神经元的计算

article/2025/10/6 6:13:23

神经元的计算

    • 单神经元
      • 内部参数的设置
      • 偏移值 b 的作用
      • 神经网络的分层
      • 常用的激活函数

 


单神经元

人类大脑神经元细胞的树突接收来自外部的多个强度不同的刺激,并在神经元细胞体内进行处理,将其转化为一个输出结果,功能抽象图示:

神经元模型可分为:

  • 输入 X, X = [ x 1 , x 2 , x 3 ] X = [x_{1},~x_{2},~x_{3}] X=[x1, x2, x3]
  • 内部参数权重 W,对每个输入值都给一个权重, w = [ w 1 ∗ x 1 , w 2 ∗ x 2 , w 3 ∗ x 3 ] w = [w_{1}*x_{1}, ~w_{2}*x_{2},~w_{3}*x_{3}] w=[w1x1, w2x2, w3x3]
  • 内部参数偏移值 b,这个是一个常数,具体作用我一句话说不清
  • 输出 y, 输出 y = 权重 w i ∗ 输入值 x i + 偏移值 b 输出 y = 权重 w_{i}* 输入值x_{i} + 偏移值 b 输出y=权重wi输入值xi+偏移值b
  • 激活函数 f:激活函数种类很多,可确保输出值 y 在 0 和 1 之间,方便决策

e.g. 结合一个买房例子:

  • 输入: X = [ 房屋面积 100 , 房屋价格 100 万 , 社区评分 5.0 ] X = [房屋面积 100,~房屋价格 100万,~社区评分 5.0] X=[房屋面积100, 房屋价格100, 社区评分5.0]
  • 权重: W = [ 0.4 , 0.5 , 0.6 ] W = [0.4, 0.5, 0.6] W=[0.4,0.5,0.6]
  • 偏置: b = 100 b = 100 b=100
  • 输出: y = 0.4 ∗ 100 + 0.5 ∗ 100 w + 0.6 ∗ 5.0 + 100 y = 0.4*100 + 0.5*100w + 0.6*5.0 + 100 y=0.4100+0.5100w+0.65.0+100
  • 激活函数: f ( y ) f(y) f(y)

本质上,神经元做的事情就是按照自己的权重参数把输入值相加,再加入偏移值,形成一个输出值, y = w x + b y=wx+b y=wx+b

如果激活后的输出值 f ( y ) f(y) f(y) 大于阈值 0.5 就买这个房,否则不买。
 


内部参数的设置

神经元的内部参数,包括权重 W 和偏移值 b,都是可调的(开始时我们会随机初始化)。

用数据训练神经网络的过程,就是调整更新各个神经元的内部参数的过程。神经网络的结构在训练中不变,是其中神经元的参数决定了神经网络的功能。

反复学习是刺激神经元,相当于加大权重的确定程度(不是加大权重的大小)。

一开始神经元给这个输入数据的权重是0.9,但这是一个随机的分配,有很大的不确定性。

随着训练的加深,神经网络越来越相信这个权重应该是0.11,参数稳定在这里。

数值,增大或者减小了不重要,关建是确定性大大增加了。

对比到人,这就好比篮球,训练的目的不是让投篮的用力越来越大,而是越来越准确。

相当于大脑神经元之间的连接越来越稳固,经常在一起激发的两个神经元会“长”在一起,TA们之间的电信号会更强,电信号强对应参数更确定。
 


偏移值 b 的作用

这得从一个问题说起,如何让计算机具有分辨物体的能力?


在一个二维的平面上,红色的 x 代表苹果,蓝色的 o 代表橘子。

我们有一些苹果、橘子的数据特征,现在出现了一个绿色的未知样本(苹果 or 橘子),如何通过建立一个模型来预测分类。

为了让计算机识别二维平面上的数据,我们可以在这个平面上画一条直线,如 © 图,就用这条直线作分类线。

现在的思路是用已知的数据特征,来训练这条直线。

  • 直线方程: y = w x + b y = wx+b y=wx+b

现在我们的问题是如何找到这条直线的参数斜率和截距 ( w , b ) (w, b) (w,b)

最朴素的思路,随机初始化 ( w , b ) (w, b) (w,b),暴力枚举这对参数,如下图所示:


一开始的思路是猜,不过我们不能完全凭运气,我们可以寻找一些算法策略(如迭代)来优化这个猜,不断逼近正确答案,加速学习过程,避免无效的重复。

迭代策略,需要俩个评价标准:

  • 终止条件:如何判断直线是否把俩类样本分开
  • 迭代方向:如何用错分样本,来更新直线的参数

以下会涉及一些高中数学直线方面的知识,也可以参考:《计算几何》直线部分第一节。

给定 A 、 B 、 C A、B、C ABC 就能确定一条直线,满足这个方程的 ( x , y ) (x, ~y) (x, y) 构成一条直线。

那在平面上其他点 ( x 1 , y 1 ) (x_{1}, ~y_{1}) (x1, y1),代入这个式子,要么大于 0,要么小于 0。

直线把样本分开,其实就是让某一类的数据点满足到直线的距离大于 0,同时让另一类的点到直线的距离小于 0。

由于我们不用关心点到直线距离的具体数值,因此采用一个符号函数 sign 将:

  • 距离大于零的点,标记成 1
  • 距离小于零的点,标记成 -1

现在如果我们给这些已知的数据带上标记,例如,O(+1) X(-1), 那么我们现在要做的就是要根据已有的数据点,来寻找这样的一条直线,使所有的点都符合它自己本身的标记。

关键的问题是计算机是如何知道自己做的好不好呢?

我们必须再定义一个指示标记,让计算机自己了解它是否正确,这个指标被称为损失函数,损失函数用来评价直线的预测值和真实值不一样的程度,损失函数越好,通常模型的性能越好

我们人类学习同理,如果一个人一直不停的学,但是不验证自己的学习成果,那么有可能学的方向或者学习方法是错误的,不停的学但结果都白学了。要验证学习成果,就要判断预测结果是否准确,损失函数就是做这个的。

直线的损失函数很简单,既然我们希望直线的输出结果 s i g n ( a x + b y + c ) sign(ax+by+c) sign(ax+by+c) 尽量满足 O(+1) X(-1)

我们把数据自带的标签记作 y,则直线的损失函数就变成:

  • L o s s ( s i g n ( a x + b y + c ) , y ) = m a x ( − y ∗ s i g n ( a x + b y + c ) , 0 ) Loss(sign(ax+by+c), y) = max(-y*sign(ax+by+c), ~0) Loss(sign(ax+by+c),y)=max(ysign(ax+by+c), 0)

这是由于所有被正确分类的样本,无论是橘子 O 还是苹果 X, y ∗ s i g n ( a x + b y + c ) y*sign(ax+by+c) ysign(ax+by+c) 都是 1,增加一个负号,再和零取最大值,则表明那些被正确分类的样本没有让直线产生损失。

只有那些错分样本,会出现 − y ∗ s i g n ( a x + b y + c ) > 0 -y*sign(ax+by+c) >0 ysign(ax+by+c)>0,他们会让感知机猜测的当前直线产生损失,损失越大,这条直线就越不舒服,它必须进行变化。

现在我们应该已经清楚,对于能够用直线分开的数据样本而言,这条之间一定能够找到, 而且满足条件的直线产生的代价是 0。

下图是更新过程:

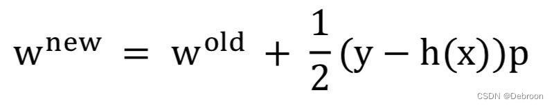
s i g n ( a x + b y + c ) sign(ax+by+c) sign(ax+by+c) 简记为 h ( x ) h(x) h(x)

根据直线 W 与点 P 的关系, 参数 W 的更新过程如下:

整理成一个式子:

最后,就会找到那条将苹果和橘子分类的直线。

偏移值 b 的作用,这根本就是一个直线方程,一条直线如果参数 b = 0,直线就只能在原点上,就做不到二维空间中任何位置的直线,也就不能进行分类了。

 


神经网络的分层

单个神经元的计算效果不好,但是神经网络依靠网络效应就会非常智能,比如下图的猫跟狗识别正确率会大大提高。

神经网络,从左到右分为三层,每一个圆点代表一个神经元。

  • 第零层是 “输入层”,代表输入的数据。
  • 第一层叫 “隐藏层”,所谓深度学习就是中间不只有一个隐藏层。
  • 第二层是 “输出层”,得到一个输出值。

数据输入进来,经过隐藏层各个神经元的一番处理,再把信号传递给输出层,输出层神经元再处理一番,最后作出判断。

对于多神经元网络,拆分看就是一个个单独的神经元,神经元网络的计算就是重复单神经元的计算。

和神经元相同,神经网络预测的准确与否,由权重 w w w 和偏移值 b b b 决定,所以神经网络学习的目的就是找到合适的 w w w b b b

可是为什么神经网络长这样?

