算法导论第三版 第30章习题答案

article/2025/10/19 21:06:47

Python代码实现了fft与逆fft。
参考资料:
https://walkccc.github.io/CLRS/Chap30/30.1/
https://sites.math.rutgers.edu/~ajl213/CLRS/Ch30.pdf

30 Polynomials and the FFT

30.1 Representing polynomials

1.Multiply the polynomialsA(x) = 7x^3 - x^2 + x - 10 and B(x) = 8x^3 - 6x + 3 using equations (30.1) and (30.2).

\begin{array}{rl} & 56x^6 - 8x^5 + (8 - 42)x^4 + (-80 + 6 + 21)x^3 + (-3 - 6)x^2 + (60 + 3)x - 30 \\ = & 56x^6 - 8x^5 - 34x^4 - 53x^3 - 9x^2 + 63x - 30. \end{array}

2.Another way to evaluate a polynomial A(x) of degree-bound n at a given point x_0 is to divide A(x) by the polynomial (x - x_0), obtaining a quotient polynomial q(x) of degree-bound n - 1 and a remainder r, such that

A(x) = q(x)(x - x_0) + r

Clearly, A(x_0) = r. Show how to compute the remainder r and the coefficients of q(x) in time \Theta(n) from x_0​ and the coefficients of A.

Let A be the matrix with 1's on the diagonal, −x_0-x_0​'s on the super diagonal, and 0's everywhere else. Let q be the vector (r, q_0, q_1, \dots, x_{n-2}). If a = (a_0, a_1, \dots, a_{n-1}) then we need to solve the matrix equation Aq = a to compute the remainder and coefficients. Since A is tridiagonal, Problem 28-1 (e) tells us how to solve this equation in linear time.

3.Derive a point-value representation for A^\text{rev}(x) = \sum_{j = 0}^{n - 1} a_{n - 1 - j}x^j from a point-value representation forA(x) = \sum_{j = 0}^{n - 1} a_jx^j, assuming that none of the points is 0.

4.Prove that n distinct point-value pairs are necessary to uniquely specify a polynomial of degree-bound nn, that is, if fewer than nn distinct point-value pairs are given, they fail to specify a unique polynomial of degree-bound n. Hint: Using Theorem 30.1, what can you say about a set of n - 1 point-value pairs to which you add one more arbitrarily chosen point-value pair?)

5.Show how to use equation (30.5) to interpolate in time\Theta(n^2). Hint: First compute the coefficient representation of the polynomial\prod_j (x - x_j) and then divide by(x - x_k) as necessary for the numerator of each term; see Exercise 30.1-2. You can compute each of the nn denominators in time O(n).

6.Explain what is wrong with the "obvious" approach to polynomial division using a point-value representation, i.e., dividing the corresponding yy values. Discuss separately the case in which the division comes out exactly and the case in which it doesn't.

If we wish to compute P/Q but Q takes on the value zero at some of these points, then we can't carry out the "obvious" method. However, as long as all point value pairs (x_i, y_i) we choose for Q are such that y_i \ne 0, then the approach comes out exactly as we would like.

7.Consider two sets A and B, each having n integers in the range from 0 to 10n. We wish to compute the Cartesian sum of A and B, defined by

C = \{x + y: x \in A \text{ and } y \in B\}

Note that the integers in C are in the range from 0 to 20n. We want to find the elements of C and the number of times each element of C is realized as a sum of elements in A and B. Show how to solve the problem in O(nlgn) time.Hint: Represent A and B as polynomials of degree at most 10n.

30.2 The DFT and FFT

1.Prove Corollary 30.4.

