
信号失真度测量装置(A 题)--2021 年全国大学生电子设计竞赛试题
- 一 任务
- 二 要求
- 1.基本要求
- 2. 发挥部分
- 三 说明
- 优秀作品开源参考(来源立创开源平台)
一 任务
设计制作信号失真度测量装置,对来自函数/任意波形发生器的周期信号(以下简称为输入信号)进行采集分析,测得输入信号的总谐波失真 THD(以下简称为失真度),并可在手机上显示测量信息。测量装置系统组成示意图如图 1 所示。
二 要求

1.基本要求
- (1)输入信号的峰峰值电压范围:300mV~600mV。
- (2)输入信号基频:1kHz。
- (3)输入信号失真度范围:5% ~ 50%。
- (4)要求对输入信号失真度测量误差绝对值 :

THDx THDo分别为失真度的测量值与标称值。 - (5)显示失真度测量值THDx 。
- (6)失真度测量与显示用时不超过 10 秒。
2. 发挥部分
- (1)输入信号的峰峰值电压范围:30mV ~ 600mV。
- (2)输入信号基频范围:1kHz ~100kHz。
- (3)测量并显示输入信号失真度THDx 值,要求

- (4)测量并显示输入信号的一个周期波形。
- (5)显示输入信号基波与谐波的归一化幅值,只显示到 5 次谐波。
- (6)在手机上显示测量装置测得并显示的输入信号THDx 值、一个周期波形、基波与谐波的归一化幅值。
- (7)其他。
三 说明
- (1)本题用于信号失真度测量的主控制器和数据采集器必须使用 TI 公司的MCU 及其片内 ADC,不得使用其他片外 ADC 和数据采集模块(卡)成品。
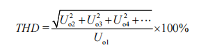
- (2)关于 THD 的说明:当放大器输入为正弦信号时,放大器的非线性失真表现为输出信号中出现谐波分量,即出现谐波失真,通常用“总谐波失真 THD(total harmonic distortion)”定量分析放大器的非线性失真程度。
若放大器的输入交流电压为 :

出现谐波失真的放大器输出交流电压为:

则uo的总谐波失真(失真度)定义为:

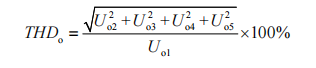
本题信号失真度测量采用近似方式,测量和分析输入信号谐波成分时,限定只处理到5次谐波。定义

为本题失真度的标称值。
若失真度测量值为THDx ,则失真度测量误差的绝对值为

(3)基波与谐波的归一化幅值:当输入信号的基波幅值为Um1,各次谐波幅值分别为Um2 、Um3…,基波与谐波的归一化幅值为:

(4)用函数/任意波形发生器(以下简称为发生器)输出的周期信号作为测量装置的输入信号。参赛队员必须熟练掌握发生器“谐波发生”功能的操作技能(包括但不限于设置信号谐波参数、存储与调用信号)。
(5)参赛队必须自带本队自用的发生器参加赛区作品测试,根据测试专家提出的有关要求自行设定、存储自带发生器的输出信号,作为测量装置输入信号。
(6)除输入信号外,不得再有任何其他信号引入测量装置。一键启动测量后,装置应在 10 秒钟内自动完成失真度测量与显示(期间不得有人工操作),超时扣分。一旦测量显示总用时超过 30 秒,停止作品测试。
优秀作品开源参考(来源立创开源平台)
- 嘉立创:https://lceda.cn/
- 立创开源平台:https://oshwhub.com/
- 2021年A题-信号失真度测量装置+随便取对
- 2021年A题-信号失真度测量装置-深度划水队
- 2021年A题-信号失真度测量装置
- 2021年A题——信号失真度测量装置
- 2021年A题-信号失真度测量装置-惠嘉飞小队
- 2021年A题-信号失真度测量装置
- 2021年A题- 信号失真度测量装置+电赛教职工
- 2021年A题-信号失真度测量装置
- 信号失真度测量仪




好好加油!!!

















