c3d代码

article/2025/10/14 15:35:06

##c3d代码
原文链接:https://blog.csdn.net/ZJRN1027/article/details/80199248
cross_entropy_mean = tf.reduce_mean(
tf.nn.sparse_softmax_cross_entropy_with_logits(labels=labels,logits=logit)
)
tf.summary.scalar(
name_scope + ‘_cross_entropy’,
cross_entropy_mean
)
tf.nn.sparse_softmax_cross_entropy_with_logits(labels=labels,logits=logit)
logits为神经网络输出层的输出,shape为[batch_size,num_classes],
label为一个一维的vector,长度等于batch_size,每一个值的取值区间必须是[0,num_classes),其实每一个值就是代表了batch中对应样本的类别

  tf.nn.sparse_softmax_cross_entropy_with_logits()首先来说,这个函数的具体实现分为了两个步骤,我们一步一步依次来看。

第一步:Softmax

不管是在进行文本分类还是图像识别等任务时,神经网络的输出层个神经元个数通常都是我们要分类的类别数量,也可以说,神经网络output vector的dimension通常为类别数量,而我们的Softmax函数的作用就是将每个类别所对应的输出分量归一化,使各个分量的和为1,这样可以理解为将output vector的输出分量值,转化为了将input data分类为每个类别的概率。举一个例子来说:
在这里插入图片描述

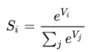
假设上面这个图中的Z1,Z2,Z3为一个三分类模型的output vector,为[3,1,-3],3代表类别1所对应的分量,1为类别2对应的分量,-3为类别3对应的分量。经过Softmax函数作用后,将其转化为了[0.88,0.12,0],这就代表了输入的这个样本被分到类别1的概率为0.88,分到类别2的概率为0.12,分到类别3的概率几乎为0。这就是Softmax函数的作用,Softmax函数的公式如下所示,我们就不做详细讲解了。
在这里插入图片描述

第二步:计算Cross-Entropy

神经网络的输出层经过Softmax函数作用后,接下来就要计算我们的loss了,这个这里是使用了Cross-Entropy作为了loss function。由于tf.nn.sparse_softmax_cross_entropy_with_logits()输入的label格式为一维的向量,所以首先需要将其转化为one-hot格式的编码,例如如果分量为3,代表该样本属于第三类,其对应的one-hot格式label为[0,0,0,1,…0],而如果你的label已经是one-hot格式,则可以使用tf.nn.softmax_cross_entropy_with_logits()函数来进行softmax和loss的计算。

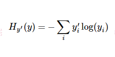
转为one-hot格式之后就该计算我们的cross-entropy了,公式如下:
在这里插入图片描述

其中在这里插入图片描述为label中的第i个值,yi为经softmax归一化输出的vector中的对应分量,由此可以看出,当分类越准确时,yi所对应的分量就会越接近于1,在这里插入图片描述从而的值也就会越小。
sparse 不用one-hot, 直接用标签计算交叉熵


http://chatgpt.dhexx.cn/article/nohuiOTj.shtml

相关文章

【C3D代码运行步骤】

1. 克隆或者下载项目 方法一:在github上直接下载项目:项目地址 方法二:使用git克隆(推荐),相关内容参考Git的安装及github远程仓库ssh连接 git clone https://github.com/Niki173/C3D.git https://github.com/jfzhan…

行为识别C3D代码(pytorch)实现过程及常见错误

行为识别C3D代码(pytorch)实现过程及常见错误 1.C3D网络代码 C3D(pytorch)实现代码链接: C3D代码 2.C3D代码复现过程 (1)环境版本要求 pytorch:3.5及以上 opencv:3.4.2(我是这样…

C3D的视频分类

很久之前做了C3D的视频分类,现在详细把整个项目的细节描述一下。 首先介绍一下C3D:对于一段视频来说,它是连续的帧图像叠加起来的,所以可以考虑在生成通道图像的时候,把多帧图像叠加的特性讨论进去。 一个视频段输入&…

C3D源码解读(基于3D卷积的动作识别)

UCF数据集下载地址:https://www.crcv.ucf.edu/data/UCF101.php 1.推理效果与项目配置 执行inference.py,需要指定3个参数,第一个是标签文件地址,存储了各个标签的含义,第二个是权重文件地址,第三个是要进行推理的视频…

C3D代码总结(Pytorch)

C3D代码总结(Pytorch) github:https://github.com/Niki173/C3D 介绍数据介绍文件介绍具体操作流程运行结果 介绍: 本次C3D模型用的是pytorch框架,我们在UCF101和HMDB51数据集上训练这些模型,本次实验以U…

C3D论文笔记

论文链接:http://vlg.cs.dartmouth.edu/c3d/c3d_video.pdf 代码链接:https://github.com/jfzhang95/pytorch-video-recognition 1. C3D是什么? C3D,全称Convolutional 3D,即3D卷积。3D卷积方法是把视频划分成很多固定…

C3D网络介绍

1. 模型简介 C3D模型广泛用于3D视觉任务。C3D网络的构造类似于常见的2D卷积网,主要区别在于C3D使用像卷积3D这样的3D操作,而2D卷积网则是通常的2D架构。要了解有关C3D网络的更多信息,您可以阅读原始论文学习3D卷积网络的时空特征。 3D卷积图…

