节点 在一个实际分立式目录的文件系统中,索引节点(inode)主要需要两部分内容来支持&#xff…