逻辑斯蒂回归分类算法

article/2025/10/14 1:13:43

逻辑斯蒂回归分类算法

首先来看一个线性回归来进行分类的问题: 怎样判断肿瘤是否恶性?
在这里插入图片描述
很明显线性回归用于分类问题无法处理边界点的位置。

同时,线性回归健壮性不够,一旦有噪声,立刻“投降”

在这里插入图片描述

使用逻辑斯蒂回归 —— 分类问题

在这里插入图片描述

Sigmoid函数(压缩函数)

在这里插入图片描述
在这里插入图片描述

sigmoid函数中,e-z 中 z 的正负决定了 g(z) 的值最后是大于 0.5 还是小于 0.5;即 z 大于 0 时,g(z) 大于 0.5,z 小于 0 时,g(z)小于 0.5

当 z 对应的表达式为分类边界时,恰好有分类边界两侧对应 z 正负不同,也就使得分类边界两边分别对应 g(z)>0.5 和 g(z)<0.5,因此根据 g(z) 与 0.5 的大小关系,就可以实现分类

来看两个示例
在这里插入图片描述

在这里插入图片描述
在这里插入图片描述
在这里插入图片描述
在这里插入图片描述
我们将线性回归拟合出来的值用压缩函数进行压缩,压缩完成后用 0.5 做一个概率的判定边界,就能把样本分成两类,即正样本和负样本

在这里插入图片描述
在这里插入图片描述
在这里插入图片描述
在这里插入图片描述

逻辑斯谛回归损失函数

  • 平方损失函数的问题
    在这里插入图片描述

如果使用梯度下降法求解算法可能无法得到全局最优解,最小二乘法求解不适用于多元函数。

我们期待的损失函数为一个凸函数,可以使用梯度下降求解最优质值。

在这里插入图片描述

考虑到对数函数中可以根据零点将数据定义划分为正类和负类:
在这里插入图片描述
因此,在逻辑回归分类算法中,我们的损失函数定义如下:
在这里插入图片描述

在这里插入图片描述
在这里插入图片描述

因此,在逻辑回归分类算法中,我们的损失函数定义如下:
在这里插入图片描述
在这里插入图片描述

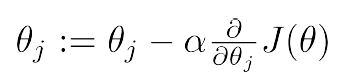
梯度下降法求解

在这里插入图片描述

在这里插入图片描述

代码案例

import numpy as np
import pandas as pdfrom sklearn.linear_model import LogisticRegression
from sklearn.preprocessing import StandardScaler, PolynomialFeatures
from sklearn.pipeline import Pipeline
from sklearn.datasets import load_irisimport matplotlib as mpl
import matplotlib.pyplot as pltif __name__ == "__main__":#引入sklearn里面的数据集,iris鸢尾花iris = load_iris()df = pd.DataFrame(data = iris.data, columns = iris.feature_names)df['class'] = iris.targetdf['class'] = df['class'].map({0:iris.target_names[0], 1:iris.target_names[1], 2:iris.target_names[2]})#path = 'iris.data'#data = pd.read_csv(path, header=None)#对类别进行编码df[4] = pd.Categorical(data[4]).codes#划分训练集测试集x,y = np.split(data.values, (4,), axis=1)x = x[:, :2]#创建训练模型lr = Pipeline( [('sc',StandardScaler()),('poly',PolynomialFeatures(degree=2)),('clf',LogisticRegression())] )lr.fit(x, y.ravel())y_hat = lr.predict(x)y_hat_prob = lr.predict_proba(x)np.set_printoptions(suppress=True)#print('y_hat = \n', y_hat)#print('y_hat_prob = \n', y_hat_prob)print('准确率:%.2f%%' % (100 * np.mean(y_hat == y.ravel())))# 画图N, M = 500, 500  # 横纵各采样多少个值x1_min, x1_max = x[:, 0].min(), x[:, 0].max()  # 第0列的范围x2_min, x2_max = x[:, 1].min(), x[:, 1].max()  # 第1列的范围t1 = np.linspace(x1_min, x1_max, N)t2 = np.linspace(x2_min, x2_max, M)x1, x2 = np.meshgrid(t1, t2)  # 生成网格采样点x_test = np.stack((x1.flat, x2.flat), axis=1)  # 测试点mpl.rcParams['font.sans-serif'] = ['simHei']mpl.rcParams['axes.unicode_minus'] = Falsey_hat = lr.predict(x_test)  # 预测值y_hat = y_hat.reshape(x1.shape)  # 使之与输入的形状相同plt.figure(facecolor='w')plt.pcolormesh(x1, x2, y_hat)  # 预测值的显示plt.scatter(x[:, 0], x[:, 1], c=np.squeeze(y), s=50)  # 样本的显示plt.xlabel('花萼长度', fontsize=14)plt.ylabel('花萼宽度', fontsize=14)plt.xlim(x1_min, x1_max)plt.ylim(x2_min, x2_max)plt.grid()plt.title("Logistic回归-鸢尾花", fontsize=17)plt.show()

