2022高等代数笔记-b站宋浩
- 基本内容
 - 笔记
 
基本内容
01.二阶行列式
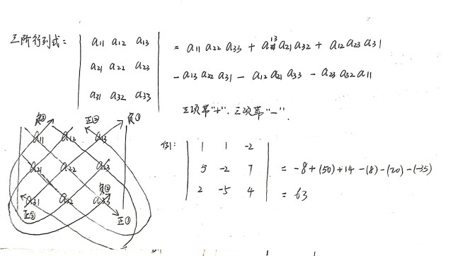
 02.三阶行列式
 03.排列与逆序
 04.奇排列和偶排列
 05.对换
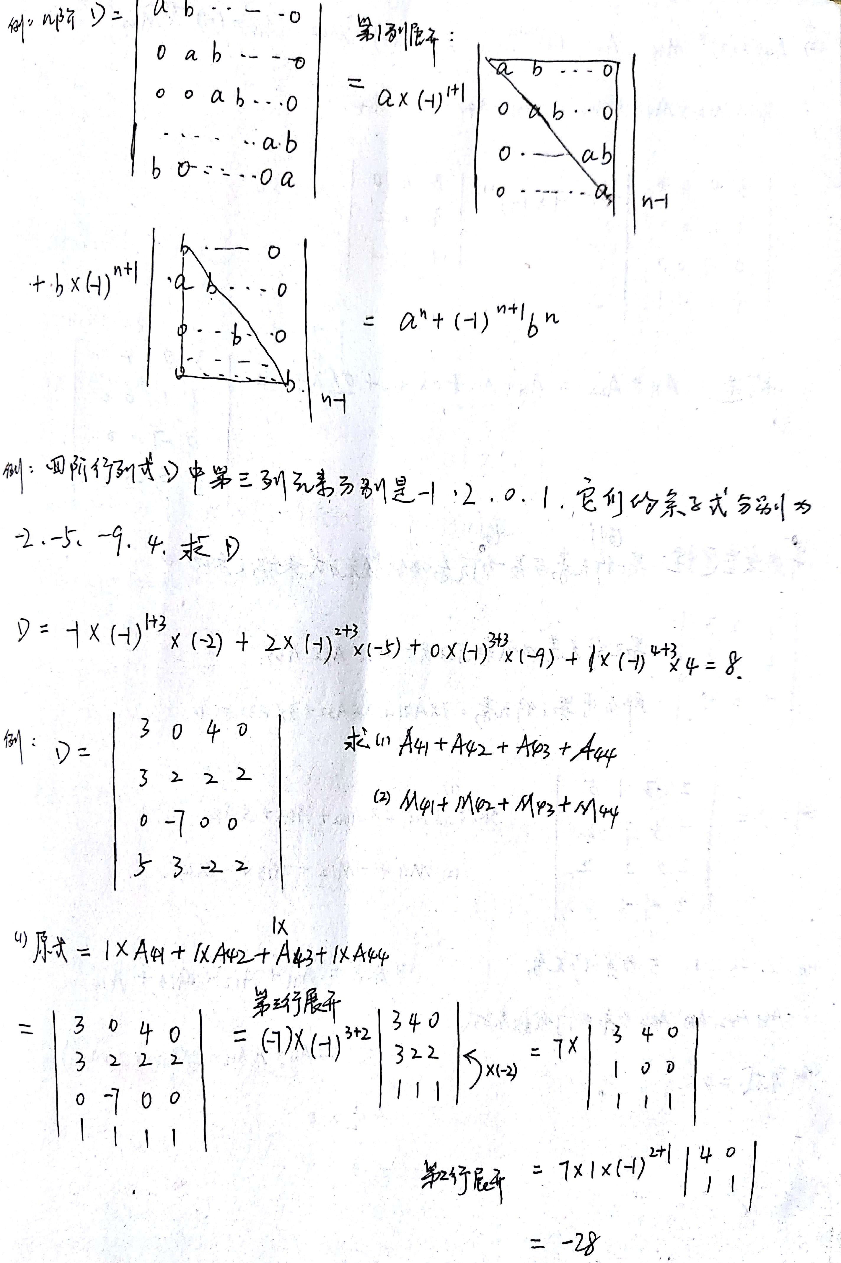
 06.n阶行列式
