一文弄懂二叉树的三种遍历方式

article/2025/10/8 17:34:53

关注公众号【高性能架构探索】,后台回复【pdf】,免费获取计算机必备经典书籍

一文弄懂二叉树的三种遍历方式

俗话说:学如逆水行舟,不进则退;心似平原走马,易放难收。这句话对程序员而言,体会更深。这行已经越来越卷了,时刻准备着,😃。 二叉树,在面试中,已是必备的开胃菜。而在二叉树相关的面试题目中,遍历更是常考题目。本文将从二叉树的遍历角度入手,从递归和非递归角度来分析和讲解二叉树的遍历。

遍历

二叉树的遍历是指从根节点出发,按照某种次序依次访问二叉树中的所有节点,使每个节点被且仅被访问一次。

二叉树的遍历,有先序遍历中序遍历以及后续遍历三种。

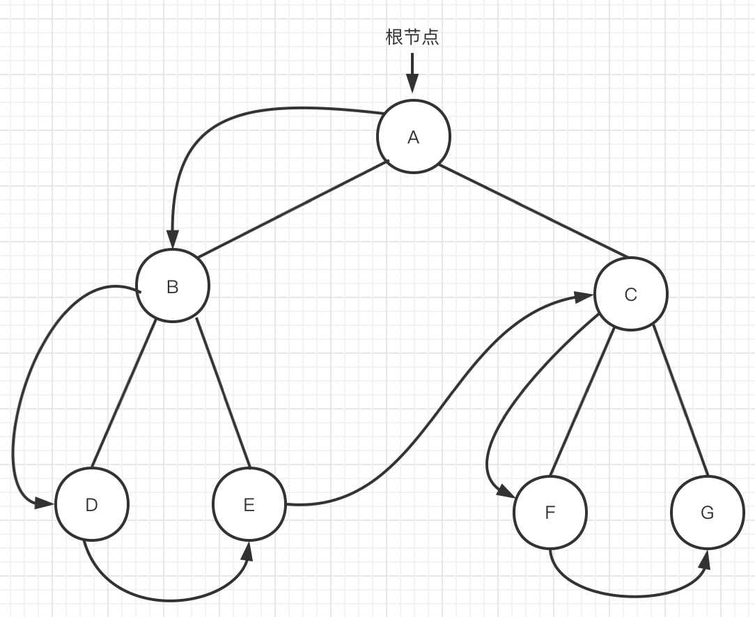
图一

图一

上面三种遍历方式中的先序、中序以及后序三种方式,是父节点相对于子节点来说的。如果父节点先于子节点,那么就是先序遍历。如果子节点先于父节点,那么就是后序遍历。而对于子节点来说,如果先左节点,然后是父节点,然后再是右节点,那么就是中序遍历。

如【图一】所示二叉树。其三种遍历结果如下:

先序遍历: A->B->D->E->C->F->G

中序遍历: D->B->E->A->F->C->G

后续遍历: D->E->B->F->G->C->A

为了便于理解代码,我们先定义下树的节点定义:

struct TreeNode {TreeNode *left;TreeNode *right;int val;
};

先序遍历

定义:先访问父节点,然后遍历左子树,最后遍历右子树。

递归

相信递归遍历大家都会很容易写出来,且bugfree。因为实现代码很简单。

图二 先序遍历

图二 先序遍历

在上图【图二】中,使用递归遍历,就是将其左子树和右子树也当做一棵树来进行处理。代码如下:

void PreOrder(TreeNode *root) {if (!root) {return;}// 遍历根节点(此处仅为输出,读者也可以根据实际需要进行处理,比如存储等)std::cout << root->val << std::endl;// 遍历左子树PreOrder(root->left);// 遍历右子树PreOrder(root->right);
}

