看了一些anchor graph和bipartite graph 的文章始终不知道他们的区别在哪里。今天总结一下这类文章。
1.能看到最早的这类关于多视图学习的文章
Large-Scale Multi-View Spectral Clustering via Bipartite Graph(AAAI-2015)
目标:we address the problem of large-scale multi-view spectral clustering.
anchor点选取方法:The salient points can be chosen by random sampling from raw data points or using lightweight clustering methods such as k-means. We find that the salient points generated by k-means have stronger representation power compared to sampling ones.
多视图的anchor的构造方法:we generate salient points on concatenated all the features and then separate resulting points into different views.
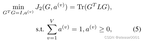
文中选取了最简单的graph的构造方法:


目标函数为:

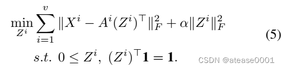
2.Large-scale Multi-view Subspace Clustering in Linear Time(2019)
利用kmeans 计算的聚类中心作为anchor,来计算anchor graph

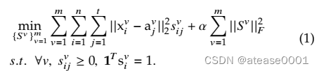
3. Bipartite Graph based Multi-view Clustering(2020TKDE)
原始的bipartite构造方式如下:

整体的目标函数如下:


目标函数总体可分为两部分:(1)S的自适应学习;(2)最小化S^v和整体的anchor graph之间的差距。
4.Multi-view Clustering: A Scalable and Parameter-free Bipartite Graph Fusion Method。(2020PAMI)

利用各个视图的anchor graph 学习一个最优的graph
5.Learning an Optimal Bipartite Graph for Subspace Clustering via Constrained Laplacian Rank(2021TIP)

利用原始数据自适应学习一个anchor graph
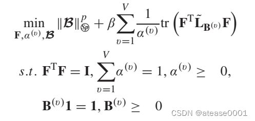
6.Unsupervised Optimized Bipartite Graph Embedding(2021TKED)
与上面的区别是加了一个projection。目标函数如下:

7.Fast Unsupervised Feature Selection With Bipartite Graph and l2;0-Norm Constraint(2022TKED)
目标函数如下:

目标函数与7类似。(7)用来做projection,(8)用来做特征选择。graph 限制项不同,一个是二范数,一个是熵。
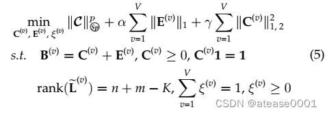
8.Tensorized Bipartite Graph Learning for Multi-view Clustering(2022PAMI)

与文章(5)目标一致,用来学习好的anchor graph 。(5)学习一个好的graph,(9)利用张量限制学习得到的anchor graph低秩。
9.Multiview Spectral Clustering With Bipartite Graph(2022TIP)

一边进行聚类,一边学习anchor graph。
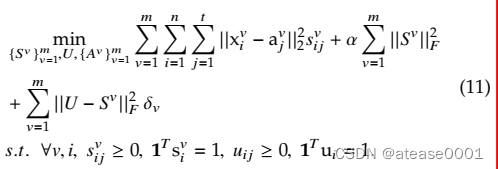
10.Efficient and Robust MultiView Clustering With Anchor Graph Regularization(2022TKDE)

第一部分是anchor分解,第二部分是利用anchor graph 构造的graph正则。
这种正则方法利用anchor graph构造graph,再利用图正则进行正则。直接利用anchor进行正则效果怎样?
总结:
1. 本质上来讲anchor graph与graph区别不大。anchor 用来选取代表性的点,然后保持数据与anchor之间的关系。
2. 凡是过去用来做graph学习方法和正则的方法都是可以在anchor graph上适用???
3. 过去利用graph正则的任务是不是也可以用anchor graph正则???
未完待续
















