等式约束的序列二次规划(SQP)

article/2025/10/7 1:01:58

我们还是以陆吾生的Practical optimization algorithms and engineering applications第15章作为模板进行整理,讲的是真的清楚,对其中比较简洁的推导部分我手写了一部分方便初学者理解。

这一节先介绍只有等式约束的SQP问题的解法。形如下式:
在这里插入图片描述

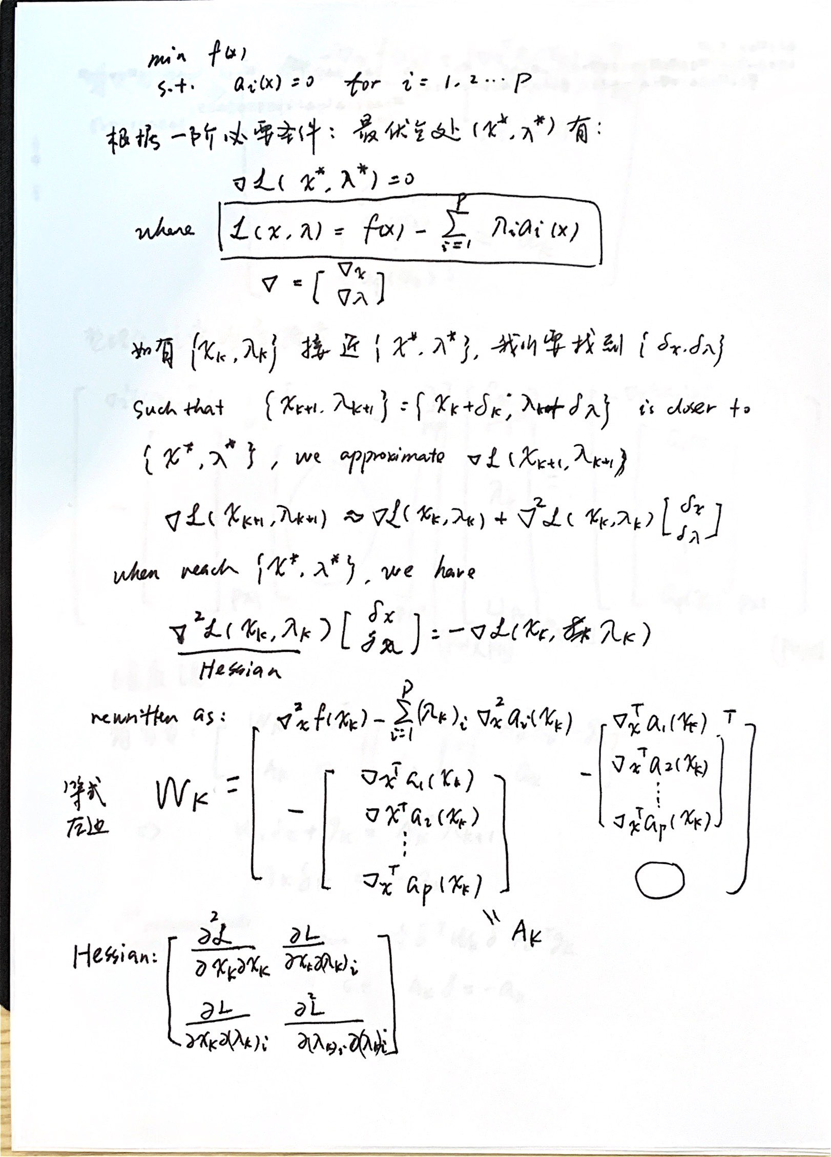
根据一阶必要条件,我们知道在取得最优点的时候,拉格朗日函数取得0。
在这里插入图片描述
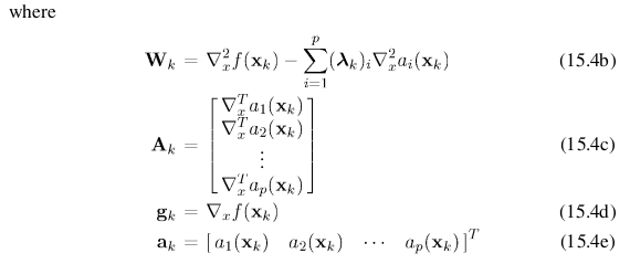
假设我们在K步获得的x和lamda接近最优解,那么下一个k+1布需要做的就是找到delta x, delta lamda使得新的x, lamda更加接近最优解,所以我们将拉格朗日梯度进行泰勒展开,并且我们还有在最有点的时候,泰勒展开的等式右侧是等于0的:
在这里插入图片描述
二阶项其实就是拉格朗日的hessian,所以改写为:
在这里插入图片描述
在这里插入图片描述
这部分的推导我在附件详细写了以下,不知道怎么推导可以看看。
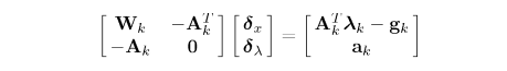
然后上面的矩阵形式可以写为:
在这里插入图片描述
他其实是下式的一阶必要条件:
在这里插入图片描述
现在问题就变成解这个二次规划问题了。
很容易可以解得delta, 然后在计算出lamda:
在这里插入图片描述
有了新的delta, lamda继续循环求解。
在这里插入图片描述
算法如图。