根据引理30.3消去引理,这里设d=n/2,k=2,就可以得出:

w_n^{n/2}=w_2=-1

2.Compute the DFT of the vector (0,1,2,3).

y_0 = 0*w_4^0 + 1*w_4^{0*1} + 2*w_4^{0*2} + 3*w_4^{0*3} = 0 + 1+ 2+3 =6

y_1 = 0*w_4^{1*0} + 1*w_4^{1*1} + 2*w_4^{1*2} + 3*w_4^{1*3}=i-2-3i = -2-2i

y_2 = 0*w_4^{2*0} + 1*w_4^{2*1} + 2*w_4^{2*2} + 3*w_4^{2*3}= -1 + 2 -3 =-2

y_3 = 0*w_4^{3*0} + 1*w_4^{3*1} + 2*w_4^{3*2} + 3*w_4^{3*3}= -i - 2 +3i =2i-2

3.Do Exercise 30.1-1 by using the Θ(nlgn)-time scheme.

4.Write pseudocode to compute \text{DFT}_n^{-1} Θ(nlgn) time.

Python代码:

1).DFT:

import numpy as npdef recursive_fft(a):n = len(a)if n == 1:return aw_n = np.exp(complex(0,2*np.pi/n))w = 1a0 = a[0:n:2]a1 = a[1:n:2]y0 = recursive_fft(a0)y1 = recursive_fft(a1)y = np.zeros(n,dtype='complex')for k in np.arange(0,n//2):y[k] = y0[k] + w*y1[k]y[k + n//2] = y0[k] - w*y1[k]w = w*w_nreturn yprint(recursive_fft([0,1,2,3]))

示例计算了本节习题2,输出为:[ 6.+0.j -2.-2.j -2.+0.j -2.+2.j]

2).逆DFT:

import numpy as npdef recursive_inverse_fft_base(y):n = len(y)if n == 1:return yw_n = np.exp(complex(0,-2*np.pi/n))w = 1y0 = y[0:n:2]y1 = y[1:n:2]a0 = recursive_inverse_fft_base(y0)a1 = recursive_inverse_fft_base(y1)a = np.zeros(n,dtype='complex')for k in np.arange(0,n//2):a[k] = (a0[k] + w*a1[k])a[k + n//2] = (a0[k] - w*a1[k])w = w*w_nreturn adef recursive_inverse_fft(y):a = recursive_inverse_fft_base(y)return a / len(y)print(recursive_inverse_fft([6,-2-2j,-2,-2+2j]))

这是对本节第2题求逆,结果应该是[0,1,2,3].代码运行结果为:

[0.+0.000000e+00j 1.-6.123234e-17j 2.+0.000000e+00j 3.+6.123234e-17j]

第2项和第4项有一个极小的j,这是计算浮点数的误差导致,可以认为是0,结果就是[0,1,2,3].

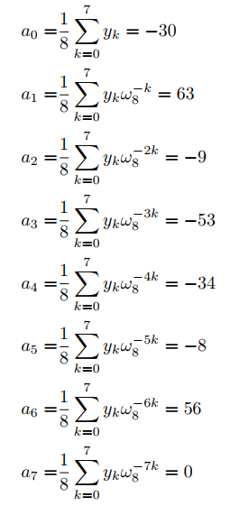
3).结合fft的代码计算本节第3题:

a = np.array([7,-1,1,-10,0,0,0,0])
b = np.array([8,0,-6,3,0,0,0,0])
ya = recursive_fft(a)
yb = recursive_fft(b)
yc = ya*yb
c = recursive_inverse_fft(yc)
print(c)

输出结果:

[ 56.-3.55271368e-15j  -8.+8.75870054e-15j -34.+0.00000000e+00j
 -53.-6.98234370e-15j  -9.+3.55271368e-15j  63.-5.45215418e-15j
 -30.+0.00000000e+00j   0.+3.67579734e-15j]

因为我们做了后补0,因此需要把输出中最后一项0去掉,系数从高到低就是[56,-8,-34,-53,-9,63,-30]

5.Describe the generalization of theFFT procedure to the case in which nn is a power of 3. Give a recurrence for the running time, and solve the recurrence.

6.Suppose that instead of performing an nn-element FFT over the field of complex numbers (where nn is even), we use the ring Zm​ of integers modulo m, where m = 2^{tn / 2} + 1 and t is an arbitrary positive integer. Use \omega = 2^t instead of \omega_n as a principal nth root of unity, modulo mm. Prove that the DFT and the inverse DFT are well defined in this system.

