常见的DOM操作有哪些

article/2025/10/19 14:24:41

这里是修真院前端小课堂,本篇分析的主题是

【常见的DOM操作有哪些】

 

这里是修真院前端小课堂,每篇分享文从

【背景介绍】【知识剖析】【常见问题】【解决方案】【编码实战】【扩展思考】【更多讨论】【参考文献】

八个方面深度解析前端知识/技能,本篇分享的是:

【常见的DOM操作有哪些】


1.背景介绍

        什么是DOM?简单地说,DOM是一套对文档的内容进行抽象和概念化的方法

        在现实世界里,人们对所谓的'世界对象模型'都不会陌生,例如,当用'汽车'、'房子'和'树'等名词来称呼日常生活环境里的事物时,我们都可以百分百的肯定对方知道我们说的是什么,这是因为人们在对这些名词所代表的的东西有着相同的认知。于是,当对别人说"汽车停在车库里"时,可以断定他们不会理解为"小鸟关在壁橱里"

        我们的"世界对象模型"不进可以用来描述客观存在的事物,还可以同来描述抽象概念。例如,假设有个人想我问路,而我给出的答案是"左边第三栋房子",这个答案有没有意义取决于那个人能够理解"左边"和"第三"的含义。如果他不会数数或者分不清左右,则不管他是否理解这几个概念,我的回答对他都不会有任何的帮助。在现实世界中,正是因为大家对抽象的"世界对象模型"有着基本的共识,人们才能用非常简单的话来表达出复杂的含义并得到对方的理解。

        而DOM的定义则是由W3C所制定的标准,定义为"一个与系统平台和编程语言无关的接口,程序和脚本可以通过这个接口动态地访问和修改文档的内容`、结构和样式。"


 

2.知识剖析

        2.1. 节点是什么

        节点这个词是一个网络用语,代表了网络中的一个连接点。一个网络就是由一些节点构成的集合。

        在现实世界中,一切事物都由原子构成。原子就是现实世界的节点。但是原子同样还可以进一步分解为更细小的亚原子微粒。这些亚原子微粒同样也是节点。

        DOM也是同样的情况。文档是由节点构成的集合,只不过此时的节点是文档树上的树枝和树叶而已。

        在DOM中有许多不同类型的节点。就像原子包含着亚原子微粒那样,也有很多类型的DOM节点包含着其他类型的节点。接下来我们先看看其中的三种:元素节点、文本节点和属性节点。

        2.2. 元素节点

        在DOM中的原子就是元素节点。

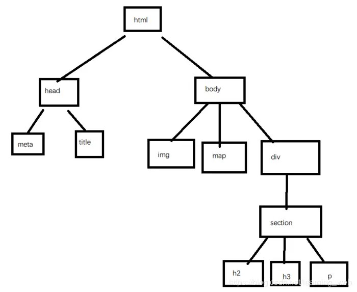
        像是我们现在所看到的这个网页,我们在编写时,会用到诸如<body>、<head>、<p>这些元素。如果把Web上的文档比作一座大厦,那么元素就是建造这座大厦的砖块,这些元素在在文档中的布局形成了文档的结构。元素可以包含其他的元素,在我们所看到的页面页中,内容都被包含在在一个<section>元素的内部。而唯一没有被包含在其他元素中的唯一元素是'<html>',他和我们的节点树的根元素,其他的所有元素都被包含在'<html>'中。

网页的部分节点树

        2.3. 文本节点

        元素节点只是节点类型的一种。如果一份文档完全有一些空白元素构成,他将有一个结构,但这份文档本身将不会包含什么内容。

        在我们的ppt首页中,'<p>'元素包含着文本,'分享人:刘洪利'。他就是一个文本节点。在html文档里,文本节点总是被包含在元素节点的内部。

        2.4. 属性节点

        属性节点用来对元素做出更具体的描述。例如,几乎所有的元素都有一个title属性,而我们可以利用这个属性对包含在元素里的东西做出准确的描述:'<p title="a gentle reminder">这是一个带有温馨提示的p标签</p>'

        在DOM中,title="a gentle reminder"是一个属性节点。因为属性总是被放在起始标签里,所以属性节点总是被包含在元素节点中。并非所有的标签都包含着属性,但是所有的属性都被元素包含。

元素的构成

        2.5. 常见的DOM操作

 

获取DOM

        通过使用 getElementById() 方法匹配元素的id属性来访问元素节点,对元素节点进行操作

        通过使用 getElementsByTagName() 方法匹配元素的tagName来访问元素节点,对元素节点进行操作

        通过使用 getElementsByClassName() 方法匹配元素的className来访问元素节点,对元素节点进行操作

        值得注意的是, getElementsByTagName() 和 getElementsByClassName() 这两种方法因为其访问的是节点中的可能为复数的属性,所以得到的会是一个以数组的形式来体现出来的元素节点集合,我们可以通过打印获取到的DOM节点来判断类型

                                                                                                        demo

DOM事件

        onclick事件---当用户点击时执行

        onload事件---当用户进入时执行

        onunload事件---用用户离开时执行

        onmouseover事件---当用户鼠标指针移入时执行

        onmouseout事件---当用户鼠标指针移出时执行

        onmousedown事件---当用户鼠标摁下时执行

        onmouseup事件---当用户鼠标松开时执行

                                                                                                        demo


3. 常见问题

如何通过class和tag调用元素?如何对其设置属性?


