常见无线定位技术的基本原理

article/2025/10/1 21:24:19

目录

  • 引言
  • 无线电定位技术
    • TOA技术
    • TDOA技术
    • RTT技术
    • RSS技术
    • AOA技术
    • 混合估计技术

引言

无线定位技术是依据测量出的无线电磁波的特征参数,利用相应位置解算方法来确定目标位置的技术。依据地面基站是否发射电磁波信号,可以把定位技术分为有源定位和无源定位。有源定位系统会主动辐射信号来检测目标,此种方式虽然性能较好但易于受到地方信号的干扰。无源定位是指地面基站不向外部发射电磁波信号的情况下对目标进行定位,这种方式拥有更好的隐蔽性和较强的干扰能力。
在无源定位系统中,基于时间到达(Time ofArrival,TOF)、到达时间差(Time Difference of Arrival,TDOA)、往返时间(Round Trip Time,RTT)、到达角度(Angle of Arrival,AOA)、接收信号强度(Received Signal Strength,RSS)的定位技术,AOA/TDOA联合定位技术和时差与频差(Frequency Difference of Arrival,FDOA)混合定位技术等都是典型的定位技术。
多径传播问题、非视距(None-Line-of-Sight,NLOS)问题,参与定位的基站数以及基站的几何分布都是影响无限定定位精度的重要因素。

无线电定位技术

在无线定位网络中,无缝定位实现的关键在于精确获取目标与基站之间的相对距离信息。卫星导航系统也是基于此原理实现定位功能。通常,利用无线电进行定位需要两个步骤:

  1. 定位参数的估计;
  2. 利用特定位置解算算法定位三维空间的目标位置。

TOA技术

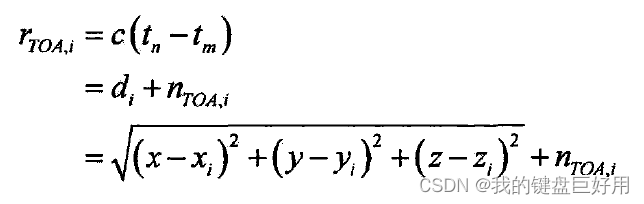
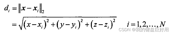
TOA测距技术的主要思想是测量电磁波信号从目标到达地面基站之间的单向传播时间,通过测量的时间信息来估计目标与地面基站之间的距离。
TOA技术要求目标发射机与地面接收机之间的时钟必须是同步的。
TOA估计方法的几何表示
观察上图可知,在已知三个基站的三维空间位置的情况下,通过获取目标与三个基站之间的相对距离并通过一定的算法解算,即可得知目标的空间位置。但以上解算过程均建立在理想情况,没有测量误差的情况下,干扰存在的情况下,三个圆可能不交叉或者不止一个交叉点,导致无法确定目标位置,因此需要进行有效的误差抑制。本文着重于基本原理,有关误差抑制的内容不再展开论述。
目标与基站的相对距离计算公式
在这里插入图片描述

TDOA技术

目标发射的信号到达不同基站接收机的路径存在差异,因此到达不同接收机所花费的时间也将会不同,因此产生了时间差。TDOA降低了目标源与各个基站之间的时钟同步要求,但提高了各个基站之间的时钟同步要求。
r T D O A , i 1 = c t T D O A , i 1 = d T D O A , i 1 + n T D O A , i 1 = ( x − x i ) 2 + ( y − y i ) 2 + ( z − z i ) 2 − ( x − x i ) 2 + ( y − y i ) 2 + ( z − z i ) 2 + n T D O A , i 1 i = 1 , 2 , . . . , N \begin{aligned}r_{TDOA,i1}&=c t_{TDOA,i1}\\ &=d_{TDOA,i1}+n_{TDOA,i1}\\ &=\sqrt{\left(x-x_i\right)^2+\left(y-y_i\right)^2+\left(z-z_i\right)^2}-\sqrt{\left(x-x_i\right)^2+\left(y-y_i\right)^2+\left(z-z_i\right)^2}+n_{TDOA,i1}\\ &i=1,2,...,N\end{aligned} rTDOA,i1=ctTDOA,i1=dTDOA,i1+nTDOA,i1=(xxi)2+(yyi)2+(zzi)2 (xxi)2+(yyi)2+(zzi)2 +nTDOA,i1i=1,2,...,N
其中 r T D O A , i 1 r_{TDOA,i1} rTDOA,i1表示估计的距离差, t T D O A , i 1 t_{TDOA,i1} tTDOA,i1表示估计的到达时间差, d T D O A , i 1 d_{TDOA,i1} dTDOA,i1代表目标到底i个地面基站的距离与目标到达参考基站的距离之间的真实差, n T D O A , i 1 n_{TDOA,i1} nTDOA,i1表示测量过程中的噪声干扰,一般假定其遵循均值为零的高斯分布。

