设计高通滤波器 HP

article/2025/10/23 14:54:43

高通和低通类似,本篇文章用到的a、b参数,我在低通中有给出那个图

如果大家要设计高通滤波器,大家可以和低通滤波器一起考虑~~~~

————————————————————————————————

example1:

{

in there we can see:

R=1/C

}

finally

example2:

 

add example1,we can find

C1n=(a+sqrt(a*a+8*(k-1)*b))/4*b;if k==1;2a/4b=a/2b;

C2n=1/(b*C1n);if k==1;2/a;

finally

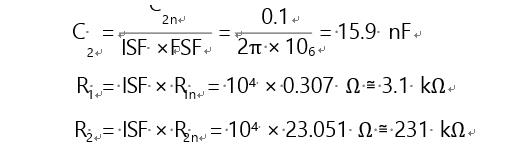
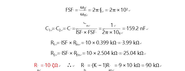
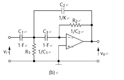
MultiFeedback Filters

****

计算与Sally-key相比一样

先算低通

再算高通C=1/R;R=1/C;

****

example

 

***

R2=K*R1

 

finally

****6阶高通*****

 

finally

 

 

 

 

 

 

 

 

 

 

 

 

 

 

 

 

 

 

 

 

 

 

 

 

 

 

 

 

 


http://chatgpt.dhexx.cn/article/KxsYYr30.shtml

相关文章

二阶高通有源滤波器设计与仿真测试

二阶高通有源滤波器设计与仿真测试 1.压控电压源法二阶高通有源滤波器设计与仿真测试(1)电路结构(2)设计步骤(3)设计举例(4)仿真测试 2.无限增益多路反馈型二阶高通有源滤波器的设计…

信号处理系统综合设计-最小阶数的IIR数字高通滤波器

微信公众号:创享日记 发送:最小阶 获取完整报告(含源代码程序结果分析) 设计一个最小阶数的IIR数字高通滤波器,指标要求如下: 以小于1dB的衰减通过150Hz的分量;以至少40dB抑制100Hz的分量&…

一维序列数据处理:FIR高通滤波器设计

1. 加窗法设计滤波器 为什么要加窗设计滤波器?因为为了降低DFT的频率泄露。那什么是DFT频率泄露以及为什么加窗设计就可以降低DFT的频率泄露?解释这个之前,我们先介绍一下DFT(离散傅里叶变换)和三角函数的正交性知识&…

悬置线高通滤波器设计

从大学到工作,初次接触过的人都觉得我很啰嗦,我很想简洁明了表达,我也读了很多高效表达方法论的书,刻意练习还是发现效果不佳。后来自我反省,发现啰嗦也有可爱的一面,出发点是自己的真诚,我想把…

【Matlab】如何使用Filter Design设计低通、高通、带阻滤波器

如何使用Filter Design设计低通、高通、带阻数字滤波器。 文章目录 前言 一、低通滤波器 二、高通滤波器 三、带阻滤波器 前言 使用Matlab自带的Filter Design APP可以方便、快捷地设计各种FIR/IIR数字滤波器,并且能输出数字滤波器的阶数、幅度响应、相位响应等…

基于汉宁窗的FIR高通滤波器设计

摘 要 本次课程设计是采用MATLAB进行设计基于汉宁窗的FIR高通滤波器音频去噪,在设计过程中,首先录制一段不少于5秒的音频音乐,作为输入信号,并对录制的信号进行采样;其次使用MATLAB会出采样后的语音信号的时域波形和频…

数字滤波器之高通滤波器设计

要求:设计一款高通滤波器,用在音频信号处理过程中,滤掉100Hz以下的信号。 实现方法:通过在Z平面放置零极点的来设计数字滤波器。 设计要点:单位圆上对应于需要加强频率的点附近放置极点,即wπ处附近落极点…

PCB布线及后仿真验证过程(干货满满,建议收藏)

一、布线的基本要求 布线次序考虑 1) 规则驱动布线遵循的基本步骤 定义禁布区,或控制区若有规则约束,要求设置规则试布线,评估单板是否可以布通,若不能布通,需要采用策略Fanout后对覆盖率检查,通常要求满…