7.Given a list of values z_0, z_1, \dots, z_{n - 1} (possibly with repetitions), show how to find the coefficients of a polynomial P(x) of degree-bound n+1 that has zeros only at z_0, z_1, \dots, z_{n - 1}(possibly with repetitions). Your procedure should run in time O(n\lg^2 n). (Hint: The polynomial  P(x) has a zero at z_j if and only if P(x) is a multiple of(x - z_j)

8.The chirp transform of a vectora = (a_0, a_1, \dots, a_{n - 1}) is the vector y = (y_0, y_1, \dots, y_{n - 1}), wherey_k = \sum_{j = 0}^{n - 1} a_jz^{kj}and z is any complex number. The DFT is therefore a special case of the chirp transform, obtained by taking z = \omega_n​. Show how to evaluate the chirp transform in time O(n\lg n) for any complex number z.  Hint: Use the equation

y_k = z^{k^2 / 2} \sum_{j = 0}^{n - 1} \Big(a_jz^{j^2 / 2}\Big) \Big(z^{-(k - j)^2 / 2}\Big)

to view the chirp transform as a convolution.)

30.3 Efficient FFT implementations

1.Show how ITERATIVE-FFT computes the DFT of the input vector (0,2,3,−1,4,5,7,9).

2.Show how to implement an FFT algorithm with the bit-reversal permutation occurring at the end, rather than at the beginning, of the computation. Hint: Consider the inverse DFT.

We can consider ITERATIVE-FFT as working in two steps, the copy step (line 1) and the iteration step (lines 4 through 14). To implement in inverse
iterative FFT algorithm, we would need to first reverse the iteration step, then reverse the copy step. We can do this by implementing the INVERSEINTERATIVE-FFT algorithm exactly as we did with the FFT algorithm, but this time creating the iterative version of RECURSIVE-FFT-INV as given in exercise 30.2-4.

3.How many times does ITERATIVE-FFT compute twiddle factors in each stage? Rewrite ITERATIVE-FFT to compute twiddle factors only 2^{s - 1} times in stage s.

4.Suppose that the adders within the butterfly operations of the FFT circuit sometimes fail in such a manner that they always produce a zero output, independent of their inputs. Suppose that exactly one adder has failed, but that you don't know which one. Describe how you can identify the failed adder by supplying inputs to the overall FFT circuit and observing the outputs. How efficient is your method?

First observe that if the input to a butterfly operation is all zeros, then so is the output. Our initial input will be (a_0,a_1...a_{n-1}) where a_i = 0 if 0 ≤ i ≤ n/2 - 1, and i otherwise. By examining the diagram on page 919, we see that the zeros will propogate as half the input to each butterfly operation in the final stage. Thus, if any of the output values are 0 we know that one of
the y_k’s is zero, where k ≥ n/2 - 1. If this is the case, then the faulty butterfly added occurs along the wire connected to yk. If none of the output values are zero, the faulty butterfly adder must occur as one which only deals with the first n/2 - 1 wires. In this case, we rerun the test with input such that a_i = i if 0 ≤ i ≤ n=2 - 1 and 0 otherwise. This time, we will know for sure which of the first n/2-1 wires touches the faulty butterfly adder. Since only lg n adders touch a given wire, we have reduced the problem of size n to a problem of size lg n. Thus, at most 2 lg^* n = O(lg^*n)  tests are required.
 

Problems

1.Divide-and-conquer multiplication:

a. Show how to multiply two linear polynomials ax + b  and cx + d  using only three multiplications. Hint: One of the multiplications is(a + b) \cdot (c + d)

b. Give two divide-and-conquer algorithms for multiplying two polynomials of degree-bound nn inΘ(nlg3) time. The first algorithm should divide the input polynomial coefficients into a high half and a low half, and the second algorithm should divide them according to whether their index is odd or even.

c. Show how to multiply two nn-bit integers in O(nlg3) steps, where each step operates on at most a constant number of 1-bit values.