 07.特殊行列式
 08.行列式的性质
 09.余子式
 10.代数余子式
 11.行列式按某一行(列)展开
 12.行列式按一行展开
 13.异乘变零定理
 14.拉普拉斯定理
 15.克莱姆法则
 16.行列式的计算
 17.矩阵的定义
 18.矩阵与行列式的区别和联系
 19.同型矩阵
 20.矩阵相等
 21.零矩阵
 22.特殊矩阵
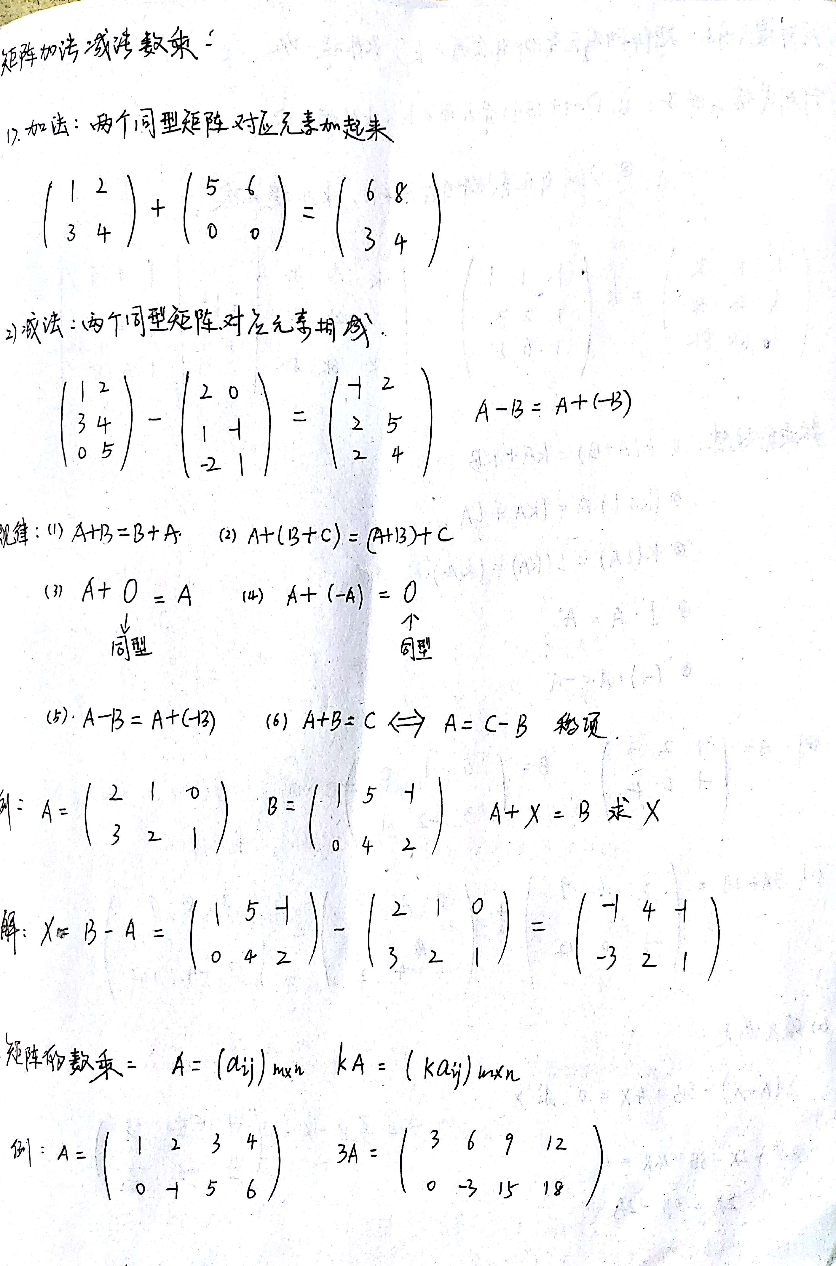
 23.矩阵的加减法
 24.矩阵的数乘运算
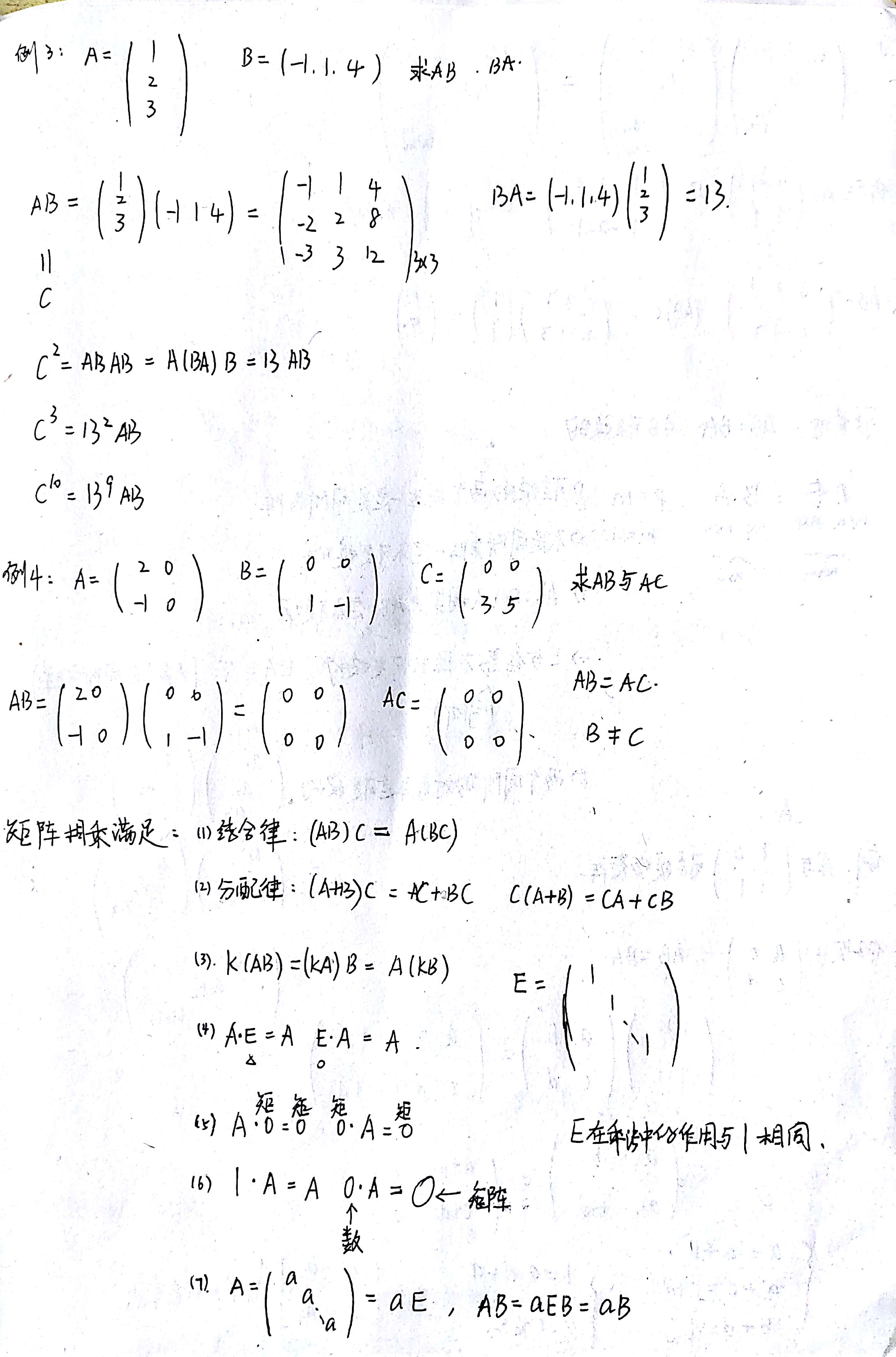
 25.矩阵的乘法
 26.矩阵相乘不满足什么
 27.矩阵相乘满足规则
 28.矩阵可交换的
 29.方阵的幂
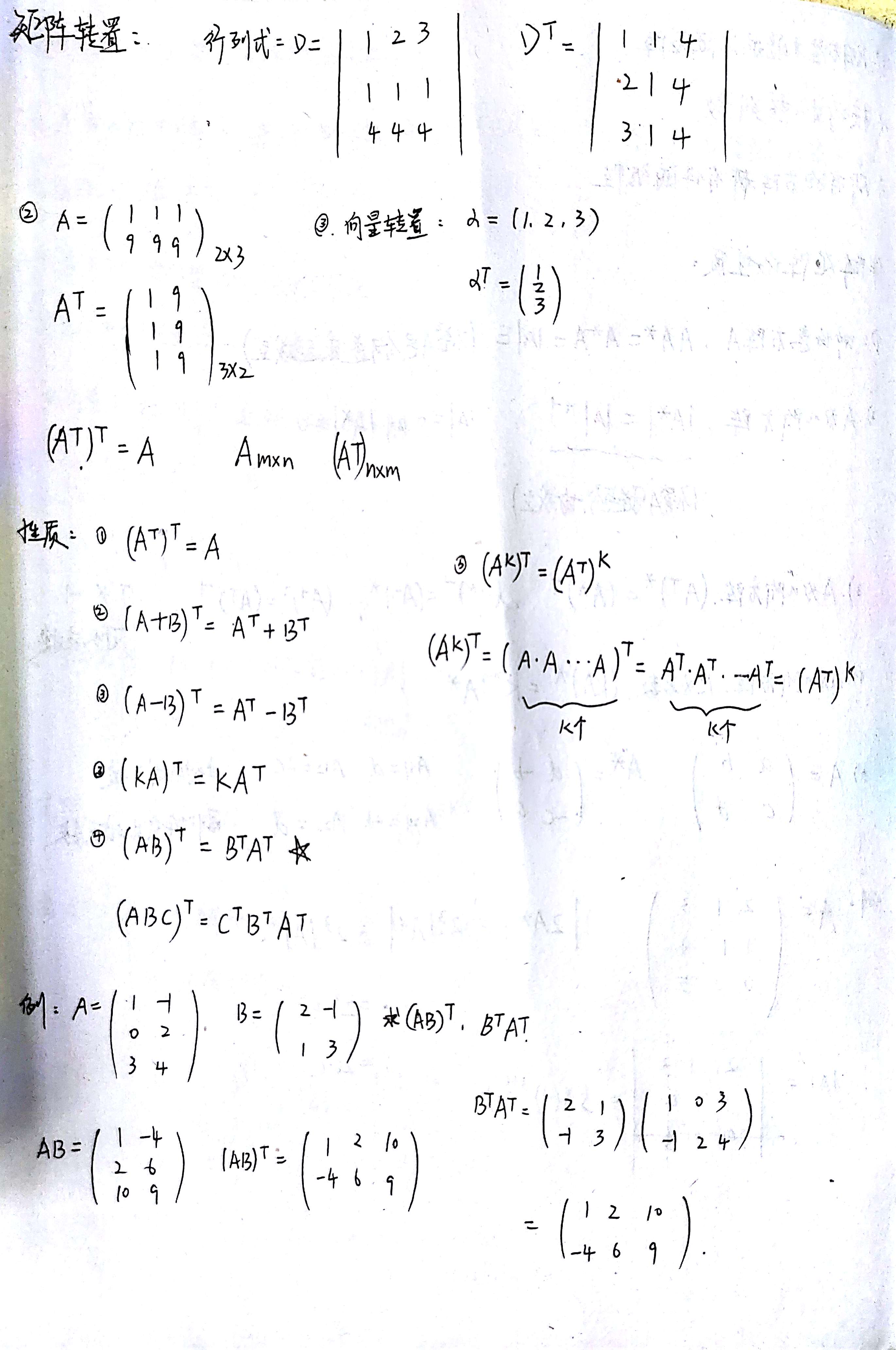