PCB布线原则总结

1、环路最小规则------信号线与其回来构成的环路面积极可能小 2、短线规则------布线长度应尽可能短,振荡器应放在离器件很近的位置 3、开环检查规则----- 一般情况下不允许出现一端悬空的布线 4、闭环检查规则------防止信号在不同层间形成闭环 5、20H规则------防…

Altium_Designer PCB布线不受控制

我这里是单位问题: 之前左下角网格Grid设置为 mm,所以我在指定布线规则的时候,系统也是按照 mm 来的 解决方法: 英文输入的情况下,按 快捷键 Q 切换网格单位为 mil 就可以了

pcb布线注意点:晶振

EMC全称Electro Magnetic Compatibility,指设备或系统在其电磁环境中能正常工作,且不对该环境中任何事物构成不能承受的电磁骚扰的能力。EMC是评价电子产品质量的一个重要指标。 从广义上讲,EMC测试的具体项目包括以下两个大项: &#xff0…

PCB原理图绘制(6)——原理图的修改、导出与PCB布线前准

目录 一、端口名称的批量生成 二、元器件的自动编号 三、原理图器件的PCB导入 四、底板大小的设置 五、布线规则的修改 六、报错的解决 一、端口名称的批量生成 在原理图端口标注中,有时会遇到很多有规律的端口(如PA0~PA7),这…

AD 画PCB 布线时,连线就变绿

原因:把PCB界面缩小,如果发现了一个红色的阴影矩形块,那么把它删除。 红色的矩形块成为ROOM,在原理图导入PCB的时候会出现是否需要勾选的选项,默认是勾选的,新手一般都是默认,然后把红色的框删…

PCB布线规则大全

PCB布线规则图解及PCB布线参考因素解析 PCB布线应遵循的基本规则 一、控制走线方向输入和输出端的导线应尽量避免相邻平行。在 PCB 布线时,相邻层的走线方向成正交结构,避免将不同的信号线在相邻层走成同一方向,以减少不必要的层间窜扰。当 …

【PCB布线】不同电流所需PCB线宽

导线所能通过的电流与其粗细存在正相关关系&#xff1b;导线越粗&#xff0c;流过的电流越大。 PCB线宽单位换算&#xff1a;10mil 0.254mm 若要在PCB上过大电流&#xff08;以过100A为例&#xff0c;<100A可作为参考&#xff09;&#xff0c;有3种方法&#xff1a; 1.PC…

【PCB硬件】PCB布线规范技巧

PCB布线规范技巧 1、在高速PCB中&#xff0c;时钟等关键的高速信号线需要进行屏蔽处理&#xff0c;每1000mil打孔接地2、闭环规则3、开环规则4、特性阻抗连续规则5、布线方向规则6、谐振规则7、回流路径规则8、器件的退耦电容摆放规则9、小的分立器件走线须对称10、拐角设计11、…

PCB布线技巧(全)

做毕设需要自己画PCB&#xff0c;胡乱连费事费力还一堆报错&#xff0c;通过查阅资料&#xff0c;发现画PCB是很需要技巧的&#xff0c;把一些PCB连线的技巧分享给大家~~ 目录 1、布线优先次序 2、布线窜扰控制 3、布线的一般规则要求 1、布线优先次序 a) 关键信号线优先&…

pcb 布线教程详解

在 PCB 设计中&#xff0c;布线是完成产品设计的重要步骤&#xff0c;可以说前面的准备工作都是为它而做的&#xff0c; 在整个 PCB 中&#xff0c;以布线的设计过程限定最高&#xff0c;技巧最细、工作量最大。 PCB 布线有单面布线、 双面布线及多层布线。布线的方式也有两种&…

PCB布线

作为一名电子工程师&#xff0c;电子产品的小型化和系统设计的复杂性使得PCB设计越来越复杂。如今高度集成化的使得电路板越来越小&#xff0c;封装器件的管脚越来越密&#xff0c;这些都给布线带来了巨大的压力。 布线作为PCB设计过程的重中之重&#xff0c;这将直接影响PCB板…

PCB设计布线要点分析,盲目的拉线,拉了也是白拉!

有些小伙伴在pcb布线时&#xff0c;板子到手就是干&#xff0c;由于前期分析工作做的不足或者没做&#xff0c;导致后期处理时举步维艰。比如电源线、杂线拉完了&#xff0c;却漏掉一组重要的信号线&#xff0c;导致这组线没办法同组同层&#xff0c;甚至都没有完整的参考平面&…