蚁群算法(实例帮助理解)

article/2025/10/3 6:40:54

  • 1. 算法简介
    • 1.1 算法起源
    • 1.2 算法应用
  • 2. 基本原理
  • 3. 算法设计
    • 3.1 算法步骤
    • 3.2 参数意义及设置
    • 3.3 构建路径
    • 3.4 更新信息素浓度
    • 3.5 判断是否中止
  • 4. 实例演示(TSP问题)

1. 算法简介

1.1 算法起源

  • 蚁群算法(ant colony optimization, ACO),又称蚂蚁算法,是一种用来在图中寻找优化路径的机率型算法。其灵感来源于蚂蚁在寻找食物过程中发现路径的行为。
  • 它能够求出从原点出发,经过若干个给定的需求点,最终返回原点的最短路径。这也就是著名的旅行商问题(Traveling Saleman Problem,TSP)。
  • 蚁群算法是一种模拟进化算法

1.2 算法应用

  • 应用进展以蚁群算法为代表的蚁群智能已成为当今分布式人工智能研究的一个热点,许多源于蜂群和蚁群模型设计的算法己越来越多地被应用于企业的运转模式的研究。
  • 多年来世界各地研究工作者对蚁群算法进行了精心研究和应用开发,该算法现已被大量应用于数据分析、机器人协作问题求解、电力、通信、水利、采矿、化工、建筑、交通等领域。
  • 蚁群优化算法最初用于解决TSP问题,经过多年的发展,已经陆续渗透到其他领域中,比如图着色问题、大规模集成电路设计、通讯网络中的路由问题以及负载平衡问题、车辆调度问题等。蚁群算法在若干领域己获得成功的应用,其中最成功的是在组合优化问题中的应用

2. 基本原理

蚂蚁在行走过程中会释放一种称为“信息素”的物质,用来标识自己的行走路径。
在寻找食物的过程中,根据信息素的浓度选择行走的方向,并最终到达食物所在的地方。
信息素会随着时间的推移而逐渐挥发。

例:下图为蚂蚁觅食过程图,现有两只蚂蚁均在A点,食物在B点。途中从A到B有两条路径(即A->B和A->C->B),假设两只蚂蚁速度相同,两只蚂蚁释放的信息素浓度相同,且图中三角形为等边三角形。那么在t0时刻,蚂蚁1沿ACB出发,蚂蚁2沿AB出发。当到t1时刻后,蚂蚁1到达C点,蚂蚁2到达B点(食物)。此时AC路径和AB路径的信息素浓度相同,且蚂蚁1将继续从C到B爬行,蚂蚁2则从B到A返回。当到t2时刻后,蚂蚁1到达B点(食物),蚂蚁2到达A点。此时发现AB路径的信息素浓度是BC路段的2倍,因此当蚂蚁1想要返回A点后,它不会再选择沿BCA原路返回,而是选择信息素浓度高的BA路径返回。这样持续下去,AB路径上的信息素浓度会越来越高,后面的蚂蚁都会选择AB路径来获取食物,从而找到了获取食物的最短路径。

在这里插入图片描述

3. 算法设计

3.1 算法步骤

  1. 初始化(各个参数): 在计算之初需要对相关的参数进行初始化,如蚂蚁数量m、信息素因子α、启发函数因子β、信息素挥发因子ρ、信息素常数Q、最大迭代次数t等等。

