完整版教程下载地址:http://www.armbbs.cn/forum.php?mod=viewthread&tid=94547
第37章 STM32F407的FIR低通滤波器实现(支持逐个数据的实时滤波)
本章节讲解FIR低通滤波器实现。
目录
37.1 初学者重要提示
37.2 低通滤波器介绍
37.3 FIR滤波器介绍
37.4 Matlab工具箱filterDesinger生成低通滤波器C头文件
37.5 FIR低通滤波器设计
37.5.1 函数arm_fir_init_f32
37.5.2 函数arm_fir_f32
37.5.3 filterDesigner获取低通滤波器系数
37.5.4 低通滤波器实现
37.6 实验例程说明(MDK)
37.7 实验例程说明(IAR)
37.8 总结
37.1 初学者重要提示
1、 本章节提供的低通滤波器支持实时滤波,每次可以滤波一个数据,也可以多个数据,不限制大小。但要注意以下两点:
- 所有数据是在同一个采样率下依次采集的数据。
- 每次过滤数据个数一旦固定下来,运行中不可再修改。
2、 FIR滤波器的群延迟是一个重要的知识点,详情在本教程第41章有详细说明。
37.2 低通滤波器介绍
允许低频信号通过,而减弱高于截止频率的信号通过。比如混合信号含有50Hz + 200Hz信号,我们可通过低通滤波器,过滤掉200Hz信号,让50Hz信号通过。

37.3 FIR滤波器介绍
ARM官方提供的FIR库支持Q7,Q15,Q31和浮点四种数据类型。其中Q15和Q31提供了快速算法版本。
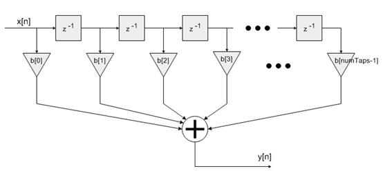
FIR滤波器的基本算法是一种乘法-累加(MAC)运行,输出表达式如下:
y[n] = b[0] * x[n] + b[1] * x[n-1] + b[2] * x[n-2] + ...+ b[numTaps-1] * x[n-numTaps+1]
结构图如下:

这种网络结构就是在35.2.1小节所讲的直接型结构。
37.4 Matlab工具箱filterDesinger生成低通滤波器C头文件
下面我们讲解下如何通过filterDesigner工具生成C头文件,也就是生成滤波器系数。首先在matlab的命窗口输入filterDesigner就能打开这个工具箱:

filterDesigner界面打开效果如下:

FIR滤波器的低通,高通,带通,带阻滤波的设置会在后面逐个讲解,这里重点介绍设置后相应参数后如何生成滤波器系数。参数设置好以后点击如下按钮:

点击Design Filter按钮以后就生成了所需的滤波器系数,生成滤波器系数以后点击filterDesigner界面上的菜单Targets->Generate C header ,打开后显示如下界面:

然后点击Generate,生成如下界面:

再点击保存,并打开fdatool.h文件,可以看到生成的系数:
/** Filter Coefficients (C Source) generated by the Filter Design and Analysis Tool* Generated by MATLAB(R) 9.4 and Signal Processing Toolbox 8.0.* Generated on: 20-Jul-2021 12:19:30*//** Discrete-Time FIR Filter (real)* -------------------------------* Filter Structure : Direct-Form FIR* Filter Length : 51* Stable : Yes* Linear Phase : Yes (Type 1)*//* General type conversion for MATLAB generated C-code */
#include "tmwtypes.h"
/* * Expected path to tmwtypes.h * D:\Program Files\MATLAB\R2018a\extern\include\tmwtypes.h */
/** Warning - Filter coefficients were truncated to fit specified data type. * The resulting response may not match generated theoretical response.* Use the Filter Design & Analysis Tool to design accurate* single-precision filter coefficients.*/
const int BL = 51;
const real32_T B[51] = {-0.0009190982091, -0.00271769613,-0.002486952813, 0.003661438357, 0.0136509249,0.01735116541, 0.00766530633,-0.006554719061,-0.007696784101, 0.006105459295,0.01387391612,0.0003508617228, -0.01690892503,-0.008905642666, 0.01744112931,0.02074504457, -0.0122964941, -0.03424086422,-0.001034529647, 0.04779030383,0.02736303769, -0.05937951803, -0.08230702579, 0.06718690693, 0.3100151718,0.4300478697, 0.3100151718, 0.06718690693, -0.08230702579, -0.05937951803,0.02736303769, 0.04779030383,-0.001034529647, -0.03424086422, -0.0122964941,0.02074504457, 0.01744112931,-0.008905642666, -0.01690892503,0.0003508617228,0.01387391612, 0.006105459295,-0.007696784101,-0.006554719061, 0.00766530633,0.01735116541, 0.0136509249, 0.003661438357,-0.002486952813, -0.00271769613,-0.0009190982091
};
上面数组B[51]中的数据就是滤波器系数。下面小节讲解如何使用filterDesigner配置FIR低通,高通,带通和带阻滤波。关于Filter Designer的其它用法,大家可以在matlab命令窗口中输入help filterDesigner打开帮助文档进行学习。