 30.矩阵转置
 31.对称矩阵
 32.反对称矩阵
 33.伴随矩阵
 34.伴随矩阵的性质
 35.逆矩阵定义
 36.逆矩阵的求法
 37.可逆矩阵的性质
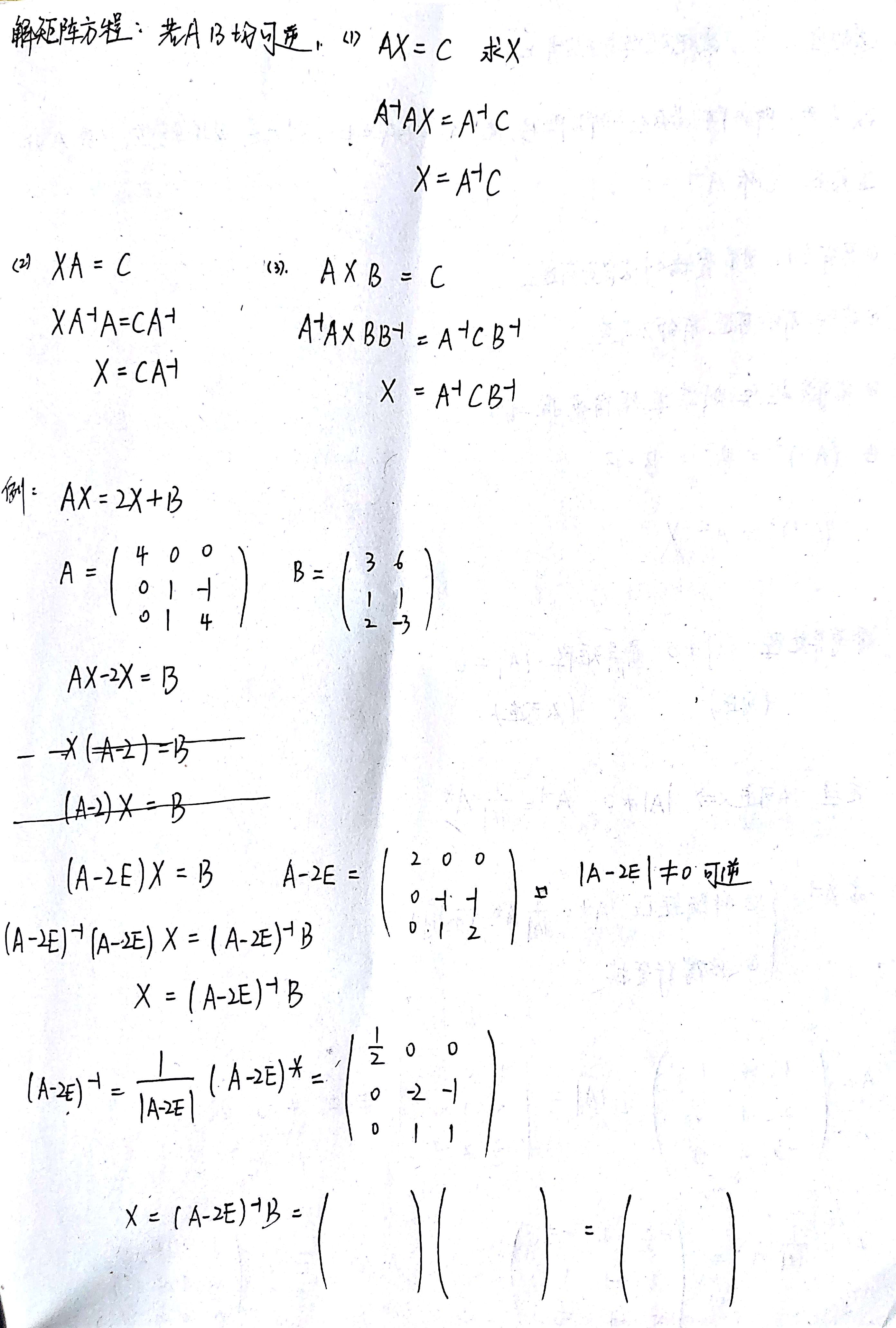
 38.解矩阵方程
 39.初等行列变换
 40.矩阵的标准型
 41.阶梯型 行简化阶梯型