RTT技术

RTT测距技术的主要思想是测量电磁波信号从目标到达基站的双向传播时间,通过测量出的信号从目标发射至基站再反射回目标的往返时间来估计目标与基站之间的双倍距离。对于RTT估计技术,它避免了接收与发射设备之间的同步问题。
在这里插入图片描述
RTT估计方法的信号传播时序图
基于RTT的测距方法的缺点是需要通过大量的测量来实现更好的测距分辨率, 这将导致距离估计的延时以及更高的带宽占用, 也就是目标测量过程中会产生测距误差以及使用公共通信信道的节点数增多。

RSS技术

RSS测距技术因为方式简单,无需考虑同步要求,非常受欢迎,但它的测距精度没有基于时间估计方法搞。RSS方法是依据测量节点间能量的情况来估计目标与基站之间的距离的,即在已知信道衰落模型和传输信号场强的前提下,利用几个已知位置的基站来测量目标辐射信号的强度,然后利用损耗模型及收发信号的强度值来估计目标与基站之间的距离,进而实现定位。
无线电信号在目标节点与基站之间的传播过程中,信号强度受三个因素影响:大规模路径损耗,多径衰落和阴影衰落。

  1. 大规模路径损耗是由于无线电波在空间中的扩散,并且是收发器之间距离的确定性函数。
  2. 多径衰落是由于接收器处的发射信号的多个时间延迟副本定位叠加引起的。
  3. 阴影衰落是障碍物遮挡所导致的信号衰减。

AOA技术

AOA技术利用来自多个空间分布的阵列天线处的接收的信号方位测量值来估计源位置。主要测量在地面阵列天线处接收的从目标发射的电磁波信号的方位角和仰角。
AOA定位原理
在这里插入图片描述
一般情况下,假定噪声服从高斯分布。

混合估计技术

混合定位技术是两种或者几种无线电定位的联合定位技术,相比于单一的定位技术会有更高的定位精度。常见的有TDOA/FDOA联合定位技术,RSS/TOA联合定位技术,TOA/AOA联合定位技术。


http://chatgpt.dhexx.cn/article/erJGeXhP.shtml

相关文章

室内定位常用定位技术_米级蓝牙定位方案,厘米级UWB定位方案

前言 随着物联网生态链逐渐走向成熟,各行各业对定位的需求也大大增加。由于GPS卫星信号在室内无法定位,且容易受到各种无线电信号的干扰,为实现“最后一公里”的室内位置服务,目前主流的室内定位你技术多依赖于热门的无线通信技术…

移动机器人室内定位技术综述

点击上方“小白学视觉”,选择加"星标"或“置顶” 重磅干货,第一时间送达 对于移动机器人,定位技术是保证移动机器人轨迹/运动作业的前提技术,特别是跟踪作业的基础。 与自动驾驶车辆定位不同,小型移动机器人…

物联网四大定位技术

物联网,是指物物都相连的互联网技术,是信息技术的重要构成部分。物联网主要用于网络的融合中,通过智能感知和识别技术来实现物品和物品之间的信息交流。下面小编就跟大家介绍一下物联网四大定位技术吧! 物联网四大定位技术介绍 一…

万字详解自动驾驶定位技术

文章目录 车路协同自动驾驶1 高精度地图1.1 高精度地图定义及价值1.1.1 高精度地图的分层结构1.1.2 高精度地图对自动驾驶的价值1.1.3 高精度地图行业现状 1.2 高精度地图关键技术1.2.1 道路元素[图像处理](https://so.csdn.net/so/search?q图像处理&spm1001.2101.3001.70…

无线定位技术概述

FROM http://labs.chinamobile.com/mblog/712208_82886 阎啸天于蓉蓉武威 (中国移动通信有限公司研究院业务所) 摘 要介绍了位置信息和定位性能分析指标等基本概念,根据定位原理与策略的差异对各种定位方法进行分类,概要阐述和…

自动驾驶--定位技术

[整理自百度技术培训中心课程](https://bit.baidu.com/products?id70) 为什么无人车需要精确的定位系统 在地下车库实现自动泊车的一个非常关键的技术是什么呢?那就是定位技术。 为什么无人车需要一个精确的定位系统。为什么无人车需要精确的定位系统&#xff…