2.A Toeplitz matrix is an  n×n matrix A = (a_{ij}) such that a_{ij} = a_{i - 1, j - 1}​ for i = 2, 3, \dots, n and j = 2, 3, \dots, n.

a. Is the sum of two Toeplitz matrices necessarily Toeplitz? What about the product?

b. Describe how to represent a Toeplitz matrix so that you can add two n×n Toeplitz matrices in  O(n) time.

c. Give an  O(nlgn)-time algorithm for multiplying an  n×n Toeplitz matrix by a vector of length n. Use your representation from part (b).

d. Give an efficient algorithm for multiplying two n×n Toeplitz matrices. Analyze its running time.

3. Multidimensional fast Fourier transform

We can generalize the 1-dimensional discrete Fourier transform defined by equation(30.8) to d dimensions. The input is a d-dimensional array A = (a_{j_1, j_2, \dots, j_d}) whose dimensions are n_1, n_2, \dots, n_d​, where n_1n_2 \cdots n_d = n. We define the d-dimensional discrete Fourier transform by the equation

y_{k_1, k_2, \dots, k_d} = \sum_{j_1 = 0}^{n_1 - 1} \sum_{j_2 = 0}^{n_2 - 1} \cdots \sum_{j_d = 0}^{n_d - 1} a_{j_1, j_2, \cdots, j_d} \omega_{n_1}^{j_1k_1}\omega_{n_2}^{j_2k_2} \cdots \omega_{n_d}^{j_dk_d}

for 0 \le k_1 < n_1, 0 \le k_2 < n_2, \dots, 0 \le k_d < n_d

a. Show that we can compute a dd-dimensional DFT by computing 1-dimensional DFTs on each dimension in turn. That is, we first compute n/n_1 ​ separate 1-dimensional DFTs along dimension 1. Then, using the result of the DFTs along dimension 1 as the input, we compute n/n_2 separate 1-dimensional DFTs along dimension 2. Using this result as the input, we compute n / n_3  separate 1-dimensional DFTs along dimension 3, and so on, through dimension d.

b. Show that the ordering of dimensions does not matter, so that we can compute a d-dimensional DFT by computing the 1-dimensional DFTs in any order of the d dimensions.

c. Show that if we compute each 1-dimensional DFT by computing the fast Fourier transform, the total time to compute a d-dimensional DFT is O(nlgn), independent of d.

4.Evaluating all derivatives of a polynomial at a point

Given a polynomial  A(x) of degree-bound n, we define its tth derivative by

A^{(t)}(x) = \begin{cases} A(x) & \text{ if } t = 0, \\ \frac{d}{dx} A^{(t - 1)}(x) & \text{ if } 1 \le t \le n - 1, \\ 0 & \text{ if } t \ge n. \end{cases}

From the coefficient representation (a_0, a_1, \dots, a_{n - 1}) of A(x) and a given point x_0​, we wish to determine A^{(t)}(x_0) for t = 0, 1, \dots, n- 1.

a. Given coefficients b_0, b_1, \dots, b_{n - 1} such that

A(x) = \sum_{j = 0}^{n - 1} b_j(x - x_0)^j

show how to compute A^{(t)}(x_0) for t = 0, 1, \dots, n - 1 in O(n) time.

b. Explain how to find b_0, b_1, \dots, b_{n - 1}​ in O(n\lg n) time, given A(x_0 + \omega_n^k) for k = 0, 1, \dots, n - 1.

c. Prove that

A(x_0 + \omega_n^k) = \sum_{r = 0}^{n - 1} \Bigg(\frac{\omega_n^{kr}}{r!} \sum_{j = 0}^{n - 1} f(j)g(r - j)\Bigg)

where f(j) = a_j \cdot j! and

g(l) = \begin{cases} x_0^{-l} / (-l)! & \text{ if } -(n - 1) \le l \le 0, \\ 0 & \text{ if } 1 \le l \le n - 1. \end{cases}

d. Explain how to evaluate A(x_0 + \omega_n^k)  for k = 0, 1, \dots, n - 1  in O(nlgn) time. Conclude that we can evaluate all nontrivial derivatives of A(x) at x_0 in O(nlgn) time.