4.解决方案

在一个页面中常常有多个class相同的元素,也有多个标签相同的元素,在调用时方法如下

                                                                                                        demo


5. 扩展思考

        onblur事件---当对象失去焦点时发生

        onchange事件---当对象域的值被改变时发生

        button 事件---属性可返回一个整数,指示当事件被触发时哪个鼠标按键被点击。

        更多的事件就不一一的描述了,有兴趣的同学可以去看下这个

                                                                                                     w3school


6. 参考文献

书籍:《JavaScript DOM编程艺术》

网址:w3school


7.更多讨论

            Q:dom操作是异步的吗

            A:dom的操作其实是同步的,但是渲染是异步的。因为JavaScript引擎线程跟GUI渲染线程是互斥的,即我执行的时候,你就靠边站,我执行完你才能执行。具体的可以看下这篇文章https://segmentfault.com/a/1190000005803237----《关于修改DOM是异步还是同步的问题》

            Q:除了getElementsByClassName()、getElementsByTagName()、getElementById()还有什么可以获取dom节点的方法

            A:

1.通过节点属性得到元素

                    1)node属性:来获取节点的名称、类型、值。

js代码:

                    window.οnlοad=function(){ 子节点

                        var pox = document.getElementById('pox');

                        alert(pox.childNodes.length) //子节点数量

                        alert(pox.childNodes[0].nodeValue); // 第一个子节点的内容

                        alert(pox.firstChild.nodeValue);  // 第一个子节点的内容

                        alert(pox.lastChild.nodeValue); // 最后一个节点的内容

                    };

        注意:node只能获取当前节点的东西,在上面的js代码中node本身把节点指针放在元素上,所以本身没有value值,

2.层次节点属性:层级节点可以分为父子节点和兄弟节点,通过当前节点可以获取其他层次的节点。

        2.1)子节点childNodes、第一个字节点firstChilds、最后一个子节点lastChilds。

js代码:

        window.οnlοad=function(){ 子节点

            var pox = document.getElementById('pox');

            alert(pox.childNodes.length) //子节点数量

            alert(pox.childNodes[0].nodeValue); // 第一个子节点的内容

            alert(pox.firstChild.nodeValue);  // 第一个子节点的内容

            alert(pox.lastChild.nodeValue); // 最后一个节点的内容

        };

        2.2)父节点parentChild、兄弟节点previousSibing,nextSibing。

js代码:

        window.οnlοad=function(){ 父节点,上下节点

            var pox = document.getElementById('pox');

            alert(pox.parentNode);    //pox节点的父节点body节点

            alert(pox.firstChild.nextSibling);    //pox节点的子节点中第一个节点的下一个节点

            alert(pox.lastChild.previousSibling);  //pox节点的子节点中最后一个节点的上一个节点

            alert(pox.lastChild.previousSibling.nodeName)

        };

本回答摘自-----------《获取元素节点(DOM基础 )》http://blog.csdn.net/u010928364/article/details/43935875

            Q:dom操作的最佳实践应该是什么样的

            A:

                    1. 平稳退化:正确的使用JavaScript脚本,让访问者在他们浏览器不支持JavaScript的情况下仍能顺利的浏览你的网站,即是有些功能无法使用,但最基本的操作仍能顺利完成。

                    2. 分离JavaScript:将HTML内部DOM事件分离到外部来,保证HTML的纯净,同时可以在外部js文件通过获取DOM节点来给这个节点添加事件的形式来运行外部JavaScript文件。

                    3. 向后兼容:因为不同浏览器对JavaScript的支持程度也不一致,绝大多数的浏览器都可以或多或少的支持JavaScript,,但比较古老的浏览器却很有可能无法理解DOM提供的方法和脚本。因此,我们通过以下几点来确保那些古老的浏览器不会因为脚本代码而出问题。

                            3.1. 对象检测:检测浏览器对JavaScript的支持程度。我们可以通过将某种方法打包在一个if语句中,然后根据这条语句的条件表达式的求值结果为true(这个方法存在)还是false(这个方法不存在)来决定应该采取怎么样的行动。