 42.初等矩阵
 43.初等变换与初等矩阵的关系
 44.矩阵等价的定义和性质
 45.分块矩阵
 46.分块矩阵的逆矩阵
 47.矩阵秩的定义 满秩 行列满秩
 48.矩阵秩的性质
 49.向量的定义 线性运算
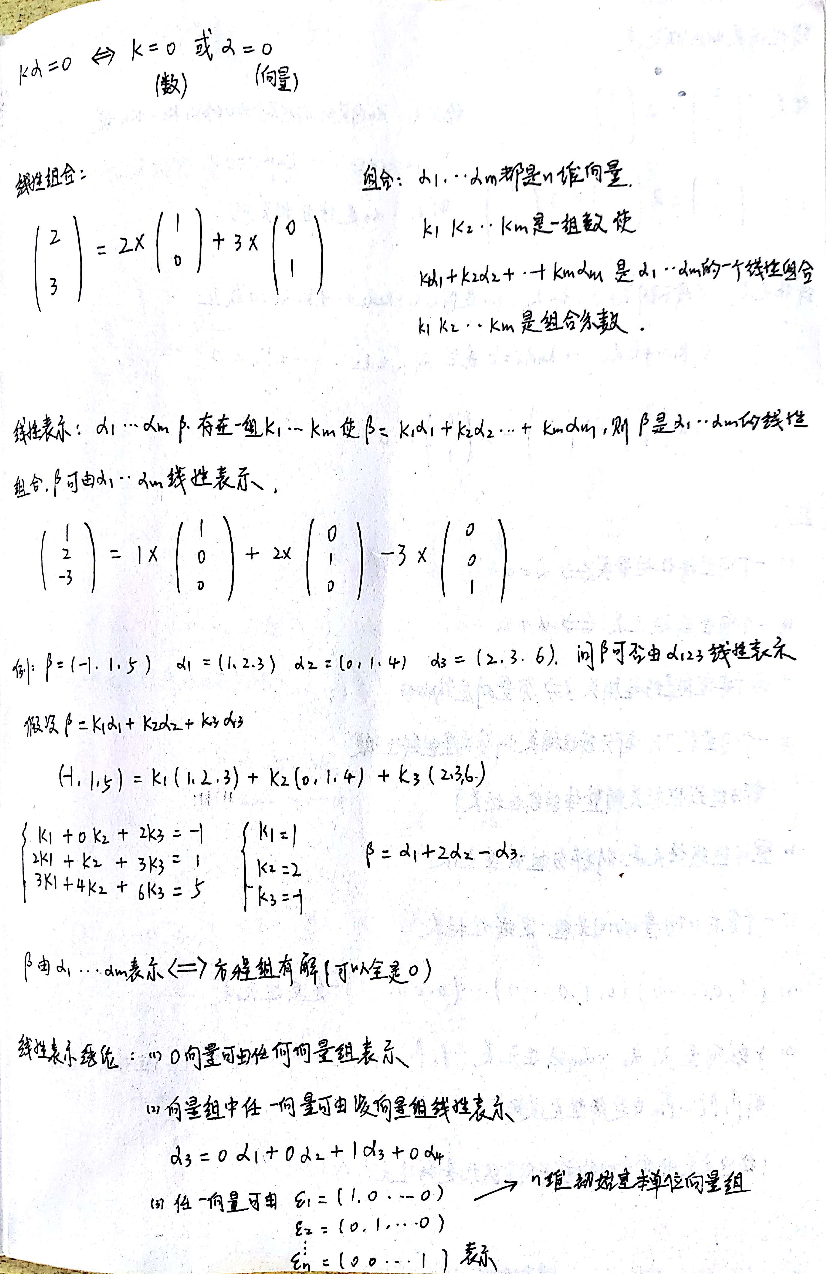
 50.线性组合和线性表示
 51.线性相关无关的性质
