目录
1、勾股定理
2、对数
3、微积分
4、万有引力定律
5、-1的平方根
6、多面体欧拉定理
7、 正态分布
8、波动方程
9、傅里叶变换
10、纳维-斯托克斯方程
11 麦克斯韦方程组
12 热力学第二定律
13 爱因斯坦的质能方程
14 稳态非线性方程
15、信息熵
16 、混沌理论
17 布莱克-斯科尔斯方程
致谢:

自从走进了哲学世界与数学世界,以前对数学和世界的认知很浅薄,虽然现在也很浅薄,但是由否定之否定哲学思想可得:此浅薄非彼浅薄,还是有丢丢进步。
它不足为你揭示全部问题的答案,但若能让人胸中升起一朵朵疑云,也未尝不会酿成晚霞斑斓的别一番景致,万一它居然给你带来了一场精神世界的苦雨,那就借机洗刷一下原来存放在那儿的“真理”上的尘埃吧。
或许,雨过云收,神驰的天地更清朗.......
1、勾股定理
英文:
Pythagoras’ Theorem
公式:
                              
定义:
在平面上的一个直角三角形中,两个直角边边长的平方加起来等于斜边长的平方。
这个基本几何定理,在公元前11世纪,数学家商高(西周初年人)就提出“勾三、股四、弦五”。
而在西方,希腊数学家毕达哥拉斯在公元前6世纪证明了勾股定理,因而西方人都习惯地称这个定理为毕达哥拉斯定理(Pythagoras’ Theorem)。
“老毕”还证明过黄金分割线,他创办的毕达哥斯拉学派是古希腊四大门派之一。
勾股定理被认为是论证几何的发端,它是历史上第一个把数与形联系起来的定理,也是历史上第一个给出了完全解答的不定方程。
这条定理不仅在几何学中是一颗光彩夺目的明珠,更是被誉为“几何学的基石”。
2、对数
英文:
Logarithms
公式:
                        
定义:
如果a的x次方等于N(a>0,且a≠1),那么数x叫做以a为底N的对数。
对数方法是由数学家约翰·皮纳尔在1614年发明。
但这个方法无论是放在当时还是现在,都具有重要意义,它的出现让许多繁难的计算成为了可能。
也正因如此,在计算器和计算机出现之前,它持久地被用于测量、航海以及其他实用数学分支中。
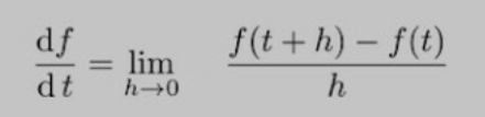
3、微积分
英文:
Calculus
公式:
                       
此处给出的公式,是微积分中导数的定义。
其实微积分是高等数学中研究函数的微分(Differentiation)、积分(Integration)以及有关概念和应用的数学分支。
微分学包括求导数的运算,是一套关于变化率的理论。它使得函数、速度、加速度和曲线的斜率等均可用一套通用的符号进行讨论。
而积分学,包括求积分的运算,为定义和计算面积、体积等提供一套通用的方法。
冯·诺依曼曾经这样评价微积分:
它是现代数学的第一个成就,而且怎样评价它的重要性都不为过。
我认为,微积分比其他任何事物都更清楚地表明了现代数学的发端;而且,作为其逻辑发展的数学分析体系仍然构成了精密思维中最伟大的技术进展。
许多初等数学无法解决的问题,微积分往往都可以迎刃而解,而且许多自然现象也可以通过建立微分方程来描述。
也正因如此,微积分广泛地被应用于运动学、天文学、经济学、社会学、化学、生物学等。
4、万有引力定律
英文:
Law of Gravity
公式:
                                 