                            例如,如果有一个使用了getElementById()方法的函数么就可以在调用getElementById()方法之前先检查用户所用的浏览器是否支持这个方法。在使用对象检查时,一定要删除方法名后面的圆括号,如果不删掉,测试的将是方法的结果,无论方法是否存在

                            代码:

if( ! document.getElementById ) return false;

 

                    4. 性能考虑: 为保证应用流畅的运行,在为文档编写和应用脚本时,需要注意一些问题。

                            4.1. 尽量少访问DOM和尽量减少标记

                                    访问DOM的方式对脚本性能会产生很大的影响。例如当我们需要访问html页面中所有的div元素来找到我们想要的那个节点,我们不知道会有多少div元素来面对着我们,所以浏览器会去搜索整个DOM树,从中查找可能匹配的元素。

                                    另一个是尽量减少文档中的标记数量。过多不必要的元素只会增加DOM树的规模,进而增加遍历DOM树以查找特定元素的时间。

                            4.2. 合并和放置脚本

                                    我们通过合并外部JavaScript文件来减少加载页面时发送的请求数量。减少请求数量通常都是在性能优化时优先考虑的。

                            4.3. 压缩脚本

                                    通过将脚本文件中不必要耳朵字节,如空格和注释统统删除,从而达到“压缩文件”的目的。


 

 


http://chatgpt.dhexx.cn/article/SqHCjD7M.shtml

相关文章

js中Dom操作

简单的Dom获取 什么是Dom操作&#xff1f; 1.DOM使一个"使程序"和"脚本"有能力的"动态地访问"和"更新文档内容结构"&#xff0c;以及"样式"的平台和语言中立的接口. 2.在HTML和JavaScript的学习中&#xff0c;DOM操作可谓时…

TypeScript Dom操作

文章目录 介绍获取元素类型断言获取多个DOM元素操作文本内容操作样式操作事件 介绍 DOM 是浏览器提供的&#xff08;浏览器特有)&#xff0c;专门用来操作网页内容的一些JS对象(API) 通过DOM操作&#xff0c;可以让Js/Ts控制页面&#xff08;(HTML)内容&#xff0c;让页面“动…

JavaScript DOM操作

文章目录 JavaScript DOM操作DOM操作元素DOM查询修改元素内容/属性获取元素节点 DOM的增删改 DOM操作CSS内联样式获得当前正在显示的样式 DOM的事件操作事件对象事件对象的属性 事件的冒泡和事件的委托事件冒泡事件委派事件的传播事件的绑定 JavaScript DOM操作 DOM操作元素 …

DOM的操作

一、DOM的操作 1、复制节点 cloneNode(deep) 参数deep是boolean类型&#xff0c;true/false true&#xff1a;表示深度复制&#xff08;将节点及其子节点都进行复制&#xff09; --- 深拷贝 false&#xff1a;表示浅复制&#xff08;只复制节点而不复制子节点&#xff09; ----…

DOM(操作)

DOM 1 作用和分类 作用&#xff1a;使用 JS 去操作 html 和浏览器 分类&#xff1a;DOM(文档对象模型)、BOM(浏览 器对象模型) DOM 是用来呈现以及与任意HTML 或 XML文档交互的API简单说&#xff1a;DOM 是浏览器提供的一套专门用来 操作网页内容 的功能DOM的作用&am…

13前端学习之WebAPI(三):节点操作、事件高级、DOM事件流、事件委托冒泡

文章目录 一、节点操作:1. 删除节点:1.2. 案例&#xff1a;删除留言 2. 赋值(克隆)节点:3. 案例:动态生成表格:3.1 案例分析:3.2 实现: 4. 创建元素的三种方式:4.1 区别:4.2 innerTHML和createElement效率对比: 5. DOM的核心总结:5.1 创建:5.2 增加:5.3 删除:5.4 改:5.5 查&…

DOM操作

今天开始进入JS的核心操作 DOM&#xff0c;DOM操作其实很简单&#xff0c;就是增删改查这几个操作&#xff0c;先看一下思维导图&#xff1a; 1.增加操作 1.新建&#xff1a; fn creatElement(标签名) 创建元素节点 fn setAttribute&#xff08;name,value&#xff09;直接设置…

JS中DOM元素的操作

一、DOM元素的获取 1&#xff09;document.getElementsByClassName ( “class”) 返回集 htmlcollection ,用法和数组一致 说明: class为DOM元素上class属性的值 2&#xff09;document.getElementById( “id” ) 功能:返回对拥有指定ID的第一个对象的引用 返回值: DOM对象 说明…

java锁结构之无锁偏向锁轻量级锁重量级锁

一、对象的本质&#xff08;锁在对象中的体现&#xff09; 1.1、对象的结构 对象由多部分构成的&#xff0c;对象头、属性字段、补齐字段等。补齐字段是指如果对象总大小不是4字节的整数倍&#xff0c;会填充上一段内存地址是之成为4的整数倍。 其中&#xff0c;对象头在对象…