  2. 构建解空间: 将各个蚂蚁随机地放置于不同的出发点,对每个蚂蚁k(k=1,2,……,m),计算其下一个待访问的城市,直到所有蚂蚁访问完所有的城市。

  3. 更新信息素: 计算各个蚂蚁经过的路径长度L,记录当前迭代次数中的最优解(最短路径)。同时,对各个城市连接路径上的信息素浓度进行更新。

  4. 判断是否终止: 若迭代次数小于最大迭代次数则迭代次数加一,清空蚂蚁经过路径的记录表,并返回步骤二;否则终止计算,输出最优解。

下图是蚁群算法的整体流程图:
在这里插入图片描述

3.2 参数意义及设置

参数名称参数意义参数设置过大参数设置过小
蚂蚁数量m蚂蚁数量一般设置为目标数的1.5倍较为稳妥每条路径上信息素趋于平均,正反馈作用减弱,从而导致收敛速度减可能导致一些从未搜索过的路径信息素浓度减小为0,导致过早收敛,解的全局最优性降低
信息素常量Q信息素常量根据经验一般取值在[10,1000]会使蚁群的搜索范围减小容易过早的收敛,使种群陷入局部最优每条路径上信息含量差别较小,容易陷入混沌状态
最大迭代次数t最大迭代次数一般取[100,500],建议取200运算时间过长可选路径较少,使种群陷入局部最优。
信息素因子ɑ反映了蚂蚁运动过程中路径上积累的信息素的量在指导蚁群搜索中的相对重要程度。取值范围通常在[1, 4]之间。蚂蚁选择以前已经走过的路可能性较大,容易使随机搜索性减弱蚁群易陷入纯粹的随机搜索,使种群陷入局部最优
启发函数因子𝛽反映了启发式信息在指导蚁群搜索中的相对重要程度,蚁群寻优过程中先验性、确定性因素作用的强度取值范围在[0, 5]之间虽然收敛速度加快,但是易陷入局部最优蚁群易陷入纯粹的随机搜索,很难找到最优解
信息素挥发因子𝜌反映了信息素的消失水平,相反的1-𝜌反映了信息素的保持水平。取值范围通常在[0.2, 0.5]之间信息素挥发较快,容易导致较优路径被排除各路径上信息素含量差别较小,收敛速度降低

3.3 构建路径

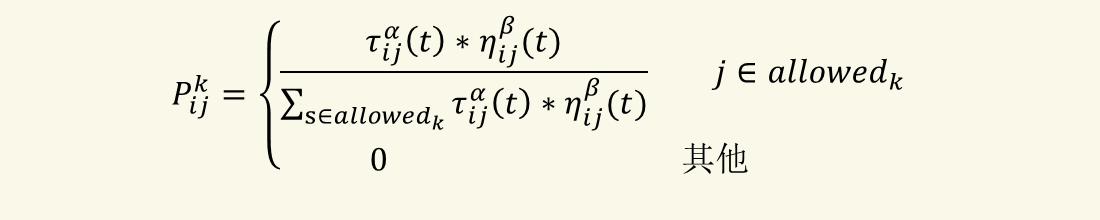
我们知道蚂蚁是根据信息素的浓度来判断所走的路线的,但是事实上,不是说哪条路的信息素浓度高蚂蚁就一定走哪条路,而是走信息素浓度高的路线的概率比较高。那么首先我们就需要知道蚂蚁选择走每个城市的概率,然后通过轮盘赌法(相当于转盘)确定蚂蚁所选择的城市。

蚂蚁选择城市的概率公式如下:
在这里插入图片描述
其中:
在这里插入图片描述
其实这个公式也很好理解,蚂蚁选择城市的概率主要由𝜏ij (t)和𝜂ij (𝑡)有关,分母为蚂蚁k可能访问的城市之和(为常数),这样才能使蚂蚁选择各个城市的概率之后为1,符合概率的定义。𝜏ij (t)和𝜂ij (𝑡)上的指数信息素因子ɑ和启发函数因子𝛽只决定了信息素浓度以及启发函数对蚂蚁k从i到j的可能性的贡献程度。

例:下图为计算蚂蚁从起点城市2到可达城市的概率(套公式,很好理解)
在这里插入图片描述

3.4 更新信息素浓度

更新信息素的公式如下:

根据不同的规则我们可以将蚁群算法分为三种模型——蚁周模型(Ant-Cycle)、蚁量模型(Ant-Quantity)和蚁密模型(Ant-Density)。蚁周模型是完成一次路径循环后,蚂蚁才释放信息素,其利用的是全局信息。蚁量模型和蚁密模型蚂蚁完成一步后就更新路径上的信息素,其利用的是局部信息。本文章使用的是最常见的蚁周模型。