  • 用分层解决复杂性,这也是工程师的普遍思维

凡很大的问题,都是分层管理的:

  • 如中国有十几亿人口,我们的国家是分层管理的,从乡到县,从县到厅,从厅到省,从省到国家,都是一级一级管理的 — 如果没有这样一个清晰的机构,一千个人管理起来就很费劲,一会儿这儿出问题,会像一个救火队长一样冲过去了。

  • 如十几亿晶体管集成的CPU,亿万个开关组成各种各样的逻辑门,逻辑门再组成运算器,这种结构的好处是,在每一层上搞设计,您都只需考虑紧挨着的下一层,最后程序员小哥哥只需要对一块 CPU,而不是十几亿个晶体管编程。

  • 如卷积神经网络做人脸识别,每一个卷积层识别一种特定规模的图形模式,后面一层只要在前面一层的基础上进行识别。


第一层,是先从像素点中识别一些小尺度的线条结构,像垂直条纹、水平条纹、斑点、颜色从亮到暗等等各种小结构。

第二层,是根据第一层识别出来的小尺度结构识别像眼睛、耳朵、嘴之类的局部器官。

第三层,才是根据这些局部器官识别人脸。

其中每一层的神经网络从前面一层获得输入,经过深度学习之后再输出到后面一层,从小结构上看出更大、更复杂也更多的结构来,点 -> 线 -> 面。
 


常用的激活函数

神经网络其实就是线性函数 y = w x + b y=wx+b y=wx+b,函数就是一条直线,能处理的问题也只是线性函数可以处理的问题。

在二维平面可以描述 x − y x-y xy 的直线关系,但曲线关系就不能描述了,线性函数只能画出直线来。

可以证明,无论用什么样的直线,都无法将上图中的两类样本分开。

激活函数是非线性函数,不同的激活函数的样子不同,但都可以表示曲线。

而且神经网络层次越多,非线性函数叠加也会越多,产生的曲线就会越来越复杂。

线性函数加上激活函数就可以让神经网络处理各种问题了。

最初你看,只有一条波浪线,后来在波浪线上继续叠加波浪,随着波浪不断变多,红色的线条越来越接近黑色横杠的样子 — 可曲可直。

常用的激活函数有:

  • s i g n sign sign:符号函数,输入值 > 0, s i g n ( x ) = 1 sign(x)=1 sign(x)=1;输出值 < 0, s i g n ( x ) = − 1 sign(x)=-1 sign(x)=1

    应用问题不太关心具体数值,只需要一个分类。

  • s i g m o i d = 1 1 + e − x sigmoid=\frac{1}{1+e^{-x}} sigmoid=1+ex1:输出值在 [ 0 , 1 ] [0,~1] [0, 1],平均值是 0.5

    现在只适用于二元分类的输出层(神经网络只能判断是或否),其他方面不如 t a n h tanh tanh

  • t a n h x = s i n h x c o s h x = e x − e − x e x + e − x tanh~x=\frac{sinh~x}{cosh~x}=\frac{e^{x}-e^{-x}}{e^{x}+e^{-x}} tanh x=cosh xsinh x=ex+exexex:输出值在 [ − 1 , 1 ] [-1,~1] [1, 1],平均值是 0

    因为平均值从 0.5 变成 0,将靠近 0 的输出值传给下层神经网络,效果更好。

    不过俩者在数据规模较大时,神经网络学习速度会很慢。

    学习速度和偏导数大小相关,偏导数就是斜率(变化比例),斜率(变化比例)越大偏导数越大,学习速度越快。

    通过观察俩者的图像发现,当输入值越来越大时,曲线的斜率(变化比例)是越来越小的。

    为了解决这个问题,后来创造了 r e l u relu relu

  • r e l u relu relu:输入为正,斜率(变化比例)很大;输入为负时,就会输出 0,神经元就不会被激活 — 说明同一时间里,只有部分神经元会被激活,从而使得网络很稀疏,进而计算更高效,但没有斜率(变化比例)。

