线性代数(四十八) : 谱半径

article/2025/10/7 15:24:52

本节介绍复欧几里得空间映射到其自身的矩阵.给出其范数的一个简单而有用的下界.

该矩阵范数的定义同实欧几里得空间.

0 说明:

本节以下的研究都是针对复欧几里得空间到自身的映射

1 范数


2 特征值

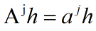
设A为任意的复方阵.h为A的一个长度为1的特征向量.a为对应的特征值.


则:


由于:


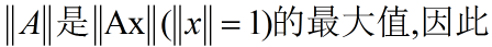
该式对任意特征值成立,于是有:


其中ai取遍A的全体特征值.

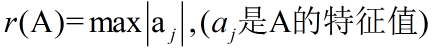
3 谱半径

设A为某线性空间到其自身的线性映射,A的谱半径(Spectral radius)

r(A)定义为:


4 范数与谱半径

(i)上式中ai取遍A的全体特征值.因此:


(ii)A的幂的特征值就是A的特征值的幂:


(iii)对应的:


(iv)两边各开j次方:


(v)当j趋于无穷时,上式近似于等式:




http://chatgpt.dhexx.cn/article/89L35QAu.shtml

相关文章

高等工程数学 —— 第一章 (2)矩阵的谱半径与条件数

第一章 (2)矩阵的谱半径与条件数 文章目录 第一章 (2)矩阵的谱半径与条件数谱半径收敛矩阵矩阵级数矩阵幂级数 矩阵的条件数及应用 谱半径 谱半径其实就是最大特征值 注意这里谱半径是小于等于矩阵的任意范数的。在求特征值比较麻…

oracle安装问题---测试连接时不成功

1. 以前安装oracle比较顺利,这次安装时出现了一点问题 安装 oracle服务端时没有改账户密码, 出现密码失效 连接不成功的事情 第一步; 运行SQLPlus命令行工具(即在命令行 输入sqlplus /nolog) connect as sysdba;…

oracle安装及常见问题解决

oracle 11g安装详解 一、Oracle安装包准备 二、安装oracle和plsql 1、解压上述压缩包后---》打开文件夹后看见如下图,一个是oracle安装资料,一个是oracle客户端安装资料plsql。 2、打开oracle文件夹,找到安装程序【setup.exe】并双击 3、安装…

Oracle安装过程及问题解决

Oracle安装过程及问题解决 下载安装出现问题[INS-13001] 此操作系统不支持 Oracle 数据库。安装程序将不在系统上执行先决条件检查。[INS-35180]无法检查可用内存 下载安装 Oracle11下载地址 下载这两个文件 下载完成后,选中两个压缩包,右击,点击解压到当前文件夹 会生成一个…

Oracle安装时物理内存检查失败的解决方案:

Oracle安装时物理内存检查失败的解决方案: 1、先决条件检查---未能满足某些最低安装要求,请求复查并修复下表中列出的问题,然后重新检查系统 环境说明: 安装环境:Windows10 64位,内存8G,硬盘…

Oracle安装图文详解!

测试环境描述 服务器 操作系统: windows server2012 标准版 64位 Oracle软件:Oracle 11g 64位 客户端 操作系统: windows10 32位 图形界面工具:PL/SQL Developer13.0.3 32位 Oracle客户端:Oracle win32_11…

Linux下的Oracle安装

一、前置依赖准备 1.下载安装Oracle安装包 我将放在 /opt/install 目录下 2.安装依赖包 yum -y install binutils compat-libcap1 compat-libstdc-33 compat-libstdc-33*i686 compat-libstdc-33*.devel compat-libstdc-33 compat-libstdc-33*.devel gcc gcc-c glibc glibc*.i6…

安装Oracle服务器端闪退,oracle安装闪退的解决办法是什么_数据库,oracle

数据库管理系统有哪些应用_数据库 数据库管理系统的应用:1、提高数据加密系统的安全性;2、提高信息存管效率;3、完善数据备份与恢复;4、增强多媒体的管理。数据库管理系统对数据库进行统一的管理和控制,以保证数据库的…