在这里插入图片描述


http://chatgpt.dhexx.cn/article/y8otxo8P.shtml

相关文章

逻辑斯蒂回归(二分类算法)理论+Python代码实现

逻辑斯蒂回归&#xff08;二分类算法&#xff09;理论Python代码实现 文章目录 逻辑斯蒂回归&#xff08;二分类算法&#xff09;理论Python代码实现一、理论基础&#xff08;一&#xff09; 基于 Logistic 回归和 Sigmoid 函数的分类&#xff08;二&#xff09; 模型训练与代价…

逻辑斯蒂回归 逻辑回归_逻辑回归简介

逻辑斯蒂回归 逻辑回归 Logistic regression is a classification algorithm, which is pretty popular in some communities especially in the field of biostatistics, bioinformatics and credit scoring. It’s used to assign observations a discrete set of classes(ta…

Logistic Regression 逻辑斯蒂回归

文章目录 5、Logistic Regression 逻辑斯蒂回归5.1 回归任务5.1.1 MNIST Dataset5.1.2 CIFAR-10 Dataset 5.2 Regression vs Classification 回归 vs 分类5.3 Sigmoid functions5.3.1 Logistic Function [0, 1]5.3.2 Other Functions [-1, 1] 5.4 Model 模型5.5.1 torch.sigmoi…

机器学习-逻辑斯蒂回归(Logistic Regression)

注&#xff1a;内容转自https://github.com/NLP-LOVE/ML-NLP/tree/master/Machine%20Learning&#xff0c;略有修改。 目录 逻辑 1. 什么是逻辑斯蒂回归 2. 什么是Sigmoid函数 3. 损失函数是什么 4.可以进行多分类吗&#xff1f; 5.逻辑斯蒂回归有什么优缺点 6. 逻辑斯…

逻辑斯蒂回归

一&#xff1a;二元逻辑回归模型 二项逻辑斯蒂回归模型是如下的条件概率分布&#xff1a; 其中&#xff0c;Y为输出&#xff0c;w称为权值向量&#xff0c;b称为偏置。逻辑斯蒂回归比较两个条件概率值的大小&#xff0c;将实例x分到概率值较大的那一类。 一个事件的几率是指该…

【笔记】逻辑斯蒂回归

一、逻辑斯蒂回归概述 &#xff08;1&#xff09;逻辑斯蒂回归的目的&#xff1a;分类。 逻辑斯蒂回归常常解决分类问题&#xff0c;特别是二分类问题。 &#xff08;2&#xff09;逻辑斯蒂回归的过程&#xff1a;回归。 计算结果是0~1之间的连续值&#xff0c;代表发生的可…

逻辑斯蒂回归java_逻辑斯蒂回归模型

http://blog.csdn.net/hechenghai/article/details/46817031 主要参照统计学习方法、机器学习实战来学习。下文作为参考。 第一节中说了&#xff0c;logistic 回归和线性回归的区别是&#xff1a;线性回归是根据样本X各个维度的Xi的线性叠加(线性叠加的权重系数wi就是模型的参数…

逻辑斯蒂回归算法详解

逻辑斯蒂回归算法可用于分类问题&#xff0c;其本质是在线性回归的算法上用sigmoid函数进行模型变换&#xff0c;使得目标值介于0-1之间。本文用于对逻辑斯蒂回归算法&#xff08;Logistics Regression&#xff09;进行详细讲述。 逻辑斯蒂回归基本假设 我们知道线性回归的基…

【机器学习实验五】逻辑斯蒂回归

目录 一、逻辑斯蒂回归基本概念 1.1、基本概念 1.2、特点 1.3、Logistic分布 1.4、逻辑斯蒂回归模型 二、利用逻辑斯蒂模型进行分类测试 2.1、数据准备 2.2、编写代码查看数据集的分布情况 2.3、训练分类算法 2.4、绘制决策边界 三、从疝气病症状预测病马的死亡率 …