    应用首选,用的最多,但只在隐藏层使用。

    为了解决没有斜率(变化比例)的问题,又创造了一种激活函数:leaky relu。

  • leaky relu:relu 改进,leaky relu 的优点将 0 的梯度去掉,换成一个非0的梯度,比如0.1等,这样把 0 梯度变成一个很小不为 0 的梯度。

    sigmoid - leaky relu 都只能处理二元分类问题(是和否),有时候需要多分类,从二元判断到多元判断

  • softmax:N 元分类的输出层,输出层神经元要有 N 个。


http://chatgpt.dhexx.cn/article/vV9gVdd8.shtml

相关文章

神经学习(算法)

神经元与激励函数 神经元 神经元是神经网络的基本组成&#xff0c;如果把它画出来&#xff0c;大概就长成下面这样&#xff1a; 图中神经元左边的x表示对神经元的多个输入&#xff0c;w表示每个输入对应的权重&#xff0c;神经元右边的箭头表示它仅有一个输出。 当然神经元也…

神经网络十大算法有哪些,神经网络十大算法排名

数学建模的十大算法 。 1、蒙特卡罗算法&#xff08;该算法又称随机性模拟算法&#xff0c;是通过计算机仿真来解决问题的算法&#xff0c;同时可以通过模拟可以来检验自己模型的正确性&#xff0c;是比赛时必用的方法&#xff09;2、数据拟合、参数估计、插值等数据处理算法…

训练神经网络的五大算法

原文&#xff1a; 5 algorithms to train a neural network 作者&#xff1a; Alberto Quesada 译者&#xff1a; KK4SBB 责编&#xff1a;何永灿&#xff0c;关注人工智能&#xff0c;投稿请联系 heyccsdn.net 或微信号 289416419 神经网络模型的每一类学习过程通常被归纳为一…

论文阅读2--《融合多因素的短时交通流预测研究》

1.问题的提出 现有的交通流预测研究大多为常态下的预测&#xff0c;而未考虑天气、节假日等外部因素的影响。 2.交通流预测相关工作 &#xff08;1&#xff09;传统的短时交通流研究方法&#xff1a; 卡尔曼滤波模型、历史平均模型、时间序列模型、非参数回归模型、混沌理论…

用于交通流预测的时间多图卷积网络

为了联合建模道路网络中各种全局特征的空间、时间和语义关联&#xff0c;本文提出了一种用于交通流预测的深度学习框架T-MGCN&#xff08;时态多图卷积网络&#xff09;。首先&#xff0c;我们识别了几种语义关联&#xff0c;并将道路之间的非欧几里德空间关联和异构语义关联编…

交通流分析1:《基于大数据的城市公路交通流短时预测研究_张红》阅读总结

大概读了一下&#xff0c;第6节小波分析那里实在没有看懂。 如果有理解不对的地方欢迎批评指正。 建模方法 这篇论文选用的是时间序列模型和小波理论&#xff0c;小波理论那里我实在没看懂&#xff0c;说说他基于时间序列模型的组合建模方法&#xff0c;这是选择时间序列模型的…

matlab中的AR模型短时预测交通流

1、内容简介 略 438-可以交流、咨询、答疑 2、内容说明 智能交通系统的宗旨,就是利用丰富的交通检测数据,对未来的交通流状态进行预测,对于最大效率的利用快速路资源,减少出行者时间,减少快速路交通拥挤与交通事故。短时交通流预测是道路交通控制系统、交通流诱导系统等领域…

交通流预测爬坑记(三):使用pytorch实现LSTM预测交通流

很长时间没有更新内容了&#xff0c;上一篇可以看做是刚接触深度学习写的&#xff0c;看法非常狭隘&#xff0c;内容非常粗糙。 在最近的学习中接触到了Pytorch&#xff0c;不得不承认&#xff0c;相对于TensorFlow来讲&#xff0c;灵活很多。 这次就使用pytroch来进行一下交通…

