写这篇文章的时候已经是四月中旬了,校园里满是春天的躁动洋溢着青春和活力。同龄人精彩的大学生活着实令我羡慕。我也想出去走走看看,但不是今年,也不是今天,更不是现在。
减少外出,多读点书;低头赶路,道心稳固。
五、半导体载流子的输运
五、半导体载流子的输运
5.1 载流子的漂移运动
5.2 载流子的散射
5.2.1 电离杂质散射
5.2.2 晶格振动散射(声子散射)
5.2.3 等同的能谷间散射
5.3 迁移率与杂质浓度和温度的关系
5.4 强电场下的输运和负微分电导
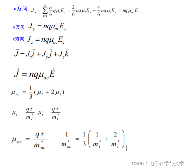
5.1 载流子的漂移运动
电流密度:J
电导率:ρ
电子迁移率:μ
J=σE
 
 5.2 载流子的散射
散射几率 P:单位时间内受到散射的次数
N(t):在 t 时刻所有未受到散射的电子数
 
 



——mc*:电子电导有效质量
——电子的电导有效质量小于空穴电导有效质量,因此电子迁移率大于空穴迁移率(2倍关系)
——1 2是纵有效质量(长轴) 3-6是横有效质量(圆面半径)
5.2.1 电离杂质散射
库仑力作用,属于弹性散射

1) Ni 越大,散射几率越大
2)T 越高,载流子平均热运动速度越大,散射几率越小
3)掺杂浓度越大,电离杂质数越多,散射中心越多,散射几率越大
4)温度升高。载流子运动速度增加,散射几率下降
5.2.2 晶格振动散射(声子散射)
 
 
——无论是声学波还是光学波,都对应频率不同的一纵两横三种波
——声学波代表质心运动,质量大,低频能量小。长声学波是弹性波,即声波
——光学波代表原子相对振动,质量小,高频能量大
——声子具有能量和动量,是一种准粒子(wq)
在坐标图的最左侧表示的就是长波,此区间长光学波为常数,长声学波为波数正比例函数。

5.2.3 等同的能谷间散射
1)对于具有单能谷的半导体,起作用的是长波,就是波长比原子间隔大很多倍的格波。
2)在长声学波中,只有纵波起主要作用
3)对于多能谷半导体。电子可以从一个极值附近散射到另一极值附近
【100】→【-100】和【100】→【010】都是允许的。区别是能量变化
4)电子在一个能谷内发生散射时,电子只与长波声子发生作用,波矢k的变化很小,能量改变很小,视为弹性散射。电子与光学波散射时,能量变化较大,散射是非弹性的。
5)电子在谷间发生散射时,有不同的情况。电子准动量发生很大改变,可以吸收或发射一个能量较高的短波声子,散射也是非弹性的
5.3 迁移率与杂质浓度和温度的关系
μs:声学波散射
两种散射可以看作是相互独立的事件,概率可以叠加。
室温:
在轻掺杂区域(参杂浓度小于10^18次方):掺杂浓度的变化对迁移率的影响并不明显;
在重掺杂区域,随着掺杂浓度不断提高,迁移率减小;
在简并区域,掺杂浓度对迁移率的影响又不明显,曲线变化平缓。
其中多子大于少子迁移率可以认为:重掺杂时杂质能级扩展为能带所导致禁带变窄。


上表最好背过↑
*电阻率决定于载流子浓度和迁移率*
硅,锗,砷化镓在室温下整体上都是随掺杂浓度升高,电阻率呈线性下降!在重掺杂区域,由于杂
质不能完全电离,导致偏离线性。


5.4 强电场下的输运和负微分电导
弱场下遵循欧姆定律 J=σE。电导率是个常数决定于载流子浓度和迁移率
强场下,载流子的迁移率发生变化,平均漂移速度与电场强度不成正比。
平均漂移速度Vd的饱和速度(VT)大约是10^7cm/s
强场下,发射光学声子成为动量驰豫和能量驰豫的主要机制速度可以饱和

负微分电导
导带最低能谷1和价带极值均位于布里渊区中心k = 0处。在[111]方向布里渊区边界处还有一个极值约高出0.29eV的能谷2。当温度不太高、电场不太强时,导带电子大部分位于能谷1。

、
当电场达到3×10^3V/cm后,能谷1中的电子可从电场中获得足够的能量而开始转移到能谷2中,发生能谷间的散射,电子的准动量有较大的改变,伴随散射就发射或吸收一个光学声子
能谷2的曲率比能谷1小(曲率小,曲率半径大,有效质量大)所以,能谷2的电子有效质量较大(m”=0.067mg,mi=0.55mg)。
由于能谷2有效质量大,所以两能谷中电子迁移率不同
〔 μ1=6000 ~8000cm² /(V·s),μ2= 920cm²/(V·s)],因纯度而异。
红色区域就是负微分电导区(迁移率为负值)。进入能谷2的电子,有效质量增加,迁移率降低,平均漂移速度减小,电导率下降,产生负阻效应
半导体物理基础部分分享已经接近尾声。接下来的几章将是整个半导体物理的核心部分的介绍。
文章措辞失误和论述错误在所难免,欢迎您的指正!
















