概率论的离散型随机变量和连续型随机变量

article/2025/10/14 14:01:27

借鉴大佬的
下面附上网址
https://blog.csdn.net/ckk727/article/details/103435150

随机变量

随机变量是指变量的值无法预先确定仅以一定的可能性(概率)取值的量。
它是由于随机而获得的非确定值,是概率中的一个基本概念。
在经济活动中,随机变量是某一事件在相同的条件下可能发生也可能不发生的事件。
例如某一时间内公共汽车站等车乘客人数,电话交换台在一定时间内收到的呼叫次数等等,
都是随机变量的实例。

离散型随机变量

定义
在这里插入图片描述
分布函数性质
在这里插入图片描述

个人觉得十分棒的图(思路很清晰)
在这里插入图片描述

在这里插入图片描述

离散型随机变量的常用分布
(1)0-1分布
(2)二项分布
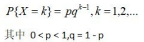
(3)几何分布
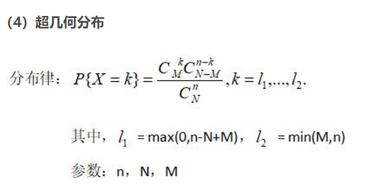
(4)超几何分布
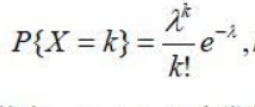
(5)泊松分布

连续型随机变量的常用分布
(1)均匀分布
(2)指数分布
(3)正态分布

详解

在这里插入图片描述
核心
在这里插入图片描述
在这里插入图片描述
核心
在这里插入图片描述

在这里插入图片描述
核心(跟0-1分布差不多)
在这里插入图片描述

在这里插入图片描述
核心

在这里插入图片描述

在这里插入图片描述
核心
在这里插入图片描述

连续型随机变量的常用分布

在这里插入图片描述

在这里插入图片描述

在这里插入图片描述

补充
借鉴大佬
下面附上网址
https://blog.csdn.net/wangqingbang/article/details/91869130
在这里插入图片描述
在这里插入图片描述
讲的可详细了

我在这里补充一下
这是解题思路
在这里插入图片描述
x的值域,通过x的值域去求y的值域
在这里插入图片描述
在这里插入图片描述

调换顺序然后求导
在这里插入图片描述
在这里插入图片描述
他俩相等(我当时自己迷半天)
在这里插入图片描述在这里插入图片描述
最后用这个公式就好
在这里插入图片描述

在这里插入图片描述

例子
在这里插入图片描述

在这里插入图片描述

在这里插入图片描述

在这里插入图片描述

对称性
在这里插入图片描述
理解:注意,σ 越小,则曲线越陡

在这里插入图片描述

在这里插入图片描述


http://chatgpt.dhexx.cn/article/WkZYSurk.shtml

相关文章

计量经济学 联合假设检验 F统计量

考虑这样一个问题,现在你拥有1个被解释变量y和4个解释变量,如何判断x3,x4这2个变量是没有必要的? 或者换个说法,你现在有x1,x2这2个解释变量,突然你在寻找数据时,发现了另外2个变量x3&#xff0…

概率的性质——连续性

概率的连续性如下定义: 我们可以用韦恩图把他们表示出来,便于理解: 图1 对应性质(1) 图2 对应性质(2) 从图1中我们可以看出,集合单调不增,打个比方,此集合…

连续and离散系统的描述

系统的描述 系统的分类系统的框图表示系统的特性和分析方法时域离散系统 把最好的分享给大家,大家一起努力! 系统的分类 连续系统与离散系统:输入和输出均为连续时间信号的系统称为连续时间系统;输入和输出均为离散时间信号的系统…

统计学:离散型和连续型随机变量的概率分布

主要随机变量一览表 随机变量概率分布均值方差一般离散型变量 p(x)的表、公式或者图 ∑xxp(x) ∑x(x−μ)2p(x) 二项分布 p(x)Cxnpxqn−x (x0,1,2,3⋅⋅⋅,n) np npq 泊松分布 p(x)λxe−λx! (x0,1,2,⋅⋅⋅) λ λ 超几何分布 p(x)CxrCn−xN−rCnN nrN r(N−r)n(N−n)N2(N−…

随机变量-离散-连续-假设检验方法

一组随机样本数据需要进行分析处理时,往往需要用到假设检验,对于离散变量discrete多用卡方检验,连续变量continuous用t检验或wilcoxon秩序和检验,具体的的使用场景如下 离散变量-卡方检验-适用条件 四格表: 所有的理…

常用的几种API获取ip地理位置的使用方法

最近公司让做一个用户登录、付费的时候记录操作人的地理位置。 搜了很多帖子,一开始用的淘宝的api,但是用了一段时间发现,这个api当获取的次数多了之后,就报404了,导致很多记录没有记录地址,虽然淘宝这个ap…