37.5 FIR低通滤波器设计
本章使用的FIR滤波器函数是arm_fir_f32。使用此函数可以设计FIR低通,高通,带通和带阻
滤波器。
37.5.1 函数arm_fir_init_f32
函数原型:
void arm_fir_init_f32(arm_fir_instance_f32 * S,uint16_t numTaps,const float32_t * pCoeffs,float32_t * pState,uint32_t blockSize);
函数描述:
这个函数用于FIR初始化。
函数参数:
- 第1个参数是arm_fir_instance_f32类型结构体变量。
- 第2个参数是滤波器系数的个数。
- 第3个参数是滤波器系数地址。
- 第4个参数是缓冲状态地址。
- 第5个参数是每次处理的数据个数,最小可以每次处理1个数据,最大可以每次全部处理完。
注意事项:
结构体arm_fir_instance_f32的定义如下(在文件arm_math.h文件):
typedef struct{uint16_t numTaps; /**< number of filter coefficients in the filter. */
float32_t *pState; /**< points to the state variable array. The array is of length */numTaps+blockSize-1. float32_t *pCoeffs; /**< points to the coefficient array. The array is of length numTaps. */} arm_fir_instance_f32;
1、参数pCoeffs指向滤波因数,滤波因数数组长度为numTaps。但要注意pCoeffs指向的滤波因数应该按照如下的逆序进行排列:
{b[numTaps-1], b[numTaps-2], b[N-2], ..., b[1], b[0]}
但满足线性相位特性的FIR滤波器具有奇对称或者偶对称的系数,偶对称时逆序排列还是他本身。
2、pState指向状态变量数组,这个数组用于函数内部计算数据的缓存。
3、blockSize 这个参数的大小没有特殊要求,最小可以每次处理1个数据,最大可以每次全部处理完。
37.5.2 函数arm_fir_f32
函数原型:
void arm_fir_f32( const arm_fir_instance_f32 * S, const float32_t * pSrc, float32_t * pDst, uint32_t blockSize)
函数描述:
这个函数用于FIR滤波。
函数参数:
- 第1个参数是arm_fir_instance_f32类型结构体变量。
- 第2个参数是源数据地址。
- 第3个参数是滤波后的数据地址。
- 第4个参数是每次调用处理的数据个数,最小可以每次处理1个数据,最大可以每次全部处理完。
37.5.3 filterDesigner获取低通滤波器系数
设计一个如下的例子:
信号由50Hz正弦波和200Hz正弦波组成,采样率1Kbps,现设计一个低通滤波器,截止频率125Hz,采样1024个数据,采用函数fir1进行设计(注意这个函数是基于窗口的方法设计FIR滤波,默认是hamming窗),滤波器阶数设置为28。filterDesigner的配置如下:

配置好低通滤波器后,具体滤波器系数的生成大家参考本章第4小节的方法即可。
37.5.4 低通滤波器实现
通过工具箱filterDesigner获得低通滤波器系数后在开发板上运行函数arm_fir_f32 来测试低通滤波器的效果。
#define TEST_LENGTH_SAMPLES 1024 /* 采样点数 */
#define BLOCK_SIZE 1 /* 调用一次arm_fir_f32处理的采样点个数 */
#define NUM_TAPS 29 /* 滤波器系数个数 */uint32_t blockSize = BLOCK_SIZE;
uint32_t numBlocks = TEST_LENGTH_SAMPLES/BLOCK_SIZE; /* 需要调用arm_fir_f32的次数 */static float32_t testInput_f32_50Hz_200Hz[TEST_LENGTH_SAMPLES]; /* 采样点 */
static float32_t testOutput[TEST_LENGTH_SAMPLES]; /* 滤波后的输出 */
static float32_t firStateF32[BLOCK_SIZE + NUM_TAPS - 1]; /* 状态缓存,大小numTaps + blockSize - 1*//* 低通滤波器系数 通过fadtool获取*/
const float32_t firCoeffs32LP[NUM_TAPS] = {-0.001822523074f, -0.001587929321f, 1.226008847e-18f, 0.003697750857f, 0.008075430058f,0.008530221879f, -4.273456581e-18f, -0.01739769801f, -0.03414586186f, -0.03335915506f,8.073562366e-18f, 0.06763084233f, 0.1522061825f, 0.2229246944f, 0.2504960895f,0.2229246944f, 0.1522061825f, 0.06763084233f, 8.073562366e-18f, -0.03335915506f,-0.03414586186f, -0.01739769801f, -4.273456581e-18f, 0.008530221879f, 0.008075430058f,0.003697750857f, 1.226008847e-18f, -0.001587929321f, -0.001822523074f
};/*
*********************************************************************************************************
* 函 数 名: arm_fir_f32_lp
* 功能说明: 调用函数arm_fir_f32_lp实现低通滤波器
* 形 参:无
* 返 回 值: 无
*********************************************************************************************************
*/
static void arm_fir_f32_lp(void)
{uint32_t i;arm_fir_instance_f32 S;float32_t *inputF32, *outputF32;/* 初始化输入输出缓存指针 */inputF32 = &testInput_f32_50Hz_200Hz[0];outputF32 = &testOutput[0];/* 初始化结构体S */arm_fir_init_f32(&S, NUM_TAPS, (float32_t *)&firCoeffs32LP[0], &firStateF32[0], blockSize);/* 实现FIR滤波,这里每次处理1个点 */for(i=0; i < numBlocks; i++){arm_fir_f32(&S, inputF32 + (i * blockSize), outputF32 + (i * blockSize), blockSize);}/* 打印滤波后结果 */for(i=0; i<TEST_LENGTH_SAMPLES; i++){printf("%f, %f\r\n", testOutput[i], inputF32[i]);}}
运行如上函数可以通过串口打印出函数arm_fir_f32滤波后的波形数据,下面通过Matlab绘制波形来对比Matlab计算的结果和ARM官方库计算的结果。
对比前需要先将串口打印出的一组数据加载到Matlab中, arm_fir_f32的计算结果起名sampledata,加载方法在第13章13.6小结已经讲解,这里不做赘述了。Matlab中运行的代码如下:
%****************************************************************************************
% FIR低通滤波器设计
%***************************************************************************************
fs=1000; %设置采样频率 1K
N=1024; %采样点数
n=0:N-1;
t=n/fs; %时间序列
f=n*fs/N; %频率序列x=sin(2*pi*50*t)+sin(2*pi*200*t); %50Hz和200Hz正弦波混合
b=fir1(28, 0.25);
y=filter(b, 1, x);
subplot(211);
plot(t, y);
title('Matlab FIR滤波后的波形');
grid on;subplot(212);
plot(t, sampledata);
title('ARM官方库滤波后的波形');
grid on;
Matlab运行结果如下:

从上面的波形对比来看,matlab和函数arm_fir_f32计算的结果基本是一致的。为了更好的说明滤波效果,下面从频域的角度来说明这个问题,Matlab上面运行如下代码:
%****************************************************************************************
% FIR低通滤波器设计
%***************************************************************************************
fs=1000; %设置采样频率 1K
N=1024; %采样点数
n=0:N-1;
t=n/fs; %时间序列
f=n*fs/N; %频率序列x = sin(2*pi*50*t) + sin(2*pi*200*t); %50Hz和200Hz正弦波合成subplot(221);
plot(t, x); %绘制信号Mix_Signal的波形
xlabel('时间');
ylabel('幅值');
title('原始信号');
grid on;subplot(222);
y=fft(x, N); %对信号 Mix_Signal做FFT
plot(f,abs(y));
xlabel('频率/Hz');
ylabel('振幅');
title('原始信号FFT');
grid on;y3=fft(sampledata, N); %经过FIR滤波器后得到的信号做FFT
subplot(223);
plot(f,abs(y3));
xlabel('频率/Hz');
ylabel('振幅');
title('滤波后信号FFT');
grid on;b=fir1(28, 0.25); %28阶FIR低通滤波器,截止频率125Hz
[H,F]=freqz(b,1,512); %通过fir1设计的FIR系统的频率响应
subplot(224);
plot(F/pi,abs(H)); %绘制幅频响应
xlabel('归一化频率');
title(['Order=',int2str(30)]);
grid on;
Matlab显示效果如下:

上面波形变换前的FFT和变换后FFT可以看出,200Hz的正弦波基本被滤除。
37.6 实验例程说明(MDK)
配套例子:
V5-225_FIR低通滤波器设计(支持逐个数据的实时滤波)
实验目的:
- 学习FIR低通滤波器的实现,支持实时滤波
实验内容:
- 启动一个自动重装软件定时器,每100ms翻转一次LED2。
- 按下按键K1,打印原始波形数据和滤波后的波形数据。
使用AC6注意事项
特别注意附件章节C的问题
上电后串口打印的信息:
波特率 115200,数据位 8,奇偶校验位无,停止位 1。

RTT方式打印信息:

程序设计:
系统栈大小分配:

硬件外设初始化
硬件外设的初始化是在 bsp.c 文件实现:
/*
*********************************************************************************************************
* 函 数 名: bsp_Init
* 功能说明: 初始化所有的硬件设备。该函数配置CPU寄存器和外设的寄存器并初始化一些全局变量。只需要调用一次
* 形 参:无
* 返 回 值: 无
*********************************************************************************************************
*/
void bsp_Init(void)
{/* STM32F407 HAL 库初始化,此时系统用的还是F407自带的16MHz,HSI时钟:- 调用函数HAL_InitTick,初始化滴答时钟中断1ms。- 设置NVIC优先级分组为4。*/HAL_Init();/* 配置系统时钟到168MHz- 切换使用HSE。- 此函数会更新全局变量SystemCoreClock,并重新配置HAL_InitTick。*/SystemClock_Config();/* Event Recorder:- 可用于代码执行时间测量,MDK5.25及其以上版本才支持,IAR不支持。- 默认不开启,如果要使能此选项,务必看V5开发板用户手册第8章*/
#if Enable_EventRecorder == 1 /* 初始化EventRecorder并开启 */EventRecorderInitialize(EventRecordAll, 1U);EventRecorderStart();
#endifbsp_InitKey(); /* 按键初始化,要放在滴答定时器之前,因为按钮检测是通过滴答定时器扫描 */bsp_InitTimer(); /* 初始化滴答定时器 */bsp_InitUart(); /* 初始化串口 */bsp_InitLed(); /* 初始化LED */
}
主功能:
主程序实现如下操作:
- 启动一个自动重装软件定时器,每100ms翻转一次LED2。
- 按下按键K1,打印原始波形数据和滤波后的波形数据。
/*
*********************************************************************************************************
* 函 数 名: main
* 功能说明: c程序入口
* 形 参: 无
* 返 回 值: 错误代码(无需处理)
*********************************************************************************************************
*/
int main(void)
{uint8_t ucKeyCode; /* 按键代码 */uint16_t i;bsp_Init(); /* 硬件初始化 */PrintfLogo(); /* 打印例程信息到串口1 */PrintfHelp(); /* 打印操作提示信息 */for(i=0; i<TEST_LENGTH_SAMPLES; i++){/* 50Hz正弦波+200Hz正弦波,采样率1KHz */testInput_f32_50Hz_200Hz[i] = arm_sin_f32(2*3.1415926f*50*i/1000) +
arm_sin_f32(2*3.1415926f*200*i/1000);}bsp_StartAutoTimer(0, 100); /* 启动1个100ms的自动重装的定时器 *//* 进入主程序循环体 */while (1){bsp_Idle(); /* 这个函数在bsp.c文件。用户可以修改这个函数实现CPU休眠和喂狗 */if (bsp_CheckTimer(0)) /* 判断定时器超时时间 */{/* 每隔100ms 进来一次 */bsp_LedToggle(2); /* 翻转LED的状态 */}ucKeyCode = bsp_GetKey(); /* 读取键值, 无键按下时返回 KEY_NONE = 0 */if (ucKeyCode != KEY_NONE){switch (ucKeyCode){case KEY_DOWN_K1: /* K1键按下 */arm_fir_f32_lp();break;default:/* 其它的键值不处理 */break;}}}
}
37.7 实验例程说明(IAR)
配套例子:
V5-225_FIR低通滤波器设计(支持逐个数据的实时滤波)
实验目的:
- 学习FIR低通滤波器的实现,支持实时滤波
实验内容:
- 启动一个自动重装软件定时器,每100ms翻转一次LED2。
- 按下按键K1,打印原始波形数据和滤波后的波形数据。
上电后串口打印的信息:
波特率 115200,数据位 8,奇偶校验位无,停止位 1。

