【机器学习实验五】逻辑斯蒂回归

article/2025/10/14 2:27:56

目录

一、逻辑斯蒂回归基本概念

1.1、基本概念

1.2、特点

1.3、Logistic分布

1.4、逻辑斯蒂回归模型

 二、利用逻辑斯蒂模型进行分类测试

2.1、数据准备

2.2、编写代码查看数据集的分布情况

2.3、训练分类算法

2.4、绘制决策边界

三、从疝气病症状预测病马的死亡率 

3.1、项目背景

3.2、数据准备

3.3、使用Python构建logistics分类器

四、总结

4.1、Logistic回归的一般过程:

4.2、优缺点


一、逻辑斯蒂回归基本概念

1.1、基本概念

逻辑斯蒂(Logistic)回归又称为“对数几率回归”,虽然名字有回归,但是实际上却是一种经典的分类方法,其主要思想是:根据现有数据对分类边界线(Decision Boundary)建立回归公式,以此进行分类。

 1.2、特点

  • 优点:计算代价不高,具有可解释性,易于实现。不仅可以预测出类别,而且可以得到近似概率预测,对许多需要利用概率辅助决策的任务很有用。
  • 缺点:容易欠拟合,分类精度可能不高。
  • 适用数据类型:数值型和标称型数据。

1.3、Logistic分布

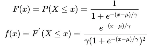
Logistic 分布是一种连续型的概率分布,其分布函数密度函数分别为:

其中,μ 表示位置参数,γ 为形状参数。我们可以看下逻辑斯蒂分布在不同的\亩\伽玛的情况下,其概率密度函数p\left( {x;\mu ,\lambda } \right)的图形:

               

 逻辑斯蒂分布在不同的\亩\伽玛的情况下,其概率分布函数P \ left({x;  \ mu,\ lambda} \ right)的图形:

             

 Logistic 分布是由其位置和尺度参数定义的连续分布。Logistic 分布的形状与正态分布的形状相似,但是 Logistic 分布的尾部更长,所以我们可以使用 Logistic 分布来建模比正态分布具有更长尾部和更高波峰的数据分布。在深度学习中常用到的 Sigmoid 函数就是 Logistic 的分布函数在μ=0,γ=1 的特殊形式。

1.4、逻辑斯蒂回归模型

逻辑斯蒂回归模型是一种分类模型,由条件概率分布P(Y|X)表示,形式为参数化的逻辑斯蒂分布。这里随机变量X取值为实数,随机变量Y取值为1或0。

二项逻辑斯谛回归模型是如下的条件概率分布:

                                  

这里x属于实数,Y属于{0,1}是输出,w和b是参数,w称为权值向量,b称为偏置,w*x为w和x的内积。

对于给定的输入实例x,按照上述分布函数可以求得P(Y=1|x)和P(Y=0|x)。逻辑斯谛回归是比较两个条件概率值的大小,将实例x分到概率值大的那一类。

有时候为了方便,将权值向量和输入向量加以扩充,仍记作w,x,即

                      

 这时,逻辑斯蒂回归模型如下:

                              

 得到上面的回归模型了,上面的回归模型中有一个未知参数w,在利用上述的模型对数据进行预测之前需要先求取参数w的值,这里采用极大似然估计的方法求取参数w。

假设:

                                             

                                         

 可以得到似然函数为:

                                       

 对似然函数取对数可得:

这样问题就变成了以对数似然函数为目标函数的最优化问题。逻辑斯蒂回归学习中通常采用的方法是梯度下降法或者梯度上升法。

将利用极大似然估计得到的w值代入上述的模型中,即可用于测试数据集的预测。

 二、利用逻辑斯蒂模型进行分类测试

2.1、数据准备

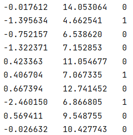
 如图所示,该数据有两个特征维度,我们可以将第一列看作x轴的值,第二列看作y轴的值,第三列为分类的标签。