非递归

在非递归操作中,我们仍然是按照先访问根节点,然后遍历左子树,接着遍历右子树的方式。

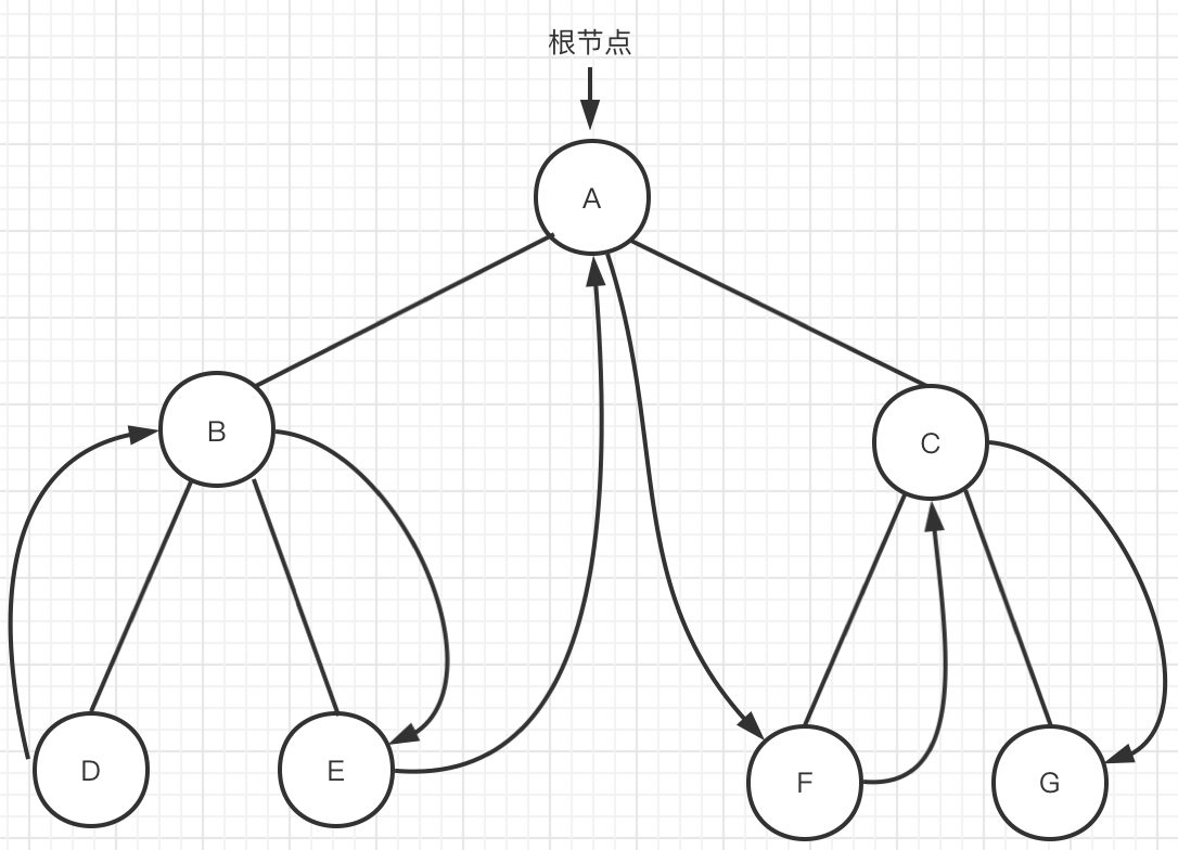
图三 先序遍历

图三 先序遍历

  1. 到达节点A,访问节点A,开始遍历A的左子树

  2. 到达节点B,访问节点B,开始遍历B的左子树

  3. 到达节点D,访问节点D,因为节点D无子树,因此节点D遍历完成
    • 节点D遍历完成,意味着节点B的左子树遍历完成,因此接着遍历节点B的右子树

  4. 到达节点E,访问节点E。因为节点E无子树,因此节点E遍历完成
    • 节点E遍历完成,意味着节点B的右子树遍历完成,也预示着节点B的子树遍历完成

    • 开始遍历节点A的右子树

  5. 到达节点C,访问节点C。开始遍历C的左子树

  6. 到达节点F,访问节点F。因为节点F无子树,因此节点F遍历完成
    • 节点F遍历完成,意味着节点C的左子树遍历完成,因此开始遍历节点C的右子树

  7. 到的节点G,访问节点G。因为节点G无子树,因此节点G遍历完成
    • 节点G遍历完成,意味着节点C的右子树遍历完成,进而预示着节点C遍历完成

    • 节点C遍历完成,意味着节点A的右子树遍历完成,进而意味着节点A遍历完成,因此以A为根节点的树遍历完成。

用非递归方式遍历二叉树,需要引入额外的数据结构栈(stack),其基本流程如下: 1、申请一个栈stack,然后将头节点压入stack中。

2、从stack中弹出栈顶节点,打印

3、将其右孩子节点(不为空的话)先压入stack中

4、将其左孩子节点(不为空的话)压入stack中。

5、不断重复步骤2、3、4,直到stack为空,全部过程结束。

代码如下:

void PreOrder(TreeNode *root) {if (!root) {return;}std::stack<TreeNode*> s;s.push(root); // 步骤1while (!s.empty()) {auto t = s.top();s.pop();//出栈std::cout << t->val << std::endl; // 访问节点if (t->right) {s.push(t->right); // 对应步骤3}if (t->left) {s.push(t->left); // 对应步骤4}}
}