 
定义:
任何两个质点都存在通过其连心线方向上的相互吸引的力:
该引力大小与它们质量的乘积成正比与它们距离的平方成反比,与两物体的化学组成和其间介质种类无关。
其中,F表示两个物体之间的引力;G表示万有引力常量;m1和m2分别表示物体1和物体2的质量;r则是两个物体之间的距离(大小)。
万有引力定律是牛顿于1687年在《自然哲学的数学原理》上所发表,可以说是17世纪自然科学最伟大的成果之一。
他用万有引力定律证明了开普勒定律、月球绕地球的运动、潮汐的成因和地球两极较扁等自然现象。
因此,牛顿的万有引力定律是天体力学的基础。人造卫星、月球和行星探测器的轨道,都是以这个定律为基础来计算的。
5、-1的平方根
英文:
The square root of -1
公式:
                          
数学家们一直在对数字的概念做着拓展工作,例如从自然数到负数、分数,再到实数。
而在16世纪,意大利米兰学者卡当首次引入了复数的概念。
经过达朗贝尔、棣莫弗、欧拉、高斯等人的工作,这个概念逐渐被数学家接受。
从数学角度来看,复数可以说是极其优雅,任何方程都有一个复数解,但这种情况在实数却不成立。
例如,对于x2 + 4 = 0,就是没有实数解的,而放眼复数,解就是-4或2i。
而微积分也是可以拓展到复数,数学家们由此还发现了一些数所具备的对称性和性质。
这些特性便使得复数在电子学和信号处理中起到了重要的作用。
6、多面体欧拉定理
英文:
Euler’s Polyhedra Formula
公式:
                      
定义:
对于n维空间中的简单多面体,其零维对象数(即顶点数)D0、一维对象数(即边数)D1、二维对象数(即面数)D2、三维对象数(即体数)D3、……、n维对象数Dn:

其中符号为正负号交替出现,等式一边是各维对象数的重复加减,等式另一边是1。
一般以V(Vertex)表示零维对象(即顶点)数D0,以E(Edge)表示一维对象(即边、棱)数D1,以F(Flat surface)表示二维对象(即面)数D2,以S(Solid)表示三维对象(即体)数D3,以P表示四维对象数D4。
对于一般的三维空间,该公式表达为:V - E + F - S= 1。
由于对于一个三维物体,其体数S总是1,因此就得到上述的那个公式。
欧拉的这项观察,现在被视为拓扑不变性的最早的例子之一。
连同他对柯尼斯堡桥问题的解决,可以说是为拓扑学的发展铺平了道路,使其成为现代物理学必不可少的一个数学分支。
这也是马斯克喜欢的公式,翻译过来就是:eiπ + 1 = 0,即被称为史上最美公式的欧拉公式。
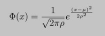
7、 正态分布
                              
正态分布(Normal distribution),也称“常态分布”,又名高斯分布(Gaussian distribution),最早由棣莫弗(Abraham de Moivre)在求二项分布的渐近公式中得到。C.F.高斯在研究测量误差时从另一个角度导出了它。P.S.拉普拉斯和高斯研究了它的性质。是一个在数学、物理及工程等领域都非常重要的概率分布,在统计学的许多方面有着重大的影响力。
正态曲线呈钟型,两头低,中间高,左右对称因其曲线呈钟形,因此人们又经常称之为钟形曲线。
若随机变量X服从一个数学期望为μ、方差为σ2的正态分布,记为N(μ,σ2)。其概率密度函数为正态分布的期望值μ决定了其位置,其标准差σ决定了分布的幅度。当μ = 0,σ = 1时的正态分布是标准正态分布。
8、波动方程
                                         
历史上许多科学家,如达朗贝尔、欧拉、丹尼尔·伯努利和拉格朗日等在研究乐器等物体中的弦振动问题时,都对波动方程理论作出过重要贡献。
弦振动方程是在18世纪由达朗贝尔(d'Alembert)等人首先系统研究的,它是一大类偏微分方程的典型代表。
波动方程或称波方程(英语:Wave equation) 由麦克斯韦方程组导出的、描述电磁场波动特征的一组微分方程,是一种重要的偏微分方程,主要描述自然界中的各种的波动现象,包括横波和纵波,例如声波、光波和水波。波动方程抽象自声学,电磁学,和流体力学等领域。
9、傅里叶变换
             
