向量运算

article/2025/10/23 5:32:18

零向量

任意一维都是0的向量,例如[0,0,0],3D零向量。
零向量是唯一大小为零的向量,也是唯一一个没有方向的向量。但不是点,只是没有位移。

负向量

要得到任意向量的负向量,只需要简单的将向量的每个分量都变负。例如-[x,y,z]=[-x,-y,-z]。
向量变负,将得到一个和原向量大小相等,方向相反的向量。
在这里插入图片描述
注意,向量在图中的位置是无关紧要的,只有大小和方向才是最重要的

向量大小(长度或模)

推导:对2D中任意向量v,能构造一个以v为斜边的直角三角形,由勾股定理可知,对于任意直角三角形,斜边的长度的平方等于两直角边长度的平方和,则:
在这里插入图片描述
因此可以得到n维向量大小的计算公式:
在这里插入图片描述

标量和向量的乘法

运算方式:

  1. 标量和向量不能相加,但是能相乘,得到的是一个与原向量平行,但长度不同或方向相反的新向量。
  2. 向量乘以标量k的效果就是以因子|k|缩放向量的长度。
  3. 向量也能除以非零标量,效果等同于乘以标量的倒数。
  4. 计算方式,就是让n维向量的每一维都乘以标量k,例如:k [x,y,z] = [kx,ky,kz]

注意事项:

  1. 标量与向量相乘时,不需要写乘号。将两个量挨着写即表示相乘(常将标量写在左边)
  2. 标量和向量的乘法和除法优先级高于加法和减法。例如:3a+b = (3a)+b
  3. 标量不能除以向量,并且向量不能除以另一个向量
  4. 负向量能被认为是乘法的特殊情况,乘以标量-1

标准化向量

即单位向量(或法线):方向与原向量方向相同,大小为1的向量。
计算公式:将向量除以向量的大小(模) v(norm) = v / ||v||
零向量不能被标准化,因为零向量没有方向。

向量的加减法

计算公式:两个向量的对应维度相加减,例如
[x,y,z] + [a,b,c] = [x+a,y+b,z+c]
[x,y,z] - [a,b,c] = [x-a,y-b,z-c]
[x,y,z] - [a,b,c] = [x,y,z] + (- [a,b,c])

点a到点b的向量,为b-a。

注意事项:

  1. 向量不能和标量或维度不同的向量相加减。
  2. 和标量加法一样,向量加法满足交换律,但向量减法不满足交换律。永远有 a+b=b+a,但是a-b=-(b-a),仅当a = b时,a-b=b-a

向量a和b相加的几何解释:平移向量,使向量a的头连接向量b的尾,接着从a的尾向b的头画一个向量。这就是向量加法的“三角形法则”。如图:
在这里插入图片描述

向量点乘(内积)

运算法则:
[a1,a2,a3…,an] 点乘 [b1,b2,b3…,bn] = a1b1+a2b2+a3b3…+anbn

几何解释:
点乘的结果描述了两个向量的相似程度,点乘结果越大,两向量越接近。

在这里插入图片描述
点乘等于向量大小与向量夹角的cos值的积:

在这里插入图片描述
在这里插入图片描述
点乘结果判断角度范围:
在这里插入图片描述

向量投影

在这里插入图片描述
示意图:

在这里插入图片描述
在这里插入图片描述
根据三角函数可得:
在这里插入图片描述
代入原公式得:
在这里插入图片描述
另一分量为:
在这里插入图片描述

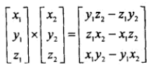
向量叉乘

仅可用于3D向量,和点乘不同,点乘得到一个标量并满足交换律,向量叉乘得到一个向量并且不满足交换律,但满足反交换律,即 a x b = -(b x a)。

运算法则:
在这里插入图片描述
几何解释:
叉乘得到的向量垂直于原来的两个向量。
在这里插入图片描述
在这里插入图片描述
如果a,b平行或任意一个为0,则a x b = 0。叉乘对零向量的解释为:它平行于任意其它向量。注意这和点乘的解释不同,点乘的解释是和任意其它向量垂直。(当然,定义零向量平行或垂直于任意向量都是不对的,因为零向量没有方向。)