中序遍历

定义:先遍历左子树,访问根节点,遍历右子树

递归

图四 中序遍历

图四 中序遍历

在上图【图四】中,使用递归遍历,就是将其左子树和右子树也当做一棵树来进行处理。代码如下:

void InOrder(TreeNode *root) {if (!root) {return;}// 遍历左子树InOrder(root->left);// 遍历根节点(此处仅为输出,读者也可以根据实际需要进行处理,比如存储等)std::cout << root->val << std::endl;// 遍历右子树InOrder(root->right);
}

上述中序遍历的递归代码,相比于先序遍历,只是将访问根节点的行为放在了遍历左右子树之间。

非递归

在非递归操作中,我们仍然是按照先遍历左子树,然后访问根节点,最后遍历右子树的方式。

图五 中序遍历

图五 中序遍历

  1. 到达节点A,节点A有左子树,遍历节点A的左子树

  2. 到达节点B,节点B有左子树,遍历节点B的左子树

  3. 到达节点D,节点D无子树,访问D节点
    • 由于D无子树,意味着B的左子树遍历完成,那么就回到B节点

  4. 访问B节点,遍历B节点的右子树

  5. 到达节点E,节点E无子树,访问节点E
    • E节点遍历完成,意味着以B为根的子树遍历完成,回到A节点

  6. 到达A节点,访问A节点,遍历A节点的右子树

  7. 到达C节点,遍历C节点的左子树

  8. 到达F节点,因为F节点无子树,因此访问F节点。
    • 由于F节点无子树,意味着C节点的左子树遍历完成,回到C节点

  9. 到达C节点,访问C节点,遍历C的右子树

  10. 到达节点G,由于G无子树,因为访问节点G

  • G节点遍历完成,意味着C节点的右子树遍历完成,进而意味着A节点的右子树遍历完成,从意味着以A节点为根的二叉树遍历完成。

中序遍历,同样需要额外的辅助数据结构栈。

  1. 将根节点放入栈 2、如果根节点有左子树,则将左子树的根节点放入栈 3、重复步骤1和2.继续遍历左子树 4、从栈中弹出节点,进行访问,然后遍历右子树(重复步骤1和2) 5、如果栈为空,则遍历完成

代码如下:

void InOrder(TreeNode *root) {if (!root) {return;}std::stack<TreeNode*> s;auto p = root;while (!s.empty() || p) {if (p) { // 步骤1和2s.push(p);p = p->left;} else { // 步骤4auto t = s.top();std::cout << t->val << std::endl;p = t->right;}}
}

后续遍历

定义:先遍历左子树,再遍历右子树,最后访问根节点

递归

图六 后序遍历

图六 后序遍历

void PostOrder(TreeNode *root) {if (!root) {return;}// 遍历左子树PostOrder(root->left);// 遍历右子树PostOrder(root->right);// 遍历根节点(此处仅为输出,读者也可以根据实际需要进行处理,比如存储等)std::cout << root->val << std::endl;
}

上面就是后续遍历的递归写法,比较写先序遍历、中序遍历以及后续遍历三者的递归遍历写法,大部分代码是一样的,唯一的区别就是访问根节点的代码位置不一样:

先序遍历:先访问根节点,然后遍历左子树,最后遍历右子树 中序遍历:先遍历左子树,然后访问根节点,最后遍历右子树 后序遍历:先遍历左子树,然后遍历右子树,最后访问根节点