5. Polynomial evaluation at multiple points

We have seen how to evaluate a polynomial of degree-bound nn at a single point in O(n) time using Horner's rule. We have also discovered how to evaluate such a polynomial at all n complex roots of unity in O(nlgn) time using the FFT. We shall now show how to evaluate a polynomial of degree-bound n at n arbitrary points inO(n\lg^2 n)  time.

To do so, we shall assume that we can compute the polynomial remainder when one such polynomial is divided by another inO(nlgn) time, a result that we state without proof. For example, the remainder of 3x^3 + x^2 - 3x + 1  when divided by x^2 + x + 2 is

(3x^3 + x^2 - 3x + 1) \mod (x^2 + x + 2) = -7x + 5.

Given the coefficient representation of a polynomial A(x) = \sum_{k = 0}^{n - 1} a_kx^k and n points x_0, x_1, \dots, x_{n - 1}​, we wish to compute the n values A(x_0), A(x_1), \dots, A(x_{n - 1}). For 0 \le i \le j \le n - 1, define the polynomials P_{ij}(x) = \prod_{k = i}^j (x - x_k) and Q_{ij}(x) = A(x) \mod P_{ij}(x). Note that Q_{ij}(x) has degree at most j - i.

a. Prove that A(x) \mod (x - z) = A(z) for any point zz.

b. Prove that Q_{kk}(x) = A(x_k) and that Q_{0, n - 1}(x) = A(x).

c. Prove that for i \le k \le j, we have Q_{ik}(x) = Q_{ij}(x) \mod P_{ik}(x) and Q_{kj}(x) = Q_{ij}(x) \mod P_{kj}(x)

d. Give an O(n\lg^2 n)-time algorithm to evaluate A(x_0), A(x_1), \dots, A(x_{n - 1})

6. FFT using modular arithmetic

As defined, the discrete Fourier transform requires us to compute with complex numbers, which can result in a loss of precision due to round-off errors. For some problems, the answer is known to contain only integers, and by using a variant of the FFT based on modular arithmetic, we can guarantee that the answer is calculated exactly. An example of such a problem is that of multiplying two polynomials with integer coefficients. Exercise 30.2-6 gives one approach, using a modulus of length Ω(n) bits to handle a DFT on n points. This problem gives another approach, which uses a modulus of the more reasonable lengthO(lgn); it requires that you understand the material of Chapter 31. Let n be a power of 2.

a. Suppose that we search for the smallest k such thatp=kn+1 is prime. Give a simple heuristic argument why we might expect k to be approximately lnn. (The value of k might be much larger or smaller, but we can reasonably expect to examineO(lgn) candidate values of k on average.) How does the expected length of pp compare to the length of n?

Let g be a generator of\mathbb Z_p^*, and let w = g^k \mod p.

b. Argue that the DFT and the inverseDFT are well-defined inverse operations modulo p, where w is used as a principal nth root of unity.

c. Show how to make the FFT and its inverse work modulo p in time O(nlgn), where operations on words of O(lgn) bits take unit time. Assume that the algorithm is given p and w.

d. Compute the DFT modulo p=17 of the vector (0,5,3,7,7,2,1,6). Note that g=3 is a generator of \mathbb Z_{17}^*​.

b,c,d omitted.

 

 

 


http://chatgpt.dhexx.cn/article/2Z2UXWqA.shtml

相关文章

算法导论第三版 第4章习题答案

2020/10/31:初稿&#xff0c;参考https://walkccc.github.io/CLRS/Chap04/4.1/&#xff0c;并增加相应的Python代码. 4 Divide-and-Conquer 4.1 The maximum-subarray problem 1.What does FIND-MAXIMUM-SUBARRAY return when all elements of A are negative? It will ret…