傅立叶变换,表示能将满足一定条件的某个函数表示成三角函数(正弦和/或余弦函数)或者它们的积分的线性组合。
在不同的研究领域,傅立叶变换具有多种不同的变体形式,如连续傅立叶变换和离散傅立叶变换。最初傅立叶分析是作为热过程的解析分析的工具被提出的。
尽管最初傅里叶分析是作为热过程的解析分析的工具,但是其思想方法仍然具有典型的还原论和分析主义的特征。"任意"的函数通过一定的分解,都能够表示为正弦函数的线性组合的形式,而正弦函数在物理上是被充分研究而相对简单的函数类,这一想法跟化学上的原子论想法何其相似!奇妙的是,现代数学发现傅里叶变换具有非常好的性质,使得它如此的好用和有用,让人不得不感叹造物的神奇:
-  傅里叶变换是线性算子,若赋予适当的范数,它还是酉算子; 
-  傅里叶变换的逆变换容易求出,而且形式与正变换非常类似; 
-  正弦基函数是微分运算的本征函数,从而使得线性微分方程的求解可以转化为常系数的代数方程的求解.在线性时不变的物理系统内,频率是个不变的性质,从而系统对于复杂激励的响应可以通过组合其对不同频率正弦信号的响应来获取; 
-  著名的卷积定理指出:傅里叶变换可以化复杂的卷积运算为简单的乘积运算,从而提供了计算卷积的一种简单手段; 
-  离散形式的傅里叶变换可以利用数字计算机快速的算出(其算法称为快速傅里叶变换算法(FFT)). 
正是由于上述的良好性质,傅里叶变换在物理学、数论、组合数学、信号处理、概率、统计、密码学、声学、光学等领域都有着广泛的应用。
10、纳维-斯托克斯方程
纳维-斯托克斯方程(Navier-Stokes equation)是描述粘性不可压缩流体动量守恒的运动方程,简称N-S方程。此方程是法国科学家C·L·M·H·纳维于1821年和英国物理学家G·G·斯托克斯于1845年分别建立的,故名。它的矢量形式为:

纳维-斯托克斯方程(英文名:Navier-Stokes equations),描述粘性不可压缩流体动量守恒的运动方程。简称N-S方程。粘性流体的运动方程首先由纳维在1827年提出,只考虑了不可压缩流体的流动。泊松在1831年提出可压缩流体的运动方程。圣维南与斯托克斯在1845年独立提出粘性系数为一常数的形式,都称为Navier-Stokes方程,简称N-S方程。三维空间中的N-S方程组光滑解的存在性问题被美国克雷数学研究所设定为七个千禧年大奖难题之一。
后人在此基础上又导出适用于可压缩流体的N-S方程。以应力表示的运动方程,需补充方程才能求解。N-S方程反映了粘性流体(又称真实流体)流动的基本力学规律,在流体力学中有十分重要的意义。它是一个非线性偏微分方程,求解非常困难和复杂,在求解思路或技术没有进一步发展和突破前只有在某些十分简单的特例流动问题上才能求得其精确解;但在部分情况下,可以简化方程而得到近似解。例如当雷诺数
时,绕流物体边界层外 ,粘性力远小于惯性力 ,方程中粘性项可以忽略,N-S方程简化为理想流动中的欧拉方程;而在边界层内,N-S方程又可简化为边界层方程,等等。在计算机问世和迅速发展以来,N-S方程的数值求解才有了较大的发展。
11 麦克斯韦方程组
    