非递归

在非递归操作中,我们仍然是按照先遍历左子树,然后访问根节点,最后遍历右子树的方式。

图七 后续遍历

图七 后续遍历

  1. 到达节点A,遍历A的左子树

  2. 到达节点B,遍历B的左子树

  3. 到达节点D,由于D无子树,则访问节点D
    • 节点D无子树,意味着节点B的左子树遍历完成,接着遍历B的右子树

  4. 到达节点E,由于E无子树,则访问节点E
    • 节点E无子树,意味着节点B的右子树遍历完成,接回到节点B

  5. 访问节点B,回到节点B的根节点A

  6. 到达节点A,访问节点A的右子树

  7. 到达节点C,遍历节点C的左子树

  8. 到达节点F,由于节点F无子树,因此访问节点F
    • 节点F访问完成,意味着C节点的左子树遍历完成,因此回到节点C

  9. 到达节点C,遍历节点C的右子树

  10. 到达节点G,由于节点G无子树,因为访问节点G

  • 节点G访问完成,意味着C节点的右子树遍历完成,回到节点C

  1. 到达节点C,访问节点C

  • 节点C遍历完成,意味着节点A的右子树遍历完成,回到节点A

  1. 节点A的右子树遍历完成,访问节点A

用非递归方式遍历二叉树,需要引入额外的数据结构栈(stack),其基本流程如下: 1、申请两个栈stack,然后将头节点压入指定stack中。

2、从stack中弹出栈顶节点,放入另外一个栈中

3、将其左孩子节点(不为空的话)先压入stack中

4、将其右孩子节点(不为空的话)压入stack中。

5、不断重复步骤2、3、4,直到stack为空。

6、重复访问另外一个栈,直至栈空

void PostOrder(TreeNode *root) {if (!root) {return;}std::stack<TreeNode*> s1;std::stack<TreeNode*> s2;s1.push(root);while (!s1.empty()) {auto t = s1.top();s1.pop();s2.push(t);if (t->left) {s1.push(t->left);}if (t->right) {s1.push(t->right);}}while (!s2.empty()) {auto t = s2.top();s2.pop();std::cout << t->val << std::endl;}
}

结语

对于二叉树来说,所谓的遍历,是指沿着某条路线依次访问每个节点,且均只做一次访问。二叉树的遍历,是面试中常面算法之一,一定要把其弄懂,必要的时候,需要背诵,乃至做到肌肉记忆。


http://chatgpt.dhexx.cn/article/EXhooWGg.shtml

相关文章

二叉树遍历算法

目录 先序遍历 中序遍历 后序遍历 层序遍历 938. 二叉搜索树的范围和 110. 平衡二叉树 114. 二叉树展开为链表 117. 填充每个节点的下一个右侧节点指针 II 116. 填充每个节点的下一个右侧节点指针 1&#xff0c;三种遍历都是先把二叉树的最左结点循环入栈(DFS迭代)&am…

二叉树的四种遍历算法(结构体数组)

一、二叉树的定义 以字符串的形式定义一棵二叉树的先序序列&#xff0c;若字符是‘#’&#xff0c;表示该二叉树是空树&#xff0c;否则该字符是相应结点的数据元素。 例&#xff1a;ABDG##HI####CE#J##F## 对应的二叉树&#xff1a; 思路讲解&#xff1a; 想要遍历二叉树&am…

二叉树的四种遍历方式

概要 树本身是一种简单化的图 &#xff1b; DFS对应前中后序遍历&#xff0c;BFS对应层序遍历 二叉树结构 struct treenode {int val;treenode *left;treenode *right;treenode() : val(0), left(nullptr), right(nullptr) {}treenode(int x) : val(x), left(nullptr), right(n…

针对Linux学习,值得阅读的五本书籍,不看可能错失机会

今天为了总结一些可以帮助各位在学习过程中提供帮助的一些书籍。 一.鸟叔的私房菜&#xff1a; 本书是知名度颇高的Linux入门书《鸟哥的Linux私房菜基础学习篇》的新版,而详细地介绍了Linux操作系统。全书分为五部分;第一部分部分着重说明计算机的基础知识、Linux的学习方法&a…

从零开始学习Linux(一)关闭虚拟机系统

关闭系统&#xff0c;需要输入如下命令 poweroff然而&#xff0c;你只能得到如下反馈 -bash: poweroff:command not found此项错误是因为poweroff命令是一个系统管理命令。执行此项命令需要高级使用者特权。 因此&#xff0c;为了关闭系统&#xff0c;我们首先需要切换到root…

个人随笔/小白应该如何学习Linux,我的一些心得分享.

大家好&#xff0c;今天给大家分享一下0基础的人如何入门Linux&#xff0c;此文来源&#xff1a;我在上班的路上看到一篇文章&#xff0c;也是写的0基础的人如何学习Linux的文章。当时我在想&#xff0c;我写博文一年多&#xff0c;都是相关Linux及Python等技术的文章&#xff…

Linux学习路线

&#xfeff;&#xfeff; 关于 Linux Linux 因其开源&#xff0c;免费&#xff0c;可裁剪&#xff0c;被应用到很多领域&#xff0c;尤其是嵌入式设备上。 Android 系统内核也是基于 Linux 的。 另外还有各种服务器和工作站也是用的 Linux。 什么是嵌入式设备&#xff1f;…

为什么要学习 Linux ????