算法导论第三版 第3章习题答案

2020/10/28:初稿&#xff0c;参考https://ita.skanev.com/&#xff0c;修订参考文献的部分错误 2020/10/30:修订第二节第4题的证明错误(参考https://blog.csdn.net/qq_36414798/article/details/81028403) 3 Growth of Functions 3.1 Asymptotic notation 1.Let f(n) g(n)…

算法导论第四版

摘要: 算法导论第四版介绍 【对算法&#xff0c;数学&#xff0c;计算机感兴趣的同学&#xff0c;欢迎关注我哈&#xff0c;阅读更多原创文章】 我的网站&#xff1a;潮汐朝夕的生活实验室 我的公众号&#xff1a;算法题刷刷 我的知乎&#xff1a;潮汐朝夕 我的github&#xff…

山东大学软件学院2021算法导论期末试题

山大软院算法期末题回忆版 可能乱序and有差错&#xff0c;仅供参考 老师会捞的 题目都很简单 不需要太复习 1.三种时间复杂度比较异同 2.T(n)T(n*3/4)nlogn 求T(n)的最大上界 3.npc问题证明 4.强连通分量 算法思想和证明 5.图三个证明 &#xff08;1&#xff09;证明最短路的…

算法导论第三版 第29章习题答案

参考文献&#xff1a; https://walkccc.me/CLRS/Chap29/29.1/https://sites.math.rutgers.edu/~ajl213/CLRS/ 29.Linear Programming 29.1 Standard and slack forms 1.If we express the linear program in (29.24)–(29.28) in the compact notation of (29.19)–(29.21)…

算法导论 观后感一

此文章只作为自己看算法导论的一些理解和想法&#xff0c;希望自己能坚持下去。 算法的在计算中的应用 什么是算法&#xff1f;算法的作用&#xff1f;为什么要研究算法&#xff1f;对于算法我常有的想法是必然和数学相关&#xff0c;而且必定是高等数学之上的。甚至很多目前…

《算法导论》常见算法总结

前言&#xff1a;本篇文章总结中用到很多其他博客内容&#xff0c;本来想附上原作链接&#xff0c;但很久了未找到&#xff0c;这里关于原创性均来源于原作者。 分治法 分治策略的思想&#xff1a; 顾名思义&#xff0c;分治是将一个原始问题分解成多个子问题&#xff0c;而…

算法导论复习题

文章目录 第一章 复杂度第二章 递归与分治2.1 排列问题2.2 整数划分问题2.3 分治时间复杂度2.5 汉诺塔时间复杂度2.6二分搜索时间复杂度2.7 金块问题2.9 棋盘覆盖复杂度2.10 合并排序时间复杂度2.11 快速排序2.11 线性时间选择 第三章 动态规划3.1 矩阵连乘问题3.2 最长公共子序…

算法导论 pdf_下载算法导论_高清_pdf

关注我,持续更新好资料 点击下方链接,获得资料 ↓ ↓ ↓ ↓ ↓ ↓ ↓ ↓ ↓ ↓ ↓ ↓ 这个公众号全是好资料,干货满满 算法导论pdf下载_书籍大小55M 此内容,仅限个人阅读,不得翻印,不得上传网络,不得用于谋利。 若因传播引起任何纠纷,由下载者自行负责。…

算法导论

1.算法在计算中的作用 1.1算法 算法解决哪些问题 数据结构 技术&#xff0c;算法设计分析技术 难题&#xff0c;PE完全问题 并行性 1.2作为一种技术的算法 效率 算法与其他技术 2.算法基础 2.1插入排序 代码 public static void main(String[] args) {int[] array {5, 2, 4, 6…

书评《算法导论》

最近空闲时间在看《算法导论》。由于之前有数据结构与算法的基础&#xff0c;并且也写过几百道代码题。所以现在看这本书反而有了一些更深的感悟。 《算法导论》确实不适合初学者&#xff0c;尤其是不适合实践派。对于实践派&#xff0c;《数据结构与算法分析——C语言描述》、…