2.2、编写代码查看数据集的分布情况

# -*- coding:UTF-8 -*-
import matplotlib.pyplot as plt
import numpy as np"""
函数说明:加载数据
Returns:dataMat - 数据列表labelMat - 标签列表
"""
def loadDataSet():dataMat = []                                                        #创建数据列表labelMat = []                                                        #创建标签列表fr = open('testSet.txt')                                            #打开文件for line in fr.readlines():                                            #逐行读取lineArr = line.strip().split()                                    #去回车,放入列表dataMat.append([1.0, float(lineArr[0]), float(lineArr[1])])        #添加数据labelMat.append(int(lineArr[2]))                                #添加标签fr.close()                                                            #关闭文件return dataMat, labelMat                                            #返回"""
函数说明:绘制数据集
"""
def plotDataSet():dataMat, labelMat = loadDataSet()                                    #加载数据集dataArr = np.array(dataMat)                                            #转换成numpy的array数组n = np.shape(dataMat)[0]                                            #数据个数xcord1 = []; ycord1 = []                                            #正样本xcord2 = []; ycord2 = []                                            #负样本for i in range(n):                                                    #根据数据集标签进行分类if int(labelMat[i]) == 1:xcord1.append(dataArr[i,1]); ycord1.append(dataArr[i,2])    #1为正样本else:xcord2.append(dataArr[i,1]); ycord2.append(dataArr[i,2])    #0为负样本fig = plt.figure()ax = fig.add_subplot(111)                                            #添加subplotax.scatter(xcord1, ycord1, s = 20, c = 'black', marker = 's',alpha=.5)#绘制正样本ax.scatter(xcord2, ycord2, s = 20, c = 'red',alpha=.5)            #绘制负样本plt.title('DataSet')                                                #绘制titleplt.xlabel('x'); plt.ylabel('y')                                    #绘制labelplt.show()                                                            #显示if __name__ == '__main__':plotDataSet()

                

 如图所示:假设Sigmoid函数的输入记为z,那么z=w0x0 + w1x1 + w2x2,即可将数据分割开。其中,x0为全是1的向量,x1为数据集的第一列数据,x2为数据集的第二列数据。因此,我们需要求出这个方程未知的参数w0,w1,w2,也就是我们需要求的回归系数(最优参数)。

2.3、训练分类算法

# -*- coding:UTF-8 -*-
import numpy as npdef loadDataSet():dataMat = []                                                        #创建数据列表labelMat = []                                                        #创建标签列表fr = open('testSet.txt')                                            #打开文件for line in fr.readlines():                                            #逐行读取lineArr = line.strip().split()                                    #去回车,放入列表dataMat.append([1.0, float(lineArr[0]), float(lineArr[1])])        #添加数据labelMat.append(int(lineArr[2]))                                #添加标签fr.close()                                                            #关闭文件return dataMat, labelMat                                            #返回"""
函数说明:sigmoid函数Parameters:inX - 数据
Returns:sigmoid函数
"""
def sigmoid(inX):return 1.0 / (1 + np.exp(-inX))"""
函数说明:梯度上升算法Parameters:dataMatIn - 数据集classLabels - 数据标签
Returns:weights.getA() - 求得的权重数组(最优参数)
"""
def gradAscent(dataMatIn, classLabels):dataMatrix = np.mat(dataMatIn)                                        #转换成numpy的matlabelMat = np.mat(classLabels).transpose()                            #转换成numpy的mat,并进行转置m, n = np.shape(dataMatrix)                                            #返回dataMatrix的大小。m为行数,n为列数。alpha = 0.001                                                        #移动步长,也就是学习速率,控制更新的幅度。maxCycles = 500                                                        #最大迭代次数weights = np.ones((n,1))for k in range(maxCycles):h = sigmoid(dataMatrix * weights)                                #梯度上升矢量化公式error = labelMat - hweights = weights + alpha * dataMatrix.transpose() * errorreturn weights.getA()                                                #将矩阵转换为数组,返回权重数组if __name__ == '__main__':dataMat, labelMat = loadDataSet()print(gradAscent(dataMat, labelMat))

运行结果:

 现在,我们已经求出了未知的参数w0,w1,w2,接下去通过求解出的参数,我们就可以确定不同类别数据之间的分隔线,画出决策边界。

2.4、绘制决策边界

# -*- coding:UTF-8 -*-
import matplotlib.pyplot as plt
import numpy as np"""
函数说明:加载数据Parameters:无
Returns:dataMat - 数据列表labelMat - 标签列表
"""
def loadDataSet():dataMat = []                                                        #创建数据列表labelMat = []                                                        #创建标签列表fr = open('testSet.txt')                                            #打开文件for line in fr.readlines():                                            #逐行读取lineArr = line.strip().split()                                    #去回车,放入列表dataMat.append([1.0, float(lineArr[0]), float(lineArr[1])])        #添加数据labelMat.append(int(lineArr[2]))                                #添加标签fr.close()                                                            #关闭文件return dataMat, labelMat                                            #返回"""
函数说明:sigmoid函数Parameters:inX - 数据
Returns:sigmoid函数
"""
def sigmoid(inX):return 1.0 / (1 + np.exp(-inX))"""
函数说明:梯度上升算法Parameters:dataMatIn - 数据集classLabels - 数据标签
Returns:weights.getA() - 求得的权重数组(最优参数)
"""
def plotDataSet():dataMat, labelMat = loadDataSet()                                    #加载数据集dataArr = np.array(dataMat)                                            #转换成numpy的array数组n = np.shape(dataMat)[0]                                            #数据个数xcord1 = []; ycord1 = []                                            #正样本xcord2 = []; ycord2 = []                                            #负样本for i in range(n):                                                    #根据数据集标签进行分类if int(labelMat[i]) == 1:xcord1.append(dataArr[i,1]); ycord1.append(dataArr[i,2])    #1为正样本else:xcord2.append(dataArr[i,1]); ycord2.append(dataArr[i,2])    #0为负样本fig = plt.figure()ax = fig.add_subplot(111)                                            #添加subplotax.scatter(xcord1, ycord1, s = 20, c = 'red', marker = 's',alpha=.5)#绘制正样本ax.scatter(xcord2, ycord2, s = 20, c = 'green',alpha=.5)            #绘制负样本plt.title('DataSet')                                                #绘制titleplt.xlabel('x'); plt.ylabel('y')                                    #绘制labelplt.show()def gradAscent(dataMatIn, classLabels):dataMatrix = np.mat(dataMatIn)                                        #转换成numpy的matlabelMat = np.mat(classLabels).transpose()                            #转换成numpy的mat,并进行转置m, n = np.shape(dataMatrix)                                            #返回dataMatrix的大小。m为行数,n为列数。alpha = 0.001                                                        #移动步长,也就是学习速率,控制更新的幅度。maxCycles = 500                                                        #最大迭代次数weights = np.ones((n,1))for k in range(maxCycles):h = sigmoid(dataMatrix * weights)                                #梯度上升矢量化公式error = labelMat - hweights = weights + alpha * dataMatrix.transpose() * errorreturn weights.getA()                                                #将矩阵转换为数组,返回权重数组"""
函数说明:绘制数据集Parameters:weights - 权重参数数组
"""
def plotBestFit(weights):dataMat, labelMat = loadDataSet()                                    #加载数据集dataArr = np.array(dataMat)                                            #转换成numpy的array数组n = np.shape(dataMat)[0]                                            #数据个数xcord1 = []; ycord1 = []                                            #正样本xcord2 = []; ycord2 = []                                            #负样本for i in range(n):                                                    #根据数据集标签进行分类if int(labelMat[i]) == 1:xcord1.append(dataArr[i,1]); ycord1.append(dataArr[i,2])    #1为正样本else:xcord2.append(dataArr[i,1]); ycord2.append(dataArr[i,2])    #0为负样本fig = plt.figure()ax = fig.add_subplot(111)                                            #添加subplotax.scatter(xcord1, ycord1, s = 20, c = 'black', marker = 's',alpha=.5)#绘制正样本ax.scatter(xcord2, ycord2, s = 20, c = 'red',alpha=.5)            #绘制负样本x = np.arange(-3.0, 3.0, 0.1)y = (-weights[0] - weights[1] * x) / weights[2]ax.plot(x, y)plt.title('BestFit')                                                #绘制titleplt.xlabel('X1'); plt.ylabel('X2')                                    #绘制labelplt.show()if __name__ == '__main__':dataMat, labelMat = loadDataSet()plotDataSet()weights = gradAscent(dataMat, labelMat)plotBestFit(weights)