附件:
在这里插入图片描述
在这里插入图片描述
在这里插入图片描述


http://chatgpt.dhexx.cn/article/hPsXoUKP.shtml

相关文章

参考线平滑-FemPosDeviation-SQP

FemPosDeviation参考线平滑方法是离散点平滑方法,Fem是Finite element estimate的意思。 1. 优化目标 1.1 平滑性 参考线平滑的首要目标当然是平滑性,使用向量的模 ∣ P 2 P 2 ′ ⃗ ∣ | \vec{P_2 P^{\prime}_2}| ∣P2​P2′​ ​∣来表示&#xff0c…

流媒体学习之路——Google的新拥塞算法SQP详解

流媒体学习之路——Google的新拥塞算法SQP详解 —— 我正在的github给大家开发一个用于做实验的项目 —— github.com/qw225967/Bifrost目标:可以让大家熟悉各类Qos能力、带宽估计能力,提供每个环节关键参数调节接口并实现一个json全配置,提…

SQP优化方法

转 SQP优化方法 转载自:http://blog.sina.com.cn/s/blog_6541e59a0101mz7z.html 时空优化方法SQP的学习与研究,该方法可以将一些约束添加到某些变量中,如果初始值不满足约束,那么优化算法迭代后,同样可以生成满足约束…

【最优化】序列(逐步)二次规划法(SQP)

序列(逐步)二次规划法(SQP) 一种直接有效求解非线性约束问题的方法是基于问题中的函数 f ( x ) f(x) f(x) 和 c i ( x ) c_i(x) ci​(x) 的某种近似迭代法,尤其是利用约束函数 c i ( x ) c_i(x) ci​(x) 的线性近似…

SQP 序列二次规划法

本周工作主要是对时空优化方法SQP的学习与研究,该方法可以将一些约束添加到某些变量中,如果初始值不满足约束,那么优化算法迭代后,同样可以生成满足约束的新的值。在移除自相交自适应过程中的尝试使用的一个最优化方法。 1.1 算…

OAuth2时序图

1.背景 由于要用到oauth2的相关知识,在网络上暂时没有搜到较为满意的时序图,因此做了一个简单的整理。希望能够帮助到需要的朋友。该时序图根据阮一峰老师的网络日志画的,如果有理解有误的地方,欢迎指正。 阮一峰老师的关于oauth2…

visual paradigm 时序图实用技巧

绘图结束后, 自动调整多余线长 绘图结束后 , 自动调整 activity bar - 调账后效果 指定处断开 activity bar

java时序图工具_快速学习时序图:时序图简介、画法及实例

点击上方☝Java编程技术乐园,轻松关注!及时获取有趣有料的技术文章 做一个积极的人 编码、改bug、提升自己 我有一个乐园,面向编程,春暖花开! 一、 什么是时序图? 时序图(Sequence Diagram),亦称为序列图、循序图或顺序图,是一种UML交互图。它通过描述对象之间发送消息…

tableau画时序图

tableau画图时直接拖拽时间到列,度量到行,度量总是变成按时间粒度的“总和”,”平均“这种形式,但我只想要把其中的每个数据点按时间顺序画出,不要做统计。 只要把时间的粒度改成”精确日期“就OK。