RTT方式打印信息:

程序设计:
系统栈大小分配:

硬件外设初始化
硬件外设的初始化是在 bsp.c 文件实现:
/*
*********************************************************************************************************
* 函 数 名: bsp_Init
* 功能说明: 初始化所有的硬件设备。该函数配置CPU寄存器和外设的寄存器并初始化一些全局变量。只需要调用一次
* 形 参:无
* 返 回 值: 无
*********************************************************************************************************
*/
void bsp_Init(void)
{/* STM32F407 HAL 库初始化,此时系统用的还是F407自带的16MHz,HSI时钟:- 调用函数HAL_InitTick,初始化滴答时钟中断1ms。- 设置NVIC优先级分组为4。*/HAL_Init();/* 配置系统时钟到168MHz- 切换使用HSE。- 此函数会更新全局变量SystemCoreClock,并重新配置HAL_InitTick。*/SystemClock_Config();/* Event Recorder:- 可用于代码执行时间测量,MDK5.25及其以上版本才支持,IAR不支持。- 默认不开启,如果要使能此选项,务必看V5开发板用户手册第8章*/
#if Enable_EventRecorder == 1 /* 初始化EventRecorder并开启 */EventRecorderInitialize(EventRecordAll, 1U);EventRecorderStart();
#endifbsp_InitKey(); /* 按键初始化,要放在滴答定时器之前,因为按钮检测是通过滴答定时器扫描 */bsp_InitTimer(); /* 初始化滴答定时器 */bsp_InitUart(); /* 初始化串口 */bsp_InitLed(); /* 初始化LED */
}
主功能:
主程序实现如下操作:
- 启动一个自动重装软件定时器,每100ms翻转一次LED2。
- 按下按键K1,打印原始波形数据和滤波后的波形数据。
/*
*********************************************************************************************************
* 函 数 名: main
* 功能说明: c程序入口
* 形 参: 无
* 返 回 值: 错误代码(无需处理)
*********************************************************************************************************
*/
int main(void)
{uint8_t ucKeyCode; /* 按键代码 */uint16_t i;bsp_Init(); /* 硬件初始化 */PrintfLogo(); /* 打印例程信息到串口1 */PrintfHelp(); /* 打印操作提示信息 */for(i=0; i<TEST_LENGTH_SAMPLES; i++){/* 50Hz正弦波+200Hz正弦波,采样率1KHz */testInput_f32_50Hz_200Hz[i] = arm_sin_f32(2*3.1415926f*50*i/1000) +
arm_sin_f32(2*3.1415926f*200*i/1000);}bsp_StartAutoTimer(0, 100); /* 启动1个100ms的自动重装的定时器 *//* 进入主程序循环体 */while (1){bsp_Idle(); /* 这个函数在bsp.c文件。用户可以修改这个函数实现CPU休眠和喂狗 */if (bsp_CheckTimer(0)) /* 判断定时器超时时间 */{/* 每隔100ms 进来一次 */bsp_LedToggle(2); /* 翻转LED的状态 */}ucKeyCode = bsp_GetKey(); /* 读取键值, 无键按下时返回 KEY_NONE = 0 */if (ucKeyCode != KEY_NONE){switch (ucKeyCode){case KEY_DOWN_K1: /* K1键按下 */arm_fir_f32_lp();break;default:/* 其它的键值不处理 */break;}}}
}
37.8 总结
本章节主要讲解了FIR滤波器的低通实现,同时一定要注意线性相位FIR滤波器的群延迟问题,详见本教程的第41章。
