Oracle安装提示环境不满足最低要求解决

Oracle安装提示环境不满足最低要求解决方法 安装win64_11g的时候出现这个 进入 Oracle安装包里stage下cvu 文件夹 打开cvu_prereq 文件 <OPERATING_SYSTEM RELEASE"6.2"><VERSION VALUE"3"/><ARCHITECTURE VALUE"32-bit"/>…

oracle安装过程忘记配置口令管理

如果在Oracle11g在安装过程中忘了进行口令配置&#xff0c;不要着急&#xff0c;无需卸载重载。可以通过命令行进行修改。 比如我们忘记解锁scott用户&#xff0c;可以先打开SQL plus工具。 输入用户&#xff1a;sys 输入口令&#xff1a;sys as sysdba 然后输入解锁scott用…

安装Oracle时出现乱码弹出框错误——Oracle安装说明

目录 一.问题 二.安装说明 一、在一个盘符下新建一个目录 二、双击oracle的安装包开始安装。 三、最后安装完成&#xff0c;桌面会有一个oracle主页的快捷键&#xff0c;这个并没有什么重要&#xff0c;删掉即可&#xff01; 四、如何测试oracle是否安装成功呢&#xff1f…

oracle安装报错ins-30131

1、报错信息 [INS-30131] 执行安装程序验证所需的初始设置失败。无法从节点 “zb-m2004-05243” 检索 exectask 的版本 原因一&#xff1a;当前用户可能权限不够 试试用管理员账号或者授予管理员权限&#xff1b; 原因二、共享文件夹有问题 本次就是用administrator安装&a…

Oracle安装出现INS-30131

Oracle安装出现[INS-30131] 今天 在重新安装oracle数据库时页面提示[INS-30131]执行安装程序验证所需的初始设置失败&#xff08;无法访问临时位置&#xff09;&#xff0c;很奇怪之前安装过很多次都是一路通畅没有出现过这个问题&#xff0c;刚开始怀疑是自己下载数据库是没有…

Windows版 Oracle安装

一、下载 官网下载&#xff1a;http://www.oracle.com/technetwork/database/enterprise-edition/downloads/index.html &#xff08;注意Oracle分成两个文件&#xff0c;下载完后&#xff0c;将两个文件解压到同一目录下即可。 路径名称中&#xff0c;最好不要出现中文&…

Oracle 安装步骤

一、Oracle 安装包下载路径 链接&#xff1a;https://pan.baidu.com/s/1QotD3C0BPXeqNF5M3OVsaQ 密码&#xff1a;0anc 全部解压&#xff0c;双击setup.exe 2.去掉勾选框&#xff0c;点击下一步 3.点击是 4.点击下一步 5.点击下一步 6.选择安装路径&#xff0…

Oracle安装步骤(自用)

一、安装地址&#xff1a; 链接&#xff1a;https://pan.baidu.com/s/1OO4284BWhAApIBamvvwg5g 提取码&#xff1a;1234 或者官网下载&#xff1a;https://www.oracle.com/database/technologies/oracle-database-software-downloads.html 解压后有三个文件夹&#xff0c;分…

真正学透AQS

在java的并发中&#xff0c;我们会接触到很多工具类&#xff0c;比如说ReentranLock&#xff0c;CountDownLatch&#xff0c;Semaphore&#xff0c;Condition。而这些工具类都是同门师兄弟来的&#xff0c;它们共同的师父就是我们这次文章讲的AQS&#xff0c;全名&#xff1a;A…

AQS介绍

目录 1. AQS简介:2. AQS的原理&#xff1a;3. 和AQS相关的类&#xff1a;AQS能干嘛&#xff1a;AQS初步&#xff1a;AQS内部体系架构: 1. AQS简介: AQS是什么&#xff1a; AQS全名&#xff1a;AbstractQueuedSynchronizer即抽象的队列同步器&#xff0c;这个类在java.util.co…

如何理解AQS

AQS核心数据结构 AQS内部主要维护了一个FIFO&#xff08;先进先出&#xff09;的双向链表。 AQS数据结构原理 AQS内部维护的双向链表中的各个节点分别指向直接的前驱节点和直接的后续节点。所以&#xff0c;在AQS内部维护的双向链表可以从其中的任意一个节点遍历前驱结点和后…

AQS解析

Java中的大部分同步类&#xff08;Lock、Semaphore、ReentrantLock等&#xff09;都是基于AbstractQueuedSynchronizer&#xff08;简称为AQS&#xff09;实现的。AQS是一种提供了原子式管理同步状态、阻塞和唤醒线程功能以及队列模型的简单框架。本文会从应用层逐渐深入到原理…