StarUML——时序图总结

序列图主要用于展示对象之间交互的顺序。 序列图将交互关系表示为一个二维图。纵向是时间轴,时间沿竖线向下延伸。横向轴代表了在协作中各独立对象的类元角色。类元角色用生命线表示。当对象存在时,角色用一条虚线表示,当对象的过程处于激活…

用代码画时序图!YYDS

前言 最近通过代码来画时序图,UML用例图,感觉很不错,所以给大家分享一下。 日常开发,一般在设计阶段,我们都需要画时序图、用例图等等。大家平时画图的时候,是用draw.io还是processOn呢?用它们画…

怎么用c语言写时序图,plc时序图怎么画_plc时序图编程方法

时序图是描述设备工作过程的时间次序图,也是用于直观分析设备工作过程的一种图形。如电子技术中的触发器、定时器、计数器等均用时序图来描述其工作原理。在plc顺序控制设计法编制梯形图程序时往往是先画出时序图,再根据时序图设计流程图,再按流程图编制梯形图程序。 一、pl…

画出属于你的最漂亮的数字时序图—WaveDrom

摘要:WaveDrom是一个免费开源的在线数字时序图渲染引擎。它可以使用JavaScript, HTML5和SVG来将时序图的WaveJSON描述转成SVG矢量图形,从而进行显示。WaveDrom可以嵌入到任何网页中。WaveDrom编辑器可在浏览器中运行,也可以安装在系统上&…

EA画时序图

1.步骤: 1. 新建一个项目; 2. Use Case Model右键-->添加图-->左边选择UML Behavioral,右边选择Sequence; 3. 选择工具栏中的工具,点击工具箱; 4. 拖放控件,常用的是Actor&#xff0c…

StarUML画时序图

1、先启动StarUML 左键点击左边工具栏中的工具,到右边空白处也左键单击即可画出相应图形,并且可以为图形命名

PowerDesigner16 画时序图教程

———————————————— 版权声明:本文为CSDN博主「猪脚踏浪」的原创文章,遵循 CC 4.0 BY-SA 版权协议,转载请附上原文出处链接及本声明。 原文链接:https://blog.csdn.net/zsg88/article/details/78185049 文章转载于上…

时序图笔记

时序图(Sequence Diagram),又名序列图、循序图,是一种UML交互图 我们在画时序图时会涉及下面7种元素: 角色(Actor) 系统角色,可以是人或者其他系统和子系统。以一个小人图标表示。对象(Object) 对象位于时序图的顶部,以一个矩形…

时序图学习

时序图 时序图是很值的学习的,在梳理逻辑或者向领导汇报的时候很有用。我觉得以下两个时序图具有学习意义,一个是简洁版的,一个是复杂版的。各位可以参照这两个图来画自己公司的时序图。 微信登录时序图 微信支付时序图 参考: h…

【图形设计】手把手教你如何画好时序图

编辑导语:时序图可以有效地描述交互顺序,并帮助研发团队更清晰地理顺系统逻辑,做好流程分析,若利用得当,则可以一定程度上降低沟通成本,更快速地推进业务进行。本篇文章里,作者就时序图的构成与…

架构师必备:时序图说明及画法

用途 时序图(Sequence Diagram),又名序列图、循序图,是一种UML交互图。它通过描述对象之间发送消息的时间顺序显示多个对象之间的动态协作。它可以表示用例的行为顺序,当执行一个用例行为时,其中的…