                

 由运行结果可得,通过我们求解的参数确定的分类模型来划分数据类别取得了很好的效果。

三、从疝气病症状预测病马的死亡率 

3.1、项目背景

本次项目将使用Logistic回归来预测患疝气病的马的存活问题。 原始数据集如下图所示:

 这里的数据包含了368个样本和28个特征。这种病不一定源自马的肠胃问题,其他问题也可能引发马疝病。该数据集中包含了医院检测马疝病的一些指标,有的指标比较主观,有的指标难以测量,例如马的疼痛级别。

 3.2、数据准备

上述数据还存在一个问题,数据集中有30%的值是缺失的。数据中的缺失值是一个非常棘手的问题,下面给出了一些可选的做法:

  • 使用可用特征的均值来填补缺失值;
  • 使用特殊值来填补缺失值,如-1;
  • 忽略有缺失值的样本;
  • 使用相似样本的均值添补缺失值;
  • 使用另外的机器学习算法预测缺失值。

数据预处理

  • 如果测试集中一条数据的特征值已经确实,那么我们选择实数0来替换所有缺失值,因为本文使用Logistic回归。因此这样做不会影响回归系数的值。sigmoid(0)=0.5,即它对结果的预测不具有任何倾向性。
  • 如果测试集中一条数据的类别标签已经缺失,那么我们将该类别数据丢弃,因为类别标签与特征不同,很难确定采用某个合适的值来替换。
     

3.3、使用Python构建logistics分类器

# -*- coding:UTF-8 -*-
import numpy as np
import randomdef gradAscent(dataMatIn, classLabels):dataMatrix = np.mat(dataMatIn)                                        #转换成numpy的matlabelMat = np.mat(classLabels).transpose()                            #转换成numpy的mat,并进行转置m, n = np.shape(dataMatrix)                                            #返回dataMatrix的大小。m为行数,n为列数。alpha = 0.01                                                        #移动步长,也就是学习速率,控制更新的幅度。maxCycles = 500                                                        #最大迭代次数weights = np.ones((n,1))for k in range(maxCycles):h = sigmoid(dataMatrix * weights)                                #梯度上升矢量化公式error = labelMat - hweights = weights + alpha * dataMatrix.transpose() * errorreturn weights.getA()                                                #将矩阵转换为数组,并返回def sigmoid(inX):return 1.0 / (1 + np.exp(-inX))def colicTest():frTrain = open('horseColicTraining.txt')                                        #打开训练集frTest = open('horseColicTest.txt')                                                #打开测试集trainingSet = []; trainingLabels = []for line in frTrain.readlines():currLine = line.strip().split('\t')lineArr = []for i in range(len(currLine)-1):lineArr.append(float(currLine[i]))trainingSet.append(lineArr)trainingLabels.append(float(currLine[-1]))trainWeights = gradAscent(np.array(trainingSet), trainingLabels)        #使用改进的随即上升梯度训练errorCount = 0; numTestVec = 0.0for line in frTest.readlines():numTestVec += 1.0currLine = line.strip().split('\t')lineArr =[]for i in range(len(currLine)-1):lineArr.append(float(currLine[i]))if int(classifyVector(np.array(lineArr), trainWeights[:,0]))!= int(currLine[-1]):errorCount += 1errorRate = (float(errorCount)/numTestVec) * 100                                 #错误率计算print("测试集错误率为: %.2f%%" % errorRate)def classifyVector(inX, weights):prob = sigmoid(sum(inX*weights))if prob > 0.5: return 1.0else: return 0.0if __name__ == '__main__':colicTest()

可以看到由于数据集中存在 30%的值是缺失的,因此测试集的错误率会比较高,这是很难避免的。

四、总结

4.1、Logistic回归的一般过程:

  1. 收集数据:采用任意方法收集数据。
  2. 准备数据:由于需要进行距离计算,因此要求数据类型为数值型。另外,结构化数据格式则最佳。
  3. 分析数据:采用任意方法对数据进行分析。
  4. 训练算法:大部分时间将用于训练,训练的目的是为了找到最佳的分类回归系数。
  5. 测试算法:一旦训练步骤完成,分类将会很快。
  6. 使用算法:首先,我们需要输入一些数据,并将其转换成对应的结构化数值;接着,基于训练好的回归系数,就可以对这些数值进行简单的回归计算,判定它们属于哪个类别;在这之后,我们就可以在输出的类别上做一些其他分析工作。

 4.2、优缺点

优点:实现简单,易于理解和实现;计算代价不高,速度很快,存储资源低。

缺点:容易欠拟合,分类精度可能不高。


http://chatgpt.dhexx.cn/article/biyYax1q.shtml

相关文章

Logistic regression(逻辑斯蒂)回归分析

Logistic regression (逻辑回归)是当前业界比较常用的机器学习方法,用于估计某种事物的可能性。比如某用户购买某商品的可能性,某病人患有某种疾病的可能性,以及某广告被用户点击的可能性等。(注意这里是&a…

逻辑斯谛回归(Logistic回归)最详解

Logistic回归学习思路 一.逻辑回归模型的原理与定义(主要思想) 逻辑斯谛回归是经典的分类方法,它属于对数线性模型,原理是根据现有的数据对分类边界线建立回归公式,以此进行分类。(主要思想) …

常用服务器型号整理

转载于:https://www.cnblogs.com/quzq/p/11285548.html

查看linux cpu 内存 服务器型号 序列号 磁盘 raid信息

安装dmidecode:yum -y install dmidecode 查看cpu的型号: 查看cpu的颗数: dmidecode -t processor |grep "Version" dmidecode -t processor |grep "Socket" 查看内存最大容量: 查看内存插槽数量: 查看内存大…

浪潮官网服务器型号,浪潮服务器有哪些型号,哪位了解?

NF8520系列市场价格:¥152000-175000 浪潮英信NF8520采用全新QPI架构高速互联技术的四路服务器,支持最新英特尔至强处理器E7系列,成四个具备IOAT2VMDQ技术的高性能千兆网卡,在全面提升网络IO能力的同时,对虚…

服务器内存怎么看型号,怎么查看服务器内存的型号

怎么查看服务器内存的型号 内容精选 换一换 设备实时状态查询是检测设备在运行过程中的状态信息。用户可任选以下指令之一查看设备实时状态查询命令的可用参数。ascend-dmi -i -hascend-dmi -i --help各参数解释如表1所示。以查看芯片的详细信息为例。ascend-dmi -i -dt若推理服…

阿里云服务器型号大全及机型如何选择(建议收藏)

不同的阿里云实例规格可以提供的计算能力不同,适用于不同的业务场景和使用场景。 1、根据使用场景来选择 下图显示了阿里云ECS的部分通用计算和异构计算实例规格族及其对应的业务场景 简单来看,g6e和g6型能够满足一般的通用需求,对于比如金…

当前主流服务器型号,当前服务器的主流品牌 型号 配置

当前服务器的主流品牌 型号 配置 内容精选 换一换 Atlas 800 推理服务器(型号 3000)安装上架、服务器基础参数配置、安装操作系统等操作请参见《Atlas 800 推理服务器 用户指南(型号 3000)》,安装操作系统完成后,配置业务网口IP地址,请参见配…

系统里能看服务器型号,操作系统如何查看服务器型号

操作系统如何查看服务器型号 内容精选 换一换 硬件要求如表1所示。操作系统要求如表2所示。如果是全新安装操作系统,可选择“Minimal Install”安装方式并勾选Development Tools套件,否则很多软件包需要手动安装。 硬件要求如表1所示。操作系统要求如表2…

服务器主板型号命令,Linux通过命令查询服务器型号、主板、CPU、内存及硬盘信息...