目前企业中大量的使用Linux作为服务器&#xff0c;在以后你们就业后&#xff0c;会发现web服务器Tomcat ,jobss这一类都是搭建在linux上面的&#xff0c;后面我们需要学习的数据库mysql &#xff0c; oracle &#xff0c;db2&#xff0c; 或者greenplum这一类的&#xff0c;在企…

Linux 学习路线图

1.应用场景 更加高效地学习并达到运用Linux. 2.学习/操作 linux运维学习需要分为四个阶段&#xff1a;初级入门、中级进阶、高级提升、资深方向细化。 第一阶段&#xff1a;初级入门 初级阶段需要把linux学习路线搞清楚&#xff0c;任何学习都是循序渐进的&#xff0c;所以学…

从零入门机器学习之Linux系统详解

大家好,我是herosunly。985院校硕士毕业,现担任算法研究员一职,热衷于机器学习算法研究与应用。曾获得阿里云天池比赛第一名,科大讯飞比赛第三名,CCF比赛第四名。拥有多项发明专利。对机器学习和深度学习拥有自己独到的见解。曾经辅导过若干个非计算机专业的学生进入到算法…

为什么要学习Linux?

对于一些偶然接触到Linux的人来说&#xff0c;好奇是对于这个陌生名词的的第一印象。也许这个名字经常出现在你所使用的教科书上&#xff0c;或者是一些技术性的文章上&#xff0c;你却不知其意&#xff0c;此时这个名字再次出现&#xff0c;你就更是好奇了&#xff0c;Linux到…

Linux学习总结

课程&#xff1a;Linux操作系统与应用 参考书&#xff1a;Linux从入门到精通、unix环境高级编程 学习linux之前必须要做好心理准备&#xff1a; 第一&#xff0c;要明白学好linux不是一件一蹴而就的事&#xff0c;一定要能坚持使用它&#xff0c;特别是在使用初期&#xff0c…

你知道如何学习Linux吗?

说起Linux&#xff0c;业内人士或者经常玩电脑&#xff0c;对计算机比较精通的应该是比较熟悉的&#xff0c;Linux是一个开源的操作系统&#xff0c;由于其安全性高&#xff0c;完全免费&#xff0c;高效性&#xff0c;稳定等优点&#xff0c;越来越受大众的欢迎&#xff0c;就…

学习linux的感受

学习前要 1.安装虚拟机或者自己买个云服务器 下载centOs然后将镜像装入系统 2.装入之后在自己的电脑下载Xshell和Xbox 3在自己windows系统下运行cmd拼一下自己的虚拟机或服务器测试两个机子网络是否相通&#xff0c;如果相通即可用Xshell进行远程登陆 成果: 今天学了vim与vi&…

初学者如何系统性地学习Linux?

作为一个大一的同学&#xff0c;可以采取下面的步骤进行系统的学习Linux。 1、选择一个发行版&#xff1a;对于初学者&#xff0c;推荐使用Ubuntu或者Linux Mint。Ubuntu适合新手&#xff0c;使用广泛&#xff0c;社区活跃&#xff0c;遇到问题容易找到解决方案。虽然你觉得Ub…

如何学习Linux

热热热 一、Linux大致要学习那些内容 1、Linux下的基本操作命令 2、Linux的各种配置 环境变量、网络的配置、服务的配置----常规而重要 3、Linux下搭建各种开发环境 例如&#xff1a; Javaee、大数据、Python等 4、能够写一些基本的shell脚本&#xff0c;对Linux系统进…

QTP基本使用1

目录 一、功能自动化 1、测试过程 2、录制类型 二、QTP基本使用1 1、【录制】 2、【运行】 3、【例 -- 录制编写记事本】 4、【设置】 三、上午程序脚本 四、test -- project 的比较 五、QTP基本使用2 1、导出test文件 2、导入test文件 3、查看帮助文档 4、修改…

QTP 脚本语言编写入门到精通(一)

飞机订票登陆系统flight 一、编写用户登录测试用例。 二、直接编写脚本 ****************** SystemUtil.Run PathFinder.Locate("..\samples\flight\app\flight4a.exe"),"",PathFinder.Locate("..\samples\flight\app"),"open" Syst…

QTP工具简单操作使用说明

简介 QTP是QuickTest Professional 的简称&#xff0c;是一种自动化测试工具。使用QTP的目的是用它来执行重复的手动测试&#xff0c;主要用于回归测试和测试同一软件的新版本&#xff08;版本迭代&#xff09;。 启动QuickTest 第一次启动QuickTest时&#xff0c;打开“加载…

qt完整教程

各个组件的意思(功能介绍) Python Qt GUI设计:UI界面可视化组件、属性概述(基础篇—3)-腾讯云开发者社区-腾讯云 qt 如何设计好布局和漂亮的界面。_qt界面_花狗Fdog的博客-CSDN博客 样式表(美化关键)/*灰色*/ Q/*灰色*/ QWidget {background-color: rgb(255, 182, …