蚁周模型公式如下:
在这里插入图片描述
其中Q为信息素常量,Lk表示第k只蚂蚁在本次循环中所走路径的长度。

例:下图为信息素的更新过程,假设初始时各路径信息素浓度为10。
在这里插入图片描述

3.5 判断是否中止

蚁群算法中的终止条件:是否达到迭代次数。
一次迭代就是指m只蚂蚁都走完所有的城市,即存在m个搜索路径。
将所有路径进行比较,选择长度最短的路径,做出这一次迭代的可视化结果,更新信息素。并将当前的最短路径与过往的最短路径长度进行对比,同时迭代次数加1。
然后判断当前迭代次数是否等于设置的迭代次数。如果等于则停止迭代,否则进行下一次迭代。

4. 实例演示(TSP问题)

实例题目:
在这里插入图片描述

实例代码:
matlab蚁群算法代码

matlab运行结果展示:
在这里插入图片描述


http://chatgpt.dhexx.cn/article/6Lqt8RZ9.shtml

相关文章

蚂蚁算法蚁群算法-原理-思路-步骤-程序实现

蚂蚁算法蚁群算法-原理-思路-步骤-程序实现 ❀算法介绍 历史 蚁群优化算法是一种用来在图中寻找优化路径的机率型算法。它由Marco Dorigo于1992年在他的博士论文中提出,其灵感来源于蚂蚁在寻找食物过程中发现路径的行为。蚁群算法是一种模拟进化算法,…

蚁群算法原理及其实现(python)

蚁群算法(AG)是一种模拟蚂蚁觅食行为的模拟优化算法,它是由意大利学者Dorigo M等人于1991年首先提出,并首先使用在解决TSP(旅行商问题)上。 之后,又系统研究了蚁群算法的基本原理和数学模型. 蚁群算法的基本思想: 蚁群…

智能算法——蚁群算法

1、原理 蚁群算法是受到对真实蚂蚁群觅食行为研究的启发而提出。生物学研究表明:一群相互协作的蚂蚁能够找到食物和巢穴之间的最短路径,而单只蚂蚁则不能。生物学家经过大量细致观察研究发现,蚂蚁个体之间的行为是相互作用相互影响的。蚂蚁在运动过程中,能够在它所…

蚁群算法理解与实现

蚁群算法,也是优化算法当中的一种。蚁群算法擅长解决组合优化问题。蚁群算法能够有效的解决著名的旅行商问题(TSP),不止如此,在其他的一些领域也取得了一定的成效,例如工序排序问题,图着色问题&…

蚁群算法(ACO)学习笔记

蚁群算法笔记 最近阅读论文,提到几种常见的搜索算法,于是对比学习一下。本文转载数据之巅大神文章对蚁群算法进行简单介绍,并用C语言编码实现蚁群算法来解决旅行商(TSP)问题。 1 蚁群算法基本原理 1.1 算法综述 对于…

【智能算法第一期】蚁群算法原理和多种改进方法

1. 什么是蚁群算法? 蚁群算法的本身来源于一种生物的自然现象,即蚂蚁在寻找食物过程中发现路径的行为,是一种模拟进化的算法。蚁群算法的寻优快速性是由通过正反馈式的信息传递和积累来实现的,分布式计算特征可以避免算法的早熟收…

蚁群算法

文章目录 一、蚁群算法原理二、蚁群算法参数改变测试 一、蚁群算法原理 蚁群算法(AG)是一种模拟蚂蚁觅食行为的模拟优化算法,它是由意大利学者Dorigo M等人于1991年首先提出,并首先使用在解决TSP(旅行商问题)上。之后&#xff0c…

蚁群算法详解

1、算法背景及原理 蚁群算法是一种智能优化算法,在TSP商旅问题上得到广泛使用。蚁群算法于1992年由Marco Dorigo首次提出,该算法来源于蚂蚁觅食行为。由于蚂蚁没有视力,所以在寻找食物源时,会在其经过的路径上释放一种信息素&…

Linux:详解 用户,用户组的解释创建等。

文章目录 Linux中用户和组的类型1、Linux下的用户可以分为三类2、Linux中的组有以下两类3、Linux中用户和用户组的配置文件(1)用户账号文件——/etc/passwdpasswd(2)用户密码文件——/etc/shadow(3)用户组账…

linux用户和用户组权限

Linux常规操纵 : 多用户操作 1.1 linux的用户与用户组理论 1.1.1 概述 Linux是一个真实的、完整的多用户多任务操作系统,多用户多任务就是可以在系统上建立多个用户,而多个用户可以在同一时间内登录同一个系统执行各自不同的任务,而互不影响。 root :系统维护 www:网页…