视频分析模型(行为识别):C3D

C3D 文章目录 C3D1. 简介1.1 背景1.2 C3D特点1.3 视频描述符1.4 C3D的结果 2. 架构2.1 工作流程2.2 网络结构2.3 3D卷积和池化2.4 kernel 的时间深度 3. 可视化3.1 特征图3.2 特征嵌入 4. 应用场景4.1 动作识别4.2 动作相似度标注4.3 场景和目标识别4.4 运行时间分析 1. 简介 …

C3D论文精读

论文地址:https://vlg.cs.dartmouth.edu/c3d/c3d_video.pdf Abstract 作者的研究结果有三个方面: 1)与二维相比,三维卷积网更适合时空特征学习;2)所有层具有333的小卷积核的同构架构是3D卷积网的最佳架构之一;3)学习到的特征&am…

基于C3D网络的视频分析与动作识别

卷积神经网络(CNN)被广泛应用于计算机视觉中,包括分类、检测、分割等任务。这些任务一般都是针对图像进行的,使用的是二维卷积(即卷积核的维度为二维)。而对于基于视频分析的问题,2D convolutio…

《QDebug 2022年12月》

一、Qt Widgets 问题交流 二、Qt Quick 问题交流 1、在 C 中关联 QQuickWindow 的 closing 信号提示 "使用了未定义类型QQuickCloseEvent" 因为 closing 信号中的参数类型是 private 模块中定义的,但是通过第二句提示我们知道找到了完整定义才能使用 Q_…

4.4 案例8 用qDebug()输出信息

本案例对应的源代码目录:src/chapter04/ks04_04。 在开发C/S(Client/Server,客户端/服务端)模式的软件时,服务端程序(有时也称作服务)经常运行在两种模式下。 (1)终端模…

Qt扫盲-QDebug理论总结

QDebug理论使用总结 一、概述二、使用1. 基础使用2. 格式化选项3.将自定义类型写入流 一、概述 每当开发人员需要将调试或跟踪信息写入设备、文件、字符串或控制台时,都会使用QDebug。这个就可以方便我们调试,基本上Qt所有的内容都能通过调试打印出来&a…

Qt重定向QDebug,自定义一个简易的日志管理类

0.前言 相对于第三方的日志库,在 Qt 中使用 QDebug 打印更便捷,有时候也需要对 QDebug 输出进行重定向,如写入文件等。 在 Qt4 中使用 qInstallMsgHandler 函数设置重定向的函数指针: typedef void (*QtMsgHandler)(QtMsgType,…

qDebug 控制台输出

做个小笔记:qDebug 控制台输出 Ⅰ&#xff1a;*.pro文件中添加 win32:CONFIG console Ⅱ&#xff1a;配置项目运行设置&#xff0c;将Run in terminal 复选框打勾 Ⅲ&#xff1a;添加头文件 #include <QDebug> Ⅳ&#xff1a;用qDebug()<<"xxxx";输…

Qt ——debug调试

程序调试&#xff1a; 方法一&#xff1a;断点调试法方法二&#xff1a;使用qDebug()函数 方法一&#xff1a;断点调试法 我们可以在程序加断点&#xff0c;然后再利用单步调试查看变量的值是否异常。 1. 设置断点。 可以左击相应的代码行前的区域&#xff08;下图用红色框标…

jadx反编译—下载和使用(傻瓜教程,非常详细)

原文地址 一、在GitHub上直接下载 下载地址 可以下这个版本&#xff1a; 二、运行图形化界面 1、将zip文件解压后定位到在lib文件夹中&#xff0c;在此处打开命令行 2、运行jadx-gui-0.7.1.jar&#xff08;前提是已经装好了JDK1.8&#xff09; 命令如下&#xff1a; <sp…

Android APK 反编译工具 JADX

文章目录 JADX 介绍JADX 安装JADX 使用补充APK 目录结构含义APK 打包流程 JADX 介绍 GitHub 地址&#xff1a;https://github.com/skylot/jadx JADX 支持将 APK, dex, aar, zip 中的 dalvik 字节码反编译为 Java 代码&#xff0c;也支持反编译 AndroidManifest.xml 和 resource…

jadx-gui 重命名功能

jad-gui 是大家常用的一款反编译工具&#xff0c;其中有些小使用技巧可以帮助大家更快的“学习”知识。 安装 方法参考项目GitHub主页 重命名 最新的 1.2.0 版本支持了方法、类、字段的重命名&#xff0c;这是一个非常有用的功能&#xff0c;之前反编译出来的都是混淆后的名…

Android 反编译神器jadx的使用

一、前言 今天介绍一个非常好用的反编译的工具 jadx 。jadx 的功能非常的强大&#xff0c;对我而言&#xff0c;基本上满足日常反编译需求。 jadx 优点&#xff1a; 图形化的界面。拖拽式的操作。反编译输出 Java 代码。导出 Gradle 工程。 这些优点都让 jadx 成为我反编译…