蓝牙sbc怎么解决_【科普】蓝牙音频常用的编解码格式

蓝牙耳机的参数你是否都了解,那些看起来貌似高大上的技术是如何改变蓝牙音质和传输稳定性的,下面dy君就带你了解主流的几种蓝牙音频编码格式: SBC (Sub-band coding,子带编码) 最早的格式应该是SBC,SBC是A2DP(Advanced Audio DistribuTIon Profile,蓝牙音频传输协议)…

蓝牙音频双剑客(二)--高质量音频分布协议(A2DP) 连接播放音乐断开流程(被连接)介绍

零. 概述 主要介绍下蓝牙协议栈&#xff08;bluetooth stack&#xff09;传统蓝牙音频协议之高质量音频分布协议(A2DP) 连接播放音乐断开流程(被连接)介绍 一. 声明 本专栏文章我们会以连载的方式持续更新&#xff0c;本专栏计划更新内容如下&#xff1a; 第一篇:蓝牙综合介绍…

基于AVDTP信令分析蓝牙音频启动流程

前言 公司项目edifier那边需要在原来音频SBC,AAC基础上增加LHDC5.0编码&#xff0c;在打通lhdc协议栈之前&#xff0c;学习记录一番AVDTP音频服务流程。 一、AVDTP音频流基础知识 分析音频流程首先应具备的最简单基础概念知识&#xff1a;AVDTP信令signal&#xff0c;流端点se…

蓝牙音频广播多连接模块技术方案

蓝牙我们应该都很熟悉&#xff0c;现在的蓝牙应用在生活中随时随地都可以见得到&#xff0c;尤其是蓝牙音频;常见的蓝牙一般都是点对点的&#xff0c;或者就是TWS&#xff0c;一拖二功能&#xff0c;但是有一些使用场景&#xff0c;是需要一拖多的&#xff0c;需要多个音响同步…

当前市场主流蓝牙音频SOC

2020年5月9日更&#xff1a; 目前安卓已经全面支持LDAC了&#xff0c;讨论其他格式的蓝牙音频方案已经没多大意义了。 对于真无线耳机方案来说&#xff0c;也就剩高通和苹果了&#xff0c;开发者可选也就高通了。 这个市场已经归一统了~~~~~~不要看下面的内容浪费时间了。 -…

海贝思蓝牙接收器Linux,Hagibis海备思 蓝牙音频接收 耳机怎么样,评测

Hagibis海备思 蓝牙音频接收 耳机怎么样,评测&#xff1a; 1、很不错&#xff0c;与车子AUX连接电话声音很青楚&#xff0c;物有值 2、还行&#xff0c;免提打电话效果还可以&#xff0c;就是充电线和音频线一起走的那么细一根线&#xff0c;我也是醉了。声音效果一般&#xff…

蓝牙音频编码简介 - SBC、AAC、AptX、LDAC、LHDC

https://zhuanlan.zhihu.com/p/265597723 早在2000年&#xff0c;蓝牙耳机就已经出现&#xff0c;但由于技术限制&#xff0c;只能用于通话。2008年&#xff0c;随着蓝牙A2DP(Advanced Audio Distribution Profile)开始普及&#xff0c;立体声蓝牙耳机日渐流行。发展到现在&am…

蓝牙技术|伦茨科技带你了解蓝牙音频

蓝牙设备在日常生活中随处可见&#xff0c;用蓝牙耳机或音箱听音乐已经成为蓝牙最主流的应用之一。这些都用到我们的蓝牙音频技术。 蓝牙音频协议HFP&#xff0c;HSP&#xff0c;A2DP&#xff0c;AVRCP&#xff0c;OPP&#xff0c;PBAP HFP HFP(Hands-free Profile)&#xf…

蓝牙基础:蓝牙音频

前言 蓝牙耳机中存在两种 通话音频 和 音乐音频两种音频。 1 通话音频 1.1 音频链路 通话中的音频数据&#xff08;Audio&#xff09;直接通过基带上的SCO链路进行传输 音频通路(1) Audio-》Voice-》SCO/eSCO-》HCI-》Baseband(2) Audio-》Voice-》PCM-》Baseband这两种方…