已经证明了a x b垂直于a、b。但是垂直于a、b有两个方向。a x b指向哪个方向呢?通过将a的头于b的尾相接,并检查从a到b是顺时针还是逆时针,能够确定a x b的方向。在左手坐标系中,如果a和b呈顺时针,那么a x b指向您。如果a x b呈逆时针,a x b远离您。在右手坐标系中,恰好相反。如果a和b呈顺时针,a x b远离您,如果a和b呈逆时针,a x b指向您。
顺时针图:
在这里插入图片描述
逆时针图:
在这里插入图片描述
注意:尾尾相连是用来求向量间的夹角,头尾相连决定顺时针还是逆时针方向。

线性代数公式

在这里插入图片描述
在这里插入图片描述
在这里插入图片描述
在这里插入图片描述
在这里插入图片描述
在这里插入图片描述
在这里插入图片描述


http://chatgpt.dhexx.cn/article/hU53AEX0.shtml

相关文章

利用websocket实现群聊以及单聊

利用websocket实现群聊以及单聊 项目结构实现代码运行截图 在这里提供一下思路,正常情况下我们登陆进去之后就应该打开一个ws连接,以便和服务器进行通信,将打开的管道用一个set容器进行存储,并将用户名或者其他能唯一标示用户的字…

Java实现钉钉自定义群聊机器人

参考文档: 自定义机器人接入 - 钉钉开放平台https://open.dingtalk.com/document/orgapp/custom-robot-access 自定义机器人安全设置 - 钉钉开放平台目前有3种安全设置方式,请根据需要选择一种。https://open.dingtalk.com/document/robots/customize-ro…

Netty基础,Netty实现群聊系统

NIO群聊系统 这里面的知识比较全面,用到了我们之前学习的三大组件,首先我先来给大家介绍本系统的功能 服务端功能 最基本的当然是注册功能,也就是将serverSocketChannel注册进Selector,Selector负责调度事件 监听、读取客户端…

c语言 多进程实现基于UDP的网络群聊聊天室

功能 有新用户登录,其他在线的用户可以收到登录信息 有用户群聊,其他在线的用户可以收到群聊信息 有用户退出,其他在线的用户可以收到退出信息 服务器可以发送系统信息 流程图如下: 提示: 客户端登录之后&#x…

Spring Boot使用WebSocket实现群聊

1.通过https://start.aliyun.com创建一个spring boot项目 https://start.aliyun.com 所需依赖: 2.编写代码 目录: WebMvcConfig,监控用户页面: package com.example.mywbsk.config;import org.springframework.context.annotat…

网络编程 : 基于UDP的网络群聊聊天室

一、UDP网络编程: 1.1 流程 服务器流程: 创建用户数据报套接字 填充服务器的网络信息结构体 绑定套接字与服务器网络信息结构体 收发数据 关闭套接字 客户端流程: 创建用户数据报套接字 填充服务器的网络信息结构体 收发数据 关闭套接字 二、基于UDP的网络群聊聊天…

Java网络编程:TCP实现群聊功能代码

Java网络编程:TCP实现群聊功能代码 实现的功能:群聊 具体操作流程的大致思路: 某个客户端发送消息,服务器将该消息转发给其余客户端(除了自己)。 代码一共分两个端(服务器和客户端&#xff0…

【Java教程】UDP实现群聊聊天室

大家好,今天为大家带来了一个非常有意思的小程序——UDP实现的群聊聊天室。这个程序使用的UDP协议,并使用DatagramSocket的子类MulticastSocket实现组播,可以部署在一个局域网内的多台电脑上,并可以实现文字群聊。 本文将会按照以…