测试环境:Dell服务器 CentOS 6.4 主要使用到的命令: dmidecode、cat、megaCli64、df 查询服务器型号: dmidecode -t 1 查询主板信息: dmidecode -t 2 查询CPU信息:查看CPU型号 cat /proc/cpuinfo | grep name | cut -f2 -d: | uniq -c 查看CPU物理个数 cat /proc/cpuinfo …

计算机服务器的品牌型号怎么看,戴尔服务器型号怎么看

在计算机流行的高科技时代,在使用计算机产品的时候,往往就会遇到各种各样的硬件问题以及操作系统带来的问题,如果在遇到这些问题之后自己无法处理,那么就需要报修,或者是咨询相关的官方人员,但是各位小伙伴…

华为服务器设备型号查询,查询服务器型号和操作系统

查询服务器型号和操作系统 内容精选 换一换 创建HECS时支持选择云平台提供的“公共镜像”和“市场镜像”。但不能在创建HECS时选择“私有镜像”和“共享镜像”。您可以使用云平台提供的“公共镜像”创建临时的HECS,通过“切换操作系统”功能,使用私有镜像切换临时云服务器的操…

什么命令能查看服务器的型号,查看服务器型号的命令

查看服务器型号的命令 内容精选 换一换 Linux操作系统云服务器的安全组出方向已按照元数据获取的前提条件进行配置,但是无法通过169.254.169.254获取元数据。在配置了静态IP的Linux系统云服务器中执行以下命令:# ip route| grep 169.254如果169.254.169.254路由不存在,并且1…

联想服务器型号更替,联想服务器型号对照表

型号及配置 万全T100 G10 S5800 2G/500S 万全T168 G6 S3430 一路塔式 2G/500S 万全T168 G6 S3430 2G/2*500S热插拔HR1 万全T168 G6 S3430 2G/3*500S热插拔HR5 万全T 万全T260 G3 S5506 500S热插拔HR HR1 2G/2*500S热插拔HR1 万全T260 G3 S5506 2G/146ANR4热插拔 万全T350 G7 S5…

linux查看服务器品牌和型号,linux 查看服务器型号

linux 查看服务器型号 内容精选 换一换 登录弹性云服务器查询磁盘设备信息,发现磁盘的设备名称与控制台上显示的挂载点不一致,不清楚磁盘具体挂载在哪个设备上或磁盘对应的逻辑卷标识。本节操作介绍如何根据控制台上显示的磁盘信息,查询该磁盘在弹性云服务器内对应的设备名称…

查看windows服务器型号,windows 查看服务器型号

windows 查看服务器型号 内容精选 换一换 确认服务器服务是否开启。登录虚拟机内部。执行如下命令,查看系统的端口监听状态,如图1所示。netstat -ntplWindows虚拟机可以在命令行中执行netstat -ano查看系统的端口监听状态,或者查看服务端软件状态。系统的端口监听状态登录虚…

python中re模块的match、search、findall、sub方法使用

正则表达式 正则表达式是对字符串操作的一种逻辑公式,就是用事先定义好的一些特定字符、及这些特定字符的组合,组成一个“规则字符串”,这个“规则字符串”用来表达对字符串的一种过滤逻辑。(来自百度) 正则表达式语…

Python中正则表达式findall用法

一:前言 在写着自动化测试的脚本时,重新复习了一下正则表达式findall()方法。为了深化印象,输出点东西,就来写个通过正则表达式爬取菜鸟教程标题的小案例。 参考教程:菜鸟教程之Python正则表达式 二:操作…

python爬虫beautifulsoup findall函数详解

测试网站&#xff1a; http://www.pythonscraping.com/pages/warandpeace.html 内容初探 有一些奇怪的红绿分类 网页源码介入&#xff1a; 我们所要做的就是识别<>中的信息&#xff0c;然后提取它后面的内容 基础网络连接代码&#xff1a; html urlopen("h…

正则表达式入门-findall()函数

正则表达式入门-findall()函数 findall()函数 例子 import re a 123abc rere.findall(\d\d\d,a) print(re)导入用于完成正则表达式操作的re库 使用re库中的findall()函数提取文本 \d表示匹配1个数字&#xff0c;那么\d\d\d就表示匹配连续的3个数字 语法为 re.findall(匹…