麦克斯韦方程组,是英国物理学家詹姆斯·克拉克·麦克斯韦在19世纪建立的一组描述电场、磁场与电荷密度、电流密度之间关系的偏微分方程。它由四个方程组成:描述电荷如何产生电场的高斯定律、论述磁单极子不存在的高斯磁定律、描述电流和时变电场怎样产生磁场的麦克斯韦-安培定律、描述时变磁场如何产生电场的法拉第感应定律。
从麦克斯韦方程组,可以推论出电磁波在真空中以光速传播,并进而做出光是电磁波的猜想。麦克斯韦方程组和洛伦兹力方程是经典电磁学的基础方程。从这些基础方程的相关理论,发展出现代的电力科技与电子科技。
麦克斯韦在1865年提出的最初形式的方程组由20个等式和20个变量组成。他在1873年尝试用四元数来表达,但未成功。现在所使用的数学形式是奥利弗·赫维赛德和约西亚·吉布斯于1884年以矢量分析的形式重新表达的。
12 热力学第二定律
这个定理是爱因斯坦等先贤认为最接近于真理的定律:
                              
1824年,法国工程师萨迪·卡诺提出了卡诺定理。德国人克劳修斯(Rudolph Clausius)和英国人开尔文(Lord Kelvin)在热力学第一定律建立以后重新审查了卡诺定理,意识到卡诺定理必须依据一个新的定理,即热力学第二定律。他们分别于1850年和1851年提出了克劳修斯表述和开尔文表述。这两种表述在理念上是等价的。
13 爱因斯坦的质能方程
                     
值得一提的是,原子弹的出现和著名的质能关系式(E=mc2)关系不大,而爱因斯坦本人也肯定了这一点。质能关系式只是解释原子弹威力的数学工具而已,对实作原子弹意义不大。
爱因斯坦提出的质能关系式是相对论动力学的一个重要成果,在狭义相对论中占有重要的位置。
爱因斯坦质能关系式指出质量和能量这两个重要物理量之间密不可分的联系:一个物体的质量与它的能量之间有确定的数量关系
;具有能量E的任何物质客体,同时具有质量m;具有一定质量m的物质客体也必具有和这质量相关的能量E。因此,质量不仅可作为物体惯性的量度,也可作为它能量的量度。也就是说,爱因斯坦质能关系式反映了物质的两个基本属性——质量和能量之间存在着的普遍关系和不可分割的联系:物体的质量与能量有固定的比例关系,它们是相互联系、相互制约的物质属性,不是绝对对立和分离的;质量和能量同属物质的属性,它们互以对方的存在为自己存在的前提,世界上没有脱离质量的能量,也没有脱离能量的质量;有质量就有能量,有能量就有质量,不能把能量和质量分割开来。
相对论的这个发现,不仅推翻了把质量和能量“非此即彼”绝对化的形而上学的观点,而且深刻地反映出任何物质自身属性“变与不变”的对立统一。在一定意义上也表现了物质和运动的不可分割性:物质总是在运动,运动总是指物质的运动;没有不运动的物质,也没有无物质的运动。
14 稳态非线性方程
                         
Schrodinger方程是量子力学中的基本方程。 非线性Schrodinger方程出现在很多重要的物理模型中,例如非线性光学,凝聚态物理等。对非线性Schrodinger方程驻波解的研究可转化为对一类非线性椭圆型偏微分方程,即稳态形式的非线性Schrodinger方程的研究。本项目主要研究稳态非线性Schrodinger方程中一类有物理意义的解- - 束缚态(bound state)的存在性及相关性质。我们拟解决的问题是:
1. 如果位势函数变号并且在无穷远处的极限等于零,方程束缚态的存在性。
2.如果位势函数在无穷远处的极限等于零,方程变号解的存在性以及解的分歧性质。我们想通过这些问题的研究更加深刻的了解位势函数在无穷远处的衰减行为对方程解的存在性的影响。
15、信息熵
香农被称为是“信息论之父”。人们通常将香农于1948年10月发表于《贝尔系统技术学报》上的论文《A Mathematical Theory of Communication》(通信的数学理论)作为现代信息论研究的开端。这一文章部分基于哈里·奈奎斯特和拉尔夫·哈特利先前的成果。在该文中,香农给出了信息熵(以下简称为“熵”)的定义:
                  