简单理解重量级锁、轻量级锁、偏向锁

全文使用synchronized来说明。 synchronized给对象上锁&#xff0c;先上偏向锁&#xff0c;在上轻量级锁&#xff0c;最后上重量级锁。上什么锁&#xff0c;是jvm根据竞争程度自行变换的。 重量级锁 计算机操作系统本有Monitor对象&#xff0c;称为管程。在java里面看不到此对…

synchronized锁升级之偏向锁

目录 一、什么是偏向锁&#xff1f; 二、偏向锁原理 三、偏向锁演示 四、偏向锁的处理流程 五、偏向锁的撤销 六、偏向锁的好处 一、什么是偏向锁&#xff1f; HotSpot作者经过研究实践发现&#xff0c;在大多数情况下&#xff0c;锁不仅不存在多线程竞争&#xff0c;而…

Java无锁、偏向锁、轻量级锁、重量级锁,锁升级过程

2. 锁 2.1 无锁 Java对象刚创建时还没有任何线程来竞争&#xff0c;说明该对象处于无锁状态&#xff08;无线程竞争它&#xff09;&#xff0c;这时偏向锁标识位是0&#xff0c;锁状态是01 。 2.2 偏向锁 偏向锁是指一段同步代码一直被同一个线程所访问&#xff0c;那么该…

偏向锁的获取和撤销详解

Java SE 1.6 为了减少获得锁和释放锁带来的性能消耗&#xff0c;引入了偏向锁和轻量级锁&#xff1b;在Java SE 1.6 中&#xff0c;锁共有4种状态&#xff0c;级别从底到高依次是&#xff1a;无锁状态、偏向锁状态、轻量级锁和重量级锁状态&#xff0c;这几种状态会随着竞争情况…

一篇文章说清 :无锁、偏向锁、轻量级锁、重量级锁

文章目录 前言一、无锁二、偏向锁三、轻量级锁&#xff08;自选锁&#xff09;四、重量级锁锁升级场景 前言 JDK1.6为了减少获得锁和释放锁所带来的性能消耗&#xff0c;引入了“偏向锁”和“轻量级锁”&#xff0c;所以在JDK1.6里锁一共有四种状态&#xff0c;无锁状态&#x…

synchronized的偏向锁、轻量级锁和重量级锁

文章目录 Java对象头偏向锁批量重偏向批量撤销 轻量级锁重量级锁Monitor 原理 Java对象头 普通对象 Mark Word在64 位虚拟机中的结构为 Mark Word后三&#xff08;两&#xff09;位表示 001&#xff1a;无锁状态101&#xff1a; 偏向锁00&#xff1a; 轻量级锁10&#xff1a…

Java synchronized偏向锁、轻量级锁、重量级锁

简介 synchronized锁共有偏向锁、轻量级锁、重量级锁三种类型&#xff0c;而这三种类型的加锁方式都是相同的&#xff0c;写代码时不用考虑加哪种锁。使用锁时对象首先会变为偏向锁状态&#xff0c;当有其它线程获取锁时会升级为轻量级锁&#xff08;没有竞争锁&#xff09;&am…

java 中的锁 -- 偏向锁、轻量级锁、自旋锁、重量级锁

之前做过一个测试&#xff0c;详情见这篇文章《多线程 1操作的几种实现方式&#xff0c;及效率对比》&#xff0c;当时对这个测试结果很疑惑&#xff0c;反复执行过多次&#xff0c;发现结果是一样的: 1. 单线程下synchronized效率最高&#xff08;当时感觉它的效率应该是最差…

偏向锁、轻量级锁、重量级锁的区别和解析

为了换取性能&#xff0c;JVM在内置锁上做了非常多的优化&#xff0c;膨胀式的锁分配策略就是其一。理解偏向锁、轻量级锁、重量级锁的要解决的基本问题&#xff0c;几种锁的分配和膨胀过程&#xff0c;有助于编写并优化基于锁的并发程序。 内置锁的分配和膨胀过程较为复杂&…

偏向锁是什么

偏向锁操作流程偏向锁&#xff0c;顾名思义&#xff0c;它会偏向于第一个访问锁的线程&#xff0c;如果在接下来的运行过程中&#xff0c;该锁没有被其他的线程访问&#xff0c;则持有偏向锁的线程将永远不需要触发同步 但是从我们跑的代码输出却看不到偏向锁这个东东。为啥对…

偏向锁的基本原理

偏向锁的基本原理 前面说过&#xff0c;大部分情况下&#xff0c;锁不仅仅不存在多线程竞争&#xff0c;而是总是由同一个线程多次获得&#xff0c;为了让线程获取锁的代价更低就引入了偏向锁的概念。怎么理解偏向锁呢&#xff1f;当一个线程访问加了同步锁的代码块时&#xff…