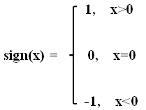
1、sign()函数功能介绍
 sign()是Python的Numpy中的取数字符号(数字前的正负号)的函数。

 2、sign()函数用法代码演示
 import numpy as np
 dataArr = [-0.2, -1.1, 0, 2.3, 4.5, 0.0]
 print(“输入数据为:”)
 print(dataArr)
 signResult = np.sign(dataArr)
 print("\n使用sign函数的输出符号为:")
运行结果如下:
 
 原文:https://blog.csdn.net/lyq_12/article/details/86645425


