信息论是运用概率论与数理统计的方法研究信息、信息熵、通信系统、数据传输、密码学、数据压缩等问题的应用数学学科。信息系统就是广义的通信系统,泛指某种信息从一处传送到另一处所需的全部设备所构成的系统。信息论是关于信息的理论,应有自己明确的研究对象和适用范围。但从信息论诞生的那时起人们就对它有不同的理解。
传统的通信系统如电报、电话、邮递分别是传送电文信息、语声信息和文字信息的;而广播、遥测、遥感和遥控等系统也是传送各种信息的,只是信息类型不同,所以也属于信息系统。有时,信息必须进行双向传送,例如电话通信要求双向交谈,遥控系统要求传送控制用信息和反向的测量信息等。这类双向信息系统实际上是由两个信息系统构成。所有信息系统都可归纳成如图所示的模型来研究它的基本规律。
信源:信息的源泉或产生待传送的信息的实体,如电话系统中的讲话者,对于电信系统还应包括话筒,它输出的电信号作为含有信息的载体。
信宿:信息的归宿或接受者,在电话系统中这就是听者和耳机,后者把接收到的电信号转换成声音,供听者提取所需的信息。
信道:传送信息的通道,如电话通信中包括中继 器在内的同轴电缆系统,卫星通信中地球站的收发信机、天线和卫星上的转发器等。
编码器:在信息论中是泛指所有变换信号的设备,实际上就是终端机的发送部分。它包括从信源到信道的所有设备,如量化器、压缩编码器、调制器等,使信源输出的信号转换成适于信道传送的信号。
译码器:是编码器的逆变换设备,把信道上送来的信号转换成信宿能接受的信号,可包括解调器、译码器、数模转换器等。
16 、混沌理论
混沌理论(Chaos theory)是一种兼具质性思考与量化分析的方法,用来探讨动态系统中(如:人口移动、化学反应、气象变化、社会行为等)必须用整体、连续的而不是单一的数据关系才能加以解释和预测的行为。
                    
1963年美国气象学家爱德华·诺顿·洛伦茨提出混沌理论(Chaos),非线性系统具有的多样性和多尺度性。混沌理论解释了决定系统可能产生随机结果。理论的最大的贡献是用简单的模型获得明确的非周期结果。在气象、航空及航天等领域的研究里有重大的作用。
混沌理论认为在混沌系统中,初始条件十分微小的变化,经过不断放大,对其未来状态会造成极其巨大的差别。我们可以用在西方世界流传的一首民谣对此作形象的说明。这首民谣说:
钉子缺,蹄铁卸;蹄铁卸,战马蹶;战马蹶,骑士绝;骑士绝,战事折;战事折,国家灭。
马蹄铁上一个钉子是否会丢失,本是初始条件的十分微小的变化,但其“长期”效应却是一个帝国存与亡的根本差别。这就是军事和政治领域中的所谓“蝴蝶效应”。混沌系统对外界的刺激反应,比非混沌系统快。
17 布莱克-斯科尔斯方程
          
 
布莱克-斯科尔斯模型,描述金融市场并对金融市场中的金融衍生产品进行定价的一种数学模型。1973年由美国经济学家布莱克和斯科尔斯(Myron Scholes,1941-)提出,故称。美国经济学家莫顿(Rpbert C. Merton,1944—)对此模型进行了数学解释,故该模型又称“布莱克-斯科尔斯-莫顿模型”。该模型的要点是:假设标的物的价格符合对数正态分布,通过用标的物来完全对冲期权消除风险的方法构建一个无风险资产组合,该资产组合的收益应等同于无风险收益,从而得到一个偏微分方程。该方程的解即为期权定价公式,通常称为布莱克-斯科尔斯定价公式。
致谢:
https://mp.weixin.qq.com/s/OBqL-k2yDnc-H5WLzLUDMw整理了前六个
我把剩余11个数学公式整理完毕,分享学习。


