 52.向量组等价的定义
 53.线性相关无关的结论
 54.极大无关组
 55.求解极大无关组
 56.向量组的秩
 57.向量空间
 58.基维数坐标
 59.过度矩阵和坐标变换
 60.线性方程组的基本概念
 61.用初等行变换解方程组
 62.线性方程组有解的判定
 63.方程组有解判定常见题型
 64.齐次线性方程组
 65.齐次线性方程组解的结构
 66.非齐次线性方程组解的结构
 67.特征值
 68.特征向量
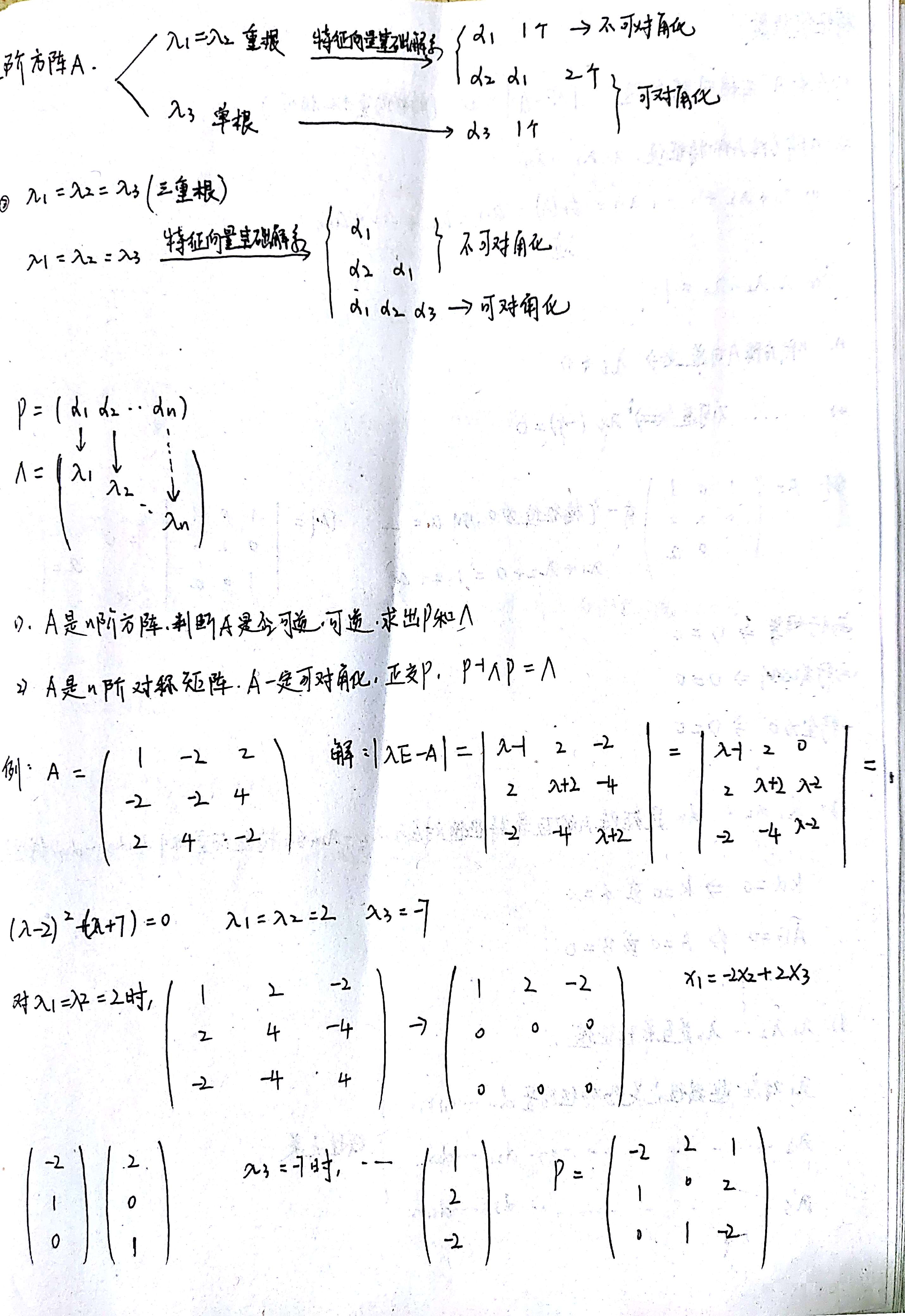
 69.特征值和特征向量的关系
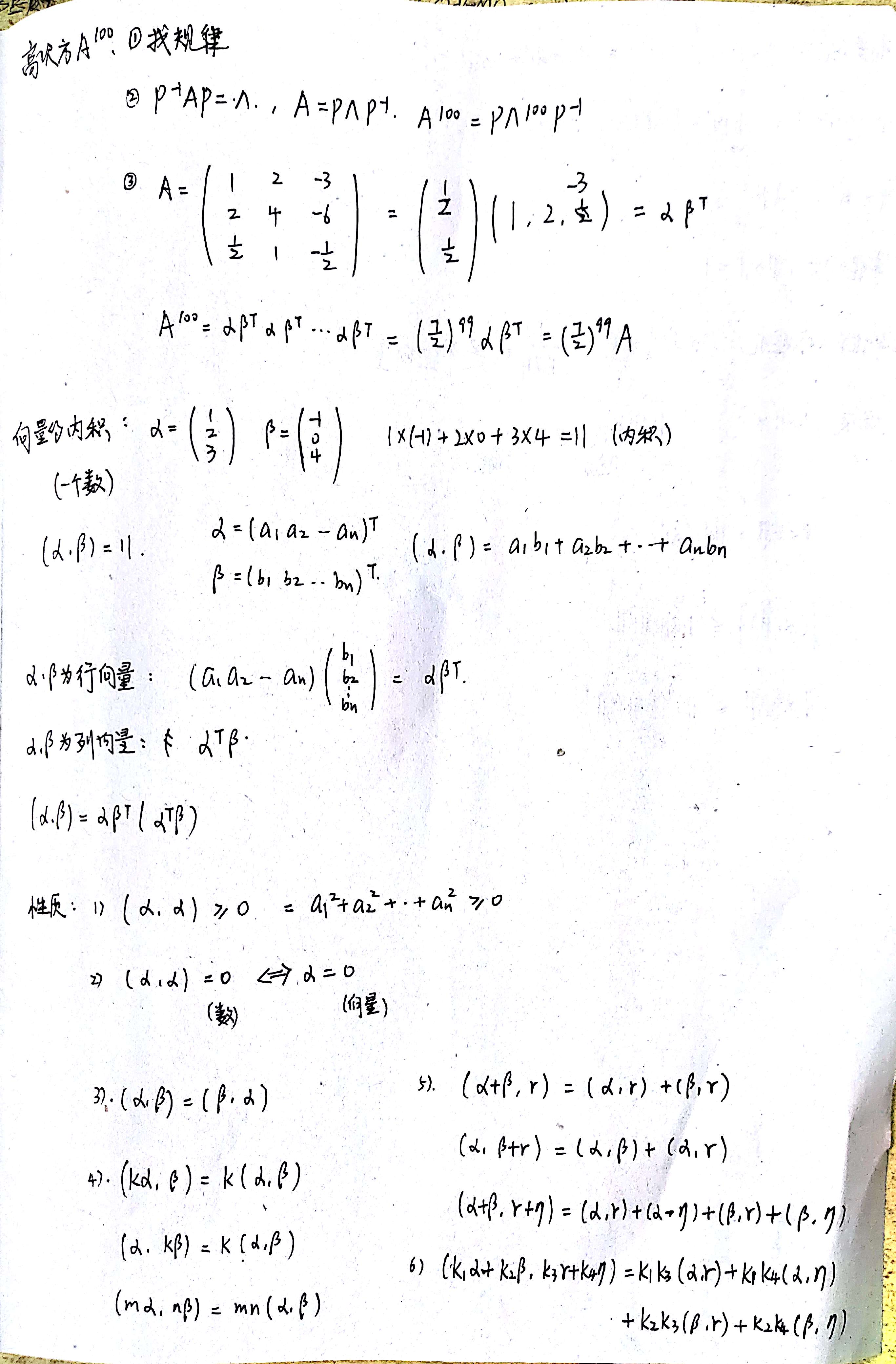
 70.特征值的性质
 71.相似的定义和性质
 72.矩阵的可对角化
 73.内积
 74.向量的长度
笔记






















































































- ——————END-2022-03-29——————
 - 个人学习笔记,如有纰漏,敬请指正。
 - 感谢您的阅读。
 



