IP属地信息哪里来的?手把手教你实现通过IP查询属地信息

本文主要讲解IP查询属地信息的实现方法,以及基于Spring Boot实现IP属地信息查询项目。 〇、前言 近日,多个网络公众平台纷纷公开显示用户的IP属地,并且用户无法开启或关闭此功能。 用户的IP信息,平台是怎么知道的? …

php 精准定位到街道,ip地址查询精确到街道_ip查询详细地址带地图

ip地址查询精确的位置方法,我们知道,QQ能够查询到i地址对于的用户的位置,但是有时候因为运营商等原因导致 2.查询非移动网络3G/4G的IP地址;这是因为移动3G/4G网络下所使用的公网IP属于多人共用可以定位到街道级别。 IP定位工具(精准到.下载地址:http://pan.baidu.com/s/1o7…

IP地理位置定位技术原理是什么

IP地理位置定位技术的原理是基于IP地址的网络通信原理和基础上的。它利用IP地址所包含的一些信息,如网络前缀和地址段,以及ISP的IP地址归属地数据库,来推测IP地址所对应的地理位置。 具体来说,IP地址是由32位二进制数字组成的&…

Golang — 根据IP获取地理位置信息

Golang — 根据IP获取地理位置信息 1 介绍1.1 ip2region1.2 geoip2-golang1.3 总结 2 使用2.1 ip2region2.2 geoip2-golang 1 介绍 1 ip2region 2 geoip2-golang 1.1 ip2region ip2region 是一个离线IP地址定位库和IP定位数据管理框架,10微秒级别的查询效率&…

python通过ip获取地理位置等ip信息

作者讲话:本人是一个菜鸟勿喷本文章仅供娱乐。 ps:以后可以线下挑战了,直接顺着网线找到你!哈哈哈 查询IP数据网站 使用结果1 ‘http://freeapi.ipip.net/ip’ 中文网站 使用结果2 ‘http://ip-api.com/json/ip’ 外国网站 实…

如何利用IP地址确定地理位置

近年来,基于IP地址的网络应用层出不穷,主要包括定向广告、社交网络、网络安全、网络服务性能优化、用户位置画像等。 互联网用户的物理位置对于很多不同类型的应用是有不同的用处的。以搜索引擎为首等应用通常会使用用户的位置来自定义对用户请求的响应。…

python根据IP查询地理位置

实现了输入ip地址返回该ip对应的信息。 如图:解释如下: 打开百度,输入ip打开调试界面,点击图中3号位置过滤在图中4号框位置输入想要查询的ip,然后点查询依次点击图中5、6,找到timestamp字段,粘…

教你如何使用ip地址进行高精度定位

IP这个概念大部分人都很熟悉了,这里IP的意思不是个人标签,而是IP地址(英语:Internet Protocol Address)是一种在Internet上的给主机编址的方式,也称为网际协议地址。IP地址是IP协议提供的一种统一的地址格式…

windows访问Ext4磁盘

作者 QQ群:852283276 微信:arm80x86 微信公众号:青儿创客基地 B站:主页 https://space.bilibili.com/208826118 参考 在Windows下读取Ext4分区 推荐一款Windows下读取 Linux文件系统Ext4的最佳软件 Paragon ExtFS api-ms-win-cr…

【Linux】Linux Ext2文件系统

下面以Linux的Ext2为例介绍文件系统的组成。 Ext2采用了分立式目录结构,即一个文件的目录分为目录项和索引节点两个部分。 Ext2的索引节点 在一个实际分立式目录的文件系统中,索引节点(inode)主要需要两部分内容来支持&#xff…

EXT2文件系统实现原理

目录 一 EXT2文件系统结构概览 2 1.1 EXT2文件系统结构框图 2 1.2 EXT2重要数据结构 3 二 块缓存 6 三 EXT2文件系统挂载 7 3.1 注册ext2文件系统类型 7 3.2 ext2文件系统挂载 7 3.3文件系统操作 9 EXT2文件系统结构概览 1.1 EXT2文…

模拟实现EXT2文件系统

设计EXT2文件系统 实验目的 (1)掌握文件系统的工作原理 (2)理解文件系统的主要数据结构 (3)学习较为复杂的 Linux 下的编程 (4)了解 EXT2 文件系统的结构 实验内容 设计并实现…

WIN10访问linux分区「ext2fsd」

尝试ext2explore、Paragon ExtFS都不好用,强烈安利ext2fsd,可读写,很强大 转自:https://blog.csdn.net/cruise_h/article/details/12894135 ext2fsd是国人发起的项目,主页 http://www.ext2fsd.com/ 下载:h…

windos读写ext3工具_“ ext2fsd” Windows系统工具,用于读写ext2 / 3/4文件系统

在过去的几天里,我使用定制版本的Bridge Linux来扔Arch Linux. 修改lxdm主题时,我无意间无法进入系统,也无法切换命令行模式,因此我不得不找出Windows系统中是否存在可以读写ext4文件系统的工具. 以前尝试过ext2explore&#xff0…