Logistic regression(逻辑斯蒂)回归分析

Logistic regression &#xff08;逻辑回归&#xff09;是当前业界比较常用的机器学习方法&#xff0c;用于估计某种事物的可能性。比如某用户购买某商品的可能性&#xff0c;某病人患有某种疾病的可能性&#xff0c;以及某广告被用户点击的可能性等。&#xff08;注意这里是&a…

逻辑斯谛回归(Logistic回归)最详解

Logistic回归学习思路 一.逻辑回归模型的原理与定义&#xff08;主要思想&#xff09; 逻辑斯谛回归是经典的分类方法&#xff0c;它属于对数线性模型&#xff0c;原理是根据现有的数据对分类边界线建立回归公式&#xff0c;以此进行分类。&#xff08;主要思想&#xff09; …

常用服务器型号整理

转载于:https://www.cnblogs.com/quzq/p/11285548.html

查看linux cpu 内存 服务器型号 序列号 磁盘 raid信息

安装dmidecode&#xff1a;yum -y install dmidecode 查看cpu的型号: 查看cpu的颗数&#xff1a; dmidecode -t processor |grep "Version" dmidecode -t processor |grep "Socket" 查看内存最大容量&#xff1a; 查看内存插槽数量&#xff1a; 查看内存大…

浪潮官网服务器型号,浪潮服务器有哪些型号,哪位了解?

NF8520系列市场价格&#xff1a;&#xffe5;152000-175000 浪潮英信NF8520采用全新QPI架构高速互联技术的四路服务器&#xff0c;支持最新英特尔至强处理器E7系列&#xff0c;成四个具备IOAT2VMDQ技术的高性能千兆网卡&#xff0c;在全面提升网络IO能力的同时&#xff0c;对虚…

服务器内存怎么看型号,怎么查看服务器内存的型号

怎么查看服务器内存的型号 内容精选 换一换 设备实时状态查询是检测设备在运行过程中的状态信息。用户可任选以下指令之一查看设备实时状态查询命令的可用参数。ascend-dmi -i -hascend-dmi -i --help各参数解释如表1所示。以查看芯片的详细信息为例。ascend-dmi -i -dt若推理服…

阿里云服务器型号大全及机型如何选择(建议收藏)

不同的阿里云实例规格可以提供的计算能力不同&#xff0c;适用于不同的业务场景和使用场景。 1、根据使用场景来选择 下图显示了阿里云ECS的部分通用计算和异构计算实例规格族及其对应的业务场景 简单来看&#xff0c;g6e和g6型能够满足一般的通用需求&#xff0c;对于比如金…

当前主流服务器型号,当前服务器的主流品牌 型号 配置

当前服务器的主流品牌 型号 配置 内容精选 换一换 Atlas 800 推理服务器(型号 3000)安装上架、服务器基础参数配置、安装操作系统等操作请参见《Atlas 800 推理服务器 用户指南(型号 3000)》&#xff0c;安装操作系统完成后&#xff0c;配置业务网口IP地址&#xff0c;请参见配…

系统里能看服务器型号,操作系统如何查看服务器型号

操作系统如何查看服务器型号 内容精选 换一换 硬件要求如表1所示。操作系统要求如表2所示。如果是全新安装操作系统&#xff0c;可选择“Minimal Install”安装方式并勾选Development Tools套件&#xff0c;否则很多软件包需要手动安装。 硬件要求如表1所示。操作系统要求如表2…

服务器主板型号命令,Linux通过命令查询服务器型号、主板、CPU、内存及硬盘信息...

测试环境:Dell服务器 CentOS 6.4 主要使用到的命令: dmidecode、cat、megaCli64、df 查询服务器型号: dmidecode -t 1 查询主板信息: dmidecode -t 2 查询CPU信息:查看CPU型号 cat /proc/cpuinfo | grep name | cut -f2 -d: | uniq -c 查看CPU物理个数 cat /proc/cpuinfo …

计算机服务器的品牌型号怎么看,戴尔服务器型号怎么看

在计算机流行的高科技时代&#xff0c;在使用计算机产品的时候&#xff0c;往往就会遇到各种各样的硬件问题以及操作系统带来的问题&#xff0c;如果在遇到这些问题之后自己无法处理&#xff0c;那么就需要报修&#xff0c;或者是咨询相关的官方人员&#xff0c;但是各位小伙伴…