等式与不等式约束的序列二次规划(SQP)

article/2025/10/6 23:53:37

最后介绍同时有等式约束和不等式约束的SQP解法。这里面的解法比之前的稍微复杂一点,用到了line search method以及BFGS下降。使用line search是为了增加搜索的鲁棒性,确保在任意的初始点都可以最后收敛到局部最优或者全局最优点。使用BFGS的作用是简化hessian的计算量。
解如下问题:
在这里插入图片描述
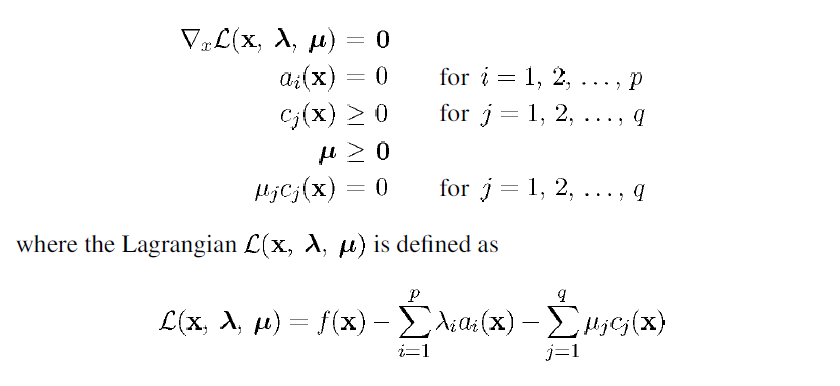
跟之前一样,这个问题的kkt条件为:
在这里插入图片描述
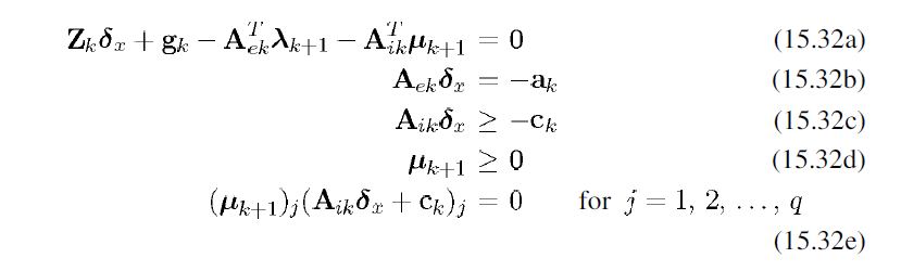
依旧是要找到x,lamda, mu的增量,是的下一步的位置能够逼近kkt条件。以上的KKT条件离散化后改写为:
在这里插入图片描述
在这里插入图片描述
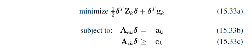
这个KKT条件的源问题就是如下的QP问题:
在这里插入图片描述
去求解QP问题获得:
在这里插入图片描述
接下来更新x与之前有所区别:
在这里插入图片描述
这里的alpha确定的办法可以选择一种line search method获得。得到x_k+1后,Z_k+1使用BFGS获得:
z的初始值设为identity。
在这里插入图片描述
在这里插入图片描述
这个算法流程如下:
在这里插入图片描述
在这里插入图片描述


http://chatgpt.dhexx.cn/article/NsxbObJI.shtml

相关文章

SQP21-19-10-1CC-18高压定量叶片泵

子母叶片,降低了叶片对定子的高压冲击,在高压和高速转速下,性能更稳定,寿命更长。 泵芯高强度,高精度泵体,12叶片,流量脉动更小,噪音更低。 排量齐全,插装式结构的泵芯…

第一讲_SQP添加与查询语句

添加语句&#xff1a; insert into <表名>(字段列表) values(对应的记录) 查询语句&#xff1a; select *|<字段列表> from <表名> whele (条件) 样例&#xff1a; 在这之前&#xff0c;要先安装客户端与服务器端。 先建立好这样的数据表 然后添加 接着是查…

基于Lagrange-Newton法的SQP局部算法python实现

序列二次规划&#xff08;SQP&#xff09;是解决约束优化问题中较好的一种算法&#xff0c;其流程为 在实现算法的过程中&#xff0c;使用了scipy.optimize模块&#xff1a; scipy.optimize.minimize(fun, x0, args(), methodNone, jacNone, hessNone, hesspNone, boundsNo…

数值优化学习十八——SQP

求解QCQP问题可转化为SQP&#xff1a; 首先理解泰勒展开&#xff1a; 在函数为标量和矢量的情况下分别作出二阶和一阶展开&#xff0c;这里泰勒公式是解QCQP问题的基础 对于标准QCQP: 把目标函数视为一个整体&#xff0c;找到一个dx&#xff0c;使XXkdx的目标函数值缩小&#x…

约束最优化求解-拉格朗日函数Hesse阵的SQP二次规划方法求解约束最优化问题-梯度法求解无约束最优化问题

约束最优化求解-拉格朗日函数Hesse阵的SQP二次规划方法求解约束最优化问题-梯度法求解无约束最优化问题。 源于读研时最优化课程的大作业&#xff0c;具体内容请看图片。 提供MATLAB源代码、大作业文档、程序参考的高清带书签PDF教材&#xff0c;参考教材对所用算法有详细讲解。…

等式约束的序列二次规划(SQP)

我们还是以陆吾生的Practical optimization algorithms and engineering applications第15章作为模板进行整理&#xff0c;讲的是真的清楚&#xff0c;对其中比较简洁的推导部分我手写了一部分方便初学者理解。 这一节先介绍只有等式约束的SQP问题的解法。形如下式&#xff1a…