将用户添加到docker用户组

普通用户使用docker命令的时候经常会提示权限不足 Got permission denied while trying to connect to the Docker daemon socket at unix:///var/run/docker.sock: Get http://%2Fvar%2Frun%2Fdocker.sock/v1.26/containers/json: dial unix /var/run/docker.sock: connect: …

linux添加用户和用户组

原文地址&#xff1a;linux添加用户和用户组 – 自我的进化http://www.shanxing.top/?p181 用户 创建用户&#xff1a;useradd <用户名> 设置密码&#xff1a;passwd <用户名>删除用户&#xff1a;userdel <用户名> 用户组&#xff1a; 新建用户组&#x…

用户,用户组与权限

一.用户与用户组 1.用户的分类 root用户:系统唯一,真实,可登录系统,可操作系统任何文件的用户,拥有最高权限 虚拟用户:这类用户被称为伪用户,不具有登录能力,但是系统不可缺少这类用户,例如bin,daemon,ssh等,一般是系统创建,也可手动创建 普通用户:具有登录能力,但是只能操作…

重拾Linux(三)用户和用户组管理

Linux是一个多用户多任务的操作系统&#xff0c;任何一个想要使用系统资源的用户&#xff0c;都必须向系统管理员申请一个账号&#xff0c;然后用这个账号的身份进入系统。每创建一个账号&#xff0c;如果没有指定新增用户的家目录&#xff0c;则会在 /home 目录下创建一个和新…

查看linux创建了哪些用户组,Linux查看用户属于哪些组/查看用户组下有哪些用户...

一、关于/etc/group格式的讨论 在说/etc/group格式的时候,网上很多文章都会说是“组名:组密码:组ID:组下用户列表”,这说法对了解/etc/group格式是没问题的,但如果碰到“查看用户属于哪些组/查看用户组下有哪些用户”这个问题上,这种说法会很误导人。 测试发现“组下用户列…

linux用户删组,如何在 Linux 下删除用户组(groupdel 命令)

在 Linux 下&#xff0c;用户组用来组织和管理用户账户。用户组的目的主要是为了定义一系列权限&#xff0c;例如&#xff1a;针对一个资源的读&#xff0c;写&#xff0c;执行&#xff0c;并且将这些权限在用户组的用户之间共享。 一个新的用户组可以通过groupadd命令来创建。…

Linux的用户组与权限

组与权限 Linux的用户与权限一.账户管理1.0 创建用户useradd1.1 示例:1.1.1添加一般用户1.1.2.为新添加的用户添加组1.1.3.创建一个系统用户1.1.4.为新添加的用户指定home目录下1.1.5.建立用户且定制ID1.1.6.添加一个不能登录的账号 2.0 用户账号存储文件2.1每一行对应一个用户…

Windows用户和用户组

下图是Windows操作系统上用户组及其描述&#xff0c;描述部分主要说明了该用户组的权限。 Administrator是默认管理员组 &#xff08;可以将账户加入该组让用户具有管理员权限&#xff09; Guest&#xff1a; 访客使用&#xff08;默认禁用&#xff09; Window默认会有这四个用…

linux用户和用户组详解(一)

一、基本概念 &#xff08;一&#xff09;基本介绍 Linux作为一种多用户的操作系统(服务器系统)&#xff0c;允许多个用户同时登陆到系统上&#xff0c;并响应每个用户的请求。任何需要使用操作系统的用户&#xff0c;都需要一个系统账号&#xff0c;账号分为&#xff1a;管理…

Windows 用户组管理

Windows 用户组管理 一、用户组1. 概述2. 管理组 内置组账户1. 需要人为添加成员的内置组2. 动态包含成员的内置组 一、用户组 1. 概述 组是一些用户的集合&#xff0c;组内的用户自动具备为组所设置的权限。 2. 管理组 新建组&#xff1a; 在本地用户和组界面选择组&#…