UWB定位技术

什么是UWB 超宽带(Ultra Wide-Band,UWB)是一种新型的无线通信技术,它主要用于低功耗数据快速传输以及室内静止或移动物体/人的定位跟踪与导航。 UWB技术传输速率高(速率最高可达1000Mbps以上)、发射功率较…

惯性导航定位技术

1 惯性导航定位技术介绍 惯性是所有质量体本身的基本属性。建立在牛顿定律基础上的惯性导航系统不与外界发生任何光电联系,仅靠系统本身就能对汽车进行连续的三维定位和三维定向。 由于惯性导航系统这种能自主地、隐蔽地获取汽车完备运动信息的优势是诸如 GNSS等其…

物联网定位技术超全解析

早在15世纪,当人类开始探索海洋的时候,定位技术也随之催生。当时的定位方法十分粗糙,就是运用航海图和星象图以确定自己的位置。 随着社会的进步和科技的发展,定位技术在技术手段、定位精度、可用性等方面均取得质的飞越&#xf…

物联网-UWB定位技术

一、UWB定位简介 1 UWB信号特征 传统通信方式使用的是连续波信号,即本地振荡器产生连续的高频载波。对于需要传送的信息通过一定的调制方式(如调幅,调频等方式)加载于载波之上,通过天线进行发送。现在的无线广播&…

定位技术

无线定位方法是指分析接收到的无线电波信号的特征参数,然后根据特定算法计算被测对象的位置(二维/三维坐标:经度、纬度、高度)。常用的无线定位方法有如下几种:信号强度分析法(RSS)、到达角度定…

常见的定位技术主要有哪些?

目前,常见的定位技术主要有:蓝牙、RFID、WIFI、超宽带(UWB)、超声波等。智物达“智寻”超宽带(UWB)定位系统是一种以极低功率在短距离内高速传输数据的无线定位技术。 UWB技术 超宽带(UWB)无线定位技术由于功耗低、抗多径效果好、安全性高、系统复杂度…

LBS(基于位置服务)常见定位技术综合分析

目录 前言 一、常见的定位技术 1、超宽带 (UWB)室内定位技术 2、射频识别(RFID)技术 3、WiFi定位技术 4、蓝牙定位技术 5、超声波室内定位技术 6、LED可见光 7、惯性导航(PDR) 8、红外线 9、Zig…

常用的几种定位技术

常用的几种定位技术 技术背景 目前常见的定位技术大概包含GNSS(全球导航卫星系统),基站/WIFI定位,以及IP定位等一些列常见的室内室外定位技术,这些定位技术在疫情防控,军备建设,肃清网络环境等方面都起着比较重要的作用…

技术专题:为什么宽带可以双拨号?双拨以后一定有两倍的流量吗?

双拨的基本条件: 线路的端口速度要大于你帐号的端口速率(有些宽带是给你2M,端口上面就给你限制2M,这样不管你几次拨号,都宽带都不会增加,ADSL可以直接打开猫的页面进行查看) 为什么可以双拨&…

ADSL/光纤 双拨,多拨

2019独角兽企业重金招聘Python工程师标准>>> 一、多拨要有条件的,每个地方不一样,这里我讲一个重点,电信术语叫增加一个用户进程数,意思是允许一个账号用两台电脑拨号。办理方法是带身份证去电信营业厅(你不…

【windows10】使用宽带拨号即PPPoE拨号上网

【windows10】使用宽带拨号即PPPoE拨号上网 1、背景2、宽带拨号 1、背景 在接入互联网实现上网时,我目前使用的是PPPoE拨号上网。 PPPoE(Point-to-Point Protocol Over Ethernet),以太网上的点对点协议,是将点对点协…

多宽带联网(二) OpenWrt中利用MWAN3负载均衡实现带宽叠加

负载均衡实现多宽带的带宽叠加,并非112的效果。负载均衡的策略有很多,如对于用户数很多的局域网,可对不同客户端分配不同的出口链路(同一客户端只有同一出口链路),这样可以使多个出口链路负载程度更为均衡&…

一根网线同时走宽带和iptv(单线复用)

一根网线同时走宽带和iptv(单线复用) 起因 因为装修的时候考虑的不够周全,导致入户弱电箱到客厅的电视之间只有一根网线,书房的PC的网线也是直接通到弱电箱。 而现在要实现这几个目标: 路由器放在客厅电视柜(保证最大覆盖面积…

如何在路由器上设置PPPoE(ADSL虚拟拨号)上网,即(宽带拨号)?

如何在路由器上设置PPPoE(ADSL虚拟拨号)上网,即(宽带拨号)? 参考链接: 1、https://service.tp-link.com.cn/detail_article_341.html 2、https://service.tp-link.com.cn/detail_article_2953.h…