群聊私聊天建群社交即时通讯H5系统开发

群聊私聊天建群社交即时通讯H5系统开发 前端功能: 聊天、通讯录、动态、发现、我、多国语言、私聊、群聊、创建群聊(设置免费、收费)、发布动态、发信息(图片、文字、红包、不支持语言)、我的余额(后台添加…

socket.io实现简易版群聊

最近学了点 websocket 的技术知识,了解到 node.js 有相关技术——socket.io可以实现,就想着实现一个简单版本的群聊。 先看看效果图 在浏览器中打开2个窗口,访问 http://localhost:3000/socket 目录结构 node 服务器代码实现 需要安装 exp…

Go实现简易聊天室(群聊)

参考:Go 群聊 ( goroutine ) 语雀 基于websocket的聊天室,可进一步参考: (1) go实现聊天室(WebSocket方式) (2) Golang代码搜集-基于websocketvue.js的简易聊天室 闲着无聊ing~ 一直想着能用go整一些好玩的小工具,想着想着突然想…

vue+websocket+nodejs创建聊天室- 创建群聊、加入群聊

前言 前几篇我们讲了如何创建聊天室,一对一/一对多聊天,以及加已读未读消息状态。 这篇主要讲如何创建群聊和加入群聊。 还是跟之前一样,本文只写新加入的逻辑,之前逻辑请查看之前文章。 PS:效果稍微有点粗糙哈哈,不要…

html群聊插件,团队群聊.html

团队群聊 $axure.utils.getTransparentGifPath function() { return resources/images/transparent.gif; }; $axure.utils.getOtherPath function() { return resources/Other.html; }; $axure.utils.getReloadPath function() { return resources/reload.html;…

ajax聊天室创建群聊,js+node.js+socket.io实现聊天功能(私聊,创建群聊)

效果图: 这里启动了四个客户端进行测试 1. 登录,以及获取在线用户列表 2. 私聊功能 3. 群聊功能 偶然发现了WebSocket, 发现这个可以实时通信,在线聊天,所以就做了一个聊天工具的demo,记录一下 Socket.io WebSocket是js原生自带的,而Socket.io相当于是对WebSocket进行封装…

php怎么做群聊,workerman实现群聊

服务端: require_once "../vendor/autoload.php"; use Workerman\Worker; $worker new Worker(‘websocket://0.0.0.0:2345‘); $worker->count 1; $worker->onWorkerStart function($data){ echo "连接开始\n"; }; $worker->onCon…

致微信:我们什么时候重新定义群聊?

你永远都不知道,自己到底有多少微信群。 你也很难想象,一个20多人的小团队,相互之间会建几百个群,然后当你需要群发一个文件/通知时,还是找不到合适的群,怎么办?重新拉一个群呗。 如果你加的群稍…

怎么玩转LINE 群聊

关键词:LINE群聊 ;SaleSmartly(ss客服) 一个 LINE 群聊是企业让客户了解其产品或服务的有效方式。如果使用得当, LINE 小组是企业同时快速培养与多个客户关系的绝佳场所。想了解更多吗?继续阅读&#xff0…

微信怎么找群聊?找回微信群聊只需要这样…

如今社会中的日常生活已经离不开微信,微信是社交界的一股清流,聊天、视频、语音等等功能,而且支付功能的用途范围在国内也甚是广泛。微信怎么找群聊?是的,当多个好友之间相互认识,或者都有一个共同点的时候…

免费tk域名+freewebhostingarea空间

1.申请免费域名 进入http://www.dot.tk(推荐注册tk域名),申请一个新的域名,每次申请12个月以下是免费的,到期前14天可以免费续期 在此页面执行下一步之前,需要进行设置DNS服务器 2.获取DNS服务器 申请进…

免费国外PHP+MYSQL空间申请

这是一个在匈牙利的免费空间,但是在网页上方挂广告条(可以用CSS屏蔽掉). 支持的以下内容管理系统: - Joomla - Wordpress - e107 - Drupal - Simple Machine Forum (SMF) - PHP-Nuke - phpBB - Elxis - MyBB - CMS Made Simple 具体申请步骤: 1.进入www.freeweb.hu 2. 3. 4. 5.…