Python交通流仿真【含源码】

虽然交通并不总是畅通无阻&#xff0c;但汽车无缝穿越交叉路口&#xff0c;在交通信号灯处转弯和停车看起来相当壮观。这种沉思让我思考交通流对人类文明的重要性。 在此之后&#xff0c;内心的书呆子特质让我忍不住思考一种模拟交通流的方法。我在一个涉及交通流量的本科项目…

基于深度学习的短时交通流预测与优化

TOC 第二章 数据预处理与短时交通流量特性分析 2.1 数据来源 数据记录了明尼苏达州双子城19条高速环城公路一整年的交通流量&#xff0c;交通流量数据采样间隔为30秒(采用2018年6月1日至8月31日期间&#xff0c;采集间隔为5分钟&#xff0c;选取公路上的5个车辆检测站点的交…

基于Spatial-Temporal Transformer的城市交通流预测

文章信息 本周阅读的论文是题目为《Spatial-Temporal Transformer Networks for Traffic Flow Forecasting》的一篇2021年发布在arXiv网站上的使用时空Transformer网络&#xff08;STTNs&#xff09;预测交通流的文章。 摘要 交通预测已成为智能交通系统的核心组成部分。然而&a…

基于推特数据挖掘交通事件的城市交通流深度学习预测模型

文章信息 本周阅读的论文是题目为《A deep-learning model for urban traffic flow prediction with traffic events mined from twitter》的一篇2021年发表在《World Wide Web》涉及交通事故下的城市交通客流预测的文章。 摘要 短期交通预测是现代城市交通管理和控制系统的关键…

交通流优化:一种强化学习方法

1. 文章信息 《Traffic flow optimization: A reinforcement learning approach》是2016年发表在Engineering Applications of Artificial Intelligence的一篇文章。 2. 摘要 交通拥堵会导致诸如延误、燃油消耗增加和额外污染等重要问题。本文提出了一种新的基于强化学习的交通…

SUMO交通流仿真实战

理解、预测并最终减少城市路网中的交通拥堵是一个复杂的问题。即使了解最简单的单车道情况下出现的交通拥堵&#xff0c; 也是具有挑战性的。SUMO是一个开源平台&#xff0c;可模拟复杂环境中的交通流。在这个教程里&#xff0c;我们将学习如何从零创建复杂的交通流模拟&#x…

python交通流预测算法_一种高速公路交通流预测方法与流程

本发明涉及智能交通领域,更具体地,涉及一种高速公路交通流预测方法。 背景技术: 随着社会经济的不断增长,国内汽车的拥有量越来越多,高速公路车流量急剧上升,从而导致高速公路上车辆拥堵愈发严重。现有方法采用径向基函数神经网络训练网络参数的算法,在粗略搜索过程中容…

交通流特征工程小技巧与思考

提示&#xff1a;文章写完后&#xff0c;目录可以自动生成&#xff0c;如何生成可参考右边的帮助文档 文章目录 前言一、交通流是什么&#xff1f;二、特征工程是什么&#xff1f;三、处理数据时的一些小技巧四、一些常用的机器学习python库总结 前言 小编最近参与了一些工程方…

初等模型---交通流和道路通行能力

交通流的基本参数及其特性 为明确和简单起见&#xff0c;这里的交通流均指由标准长度的小型汽车在单方向的。 道路上行驶而形成的车流,没有外界因素如岔路、信号灯等的影响。 借用物理学的概念&#xff0c;将交通流近似看作一辆辆汽车组成的连续的流体&#xff0c;可以 用流量、…

交通流理论 第一章 绪论

第一章 绪论 1.1 交通流理论研究的内容和意义 交通流理论是运用物理学和数学的定律描述交通特性的交通工程学基础理论之一&#xff1b;道路设施可以分为两类&#xff1a;连续流和间断流设施。连续流设施为机动车流提供了相对连续的运行环境&#xff0c;几乎没有强制性阻断干扰…

数学小游戏:原创字谜几则

昨天晚上躺在床上发呆&#xff0c;想了几则数学字谜。下面每个式子都对应一个英文单词&#xff0c;例如的意思就是tank。 你能猜出多少个来呢&#xff1f; 1. 2. 3. 4. 5. 6. 7. 8. 9. 10.