参考线平滑-FemPosDeviation-SQP

FemPosDeviation参考线平滑方法是离散点平滑方法&#xff0c;Fem是Finite element estimate的意思。 1. 优化目标 1.1 平滑性 参考线平滑的首要目标当然是平滑性&#xff0c;使用向量的模 ∣ P 2 P 2 ′ ⃗ ∣ | \vec{P_2 P^{\prime}_2}| ∣P2​P2′​ ​∣来表示&#xff0c…

流媒体学习之路——Google的新拥塞算法SQP详解

流媒体学习之路——Google的新拥塞算法SQP详解 —— 我正在的github给大家开发一个用于做实验的项目 —— github.com/qw225967/Bifrost目标&#xff1a;可以让大家熟悉各类Qos能力、带宽估计能力&#xff0c;提供每个环节关键参数调节接口并实现一个json全配置&#xff0c;提…

SQP优化方法

转 SQP优化方法 转载自&#xff1a;http://blog.sina.com.cn/s/blog_6541e59a0101mz7z.html 时空优化方法SQP的学习与研究&#xff0c;该方法可以将一些约束添加到某些变量中&#xff0c;如果初始值不满足约束&#xff0c;那么优化算法迭代后&#xff0c;同样可以生成满足约束…

【最优化】序列(逐步)二次规划法(SQP)

序列&#xff08;逐步&#xff09;二次规划法&#xff08;SQP&#xff09; 一种直接有效求解非线性约束问题的方法是基于问题中的函数 f ( x ) f(x) f(x) 和 c i ( x ) c_i(x) ci​(x) 的某种近似迭代法&#xff0c;尤其是利用约束函数 c i ( x ) c_i(x) ci​(x) 的线性近似…

SQP 序列二次规划法

本周工作主要是对时空优化方法SQP的学习与研究&#xff0c;该方法可以将一些约束添加到某些变量中&#xff0c;如果初始值不满足约束&#xff0c;那么优化算法迭代后&#xff0c;同样可以生成满足约束的新的值。在移除自相交自适应过程中的尝试使用的一个最优化方法。 1.1 算…

OAuth2时序图

1.背景 由于要用到oauth2的相关知识&#xff0c;在网络上暂时没有搜到较为满意的时序图&#xff0c;因此做了一个简单的整理。希望能够帮助到需要的朋友。该时序图根据阮一峰老师的网络日志画的&#xff0c;如果有理解有误的地方&#xff0c;欢迎指正。 阮一峰老师的关于oauth2…

visual paradigm 时序图实用技巧

绘图结束后, 自动调整多余线长 绘图结束后 , 自动调整 activity bar - 调账后效果 指定处断开 activity bar

java时序图工具_快速学习时序图:时序图简介、画法及实例

点击上方☝Java编程技术乐园,轻松关注!及时获取有趣有料的技术文章 做一个积极的人 编码、改bug、提升自己 我有一个乐园,面向编程,春暖花开! 一、 什么是时序图? 时序图(Sequence Diagram),亦称为序列图、循序图或顺序图,是一种UML交互图。它通过描述对象之间发送消息…

tableau画时序图

tableau画图时直接拖拽时间到列&#xff0c;度量到行&#xff0c;度量总是变成按时间粒度的“总和”&#xff0c;”平均“这种形式&#xff0c;但我只想要把其中的每个数据点按时间顺序画出&#xff0c;不要做统计。 只要把时间的粒度改成”精确日期“就OK。

StarUML——时序图总结

序列图主要用于展示对象之间交互的顺序。 序列图将交互关系表示为一个二维图。纵向是时间轴&#xff0c;时间沿竖线向下延伸。横向轴代表了在协作中各独立对象的类元角色。类元角色用生命线表示。当对象存在时&#xff0c;角色用一条虚线表示&#xff0c;当对象的过程处于激活…

用代码画时序图!YYDS

前言 最近通过代码来画时序图&#xff0c;UML用例图&#xff0c;感觉很不错&#xff0c;所以给大家分享一下。 日常开发&#xff0c;一般在设计阶段&#xff0c;我们都需要画时序图、用例图等等。大家平时画图的时候&#xff0c;是用draw.io还是processOn呢&#xff1f;用它们画…

怎么用c语言写时序图,plc时序图怎么画_plc时序图编程方法

时序图是描述设备工作过程的时间次序图,也是用于直观分析设备工作过程的一种图形。如电子技术中的触发器、定时器、计数器等均用时序图来描述其工作原理。在plc顺序控制设计法编制梯形图程序时往往是先画出时序图,再根据时序图设计流程图,再按流程图编制梯形图程序。 一、pl…

画出属于你的最漂亮的数字时序图—WaveDrom

摘要&#xff1a;WaveDrom是一个免费开源的在线数字时序图渲染引擎。它可以使用JavaScript, HTML5和SVG来将时序图的WaveJSON描述转成SVG矢量图形&#xff0c;从而进行显示。WaveDrom可以嵌入到任何网页中。WaveDrom编辑器可在浏览器中运行&#xff0c;也可以安装在系统上&…

EA画时序图

1.步骤&#xff1a; 1. 新建一个项目&#xff1b; 2. Use Case Model右键-->添加图-->左边选择UML Behavioral&#xff0c;右边选择Sequence&#xff1b; 3. 选择工具栏中的工具&#xff0c;点击工具箱&#xff1b; 4. 拖放控件&#xff0c;常用的是Actor&#xff0c…