详解 LDA
- 详解 LDA
- 基本概念
- 什么是LDA
- LDA 核心思想
- LDA 简单二分类实例
- 实现步骤(python)
- 第一步 标准化处理
- 第二步 计算每一类别特征的均值向量
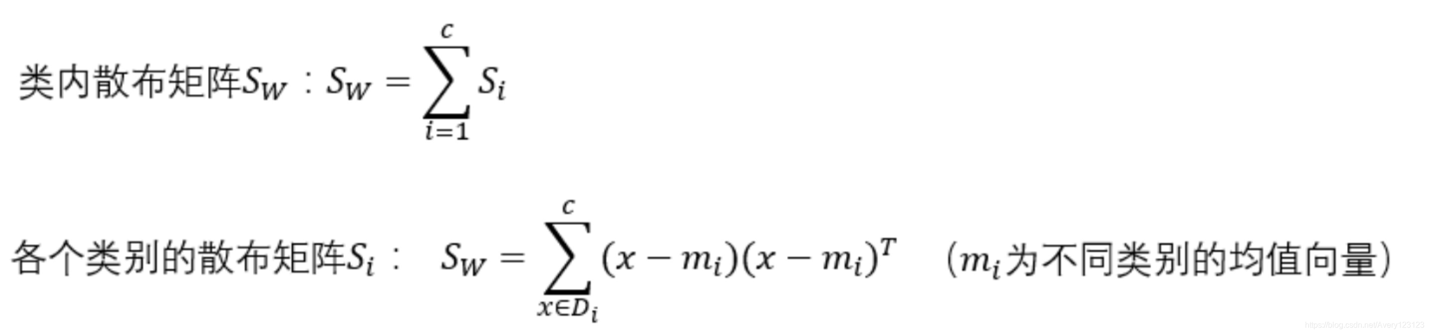
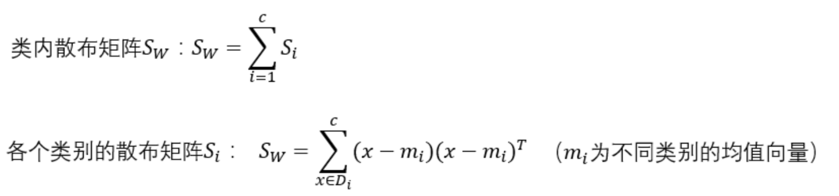
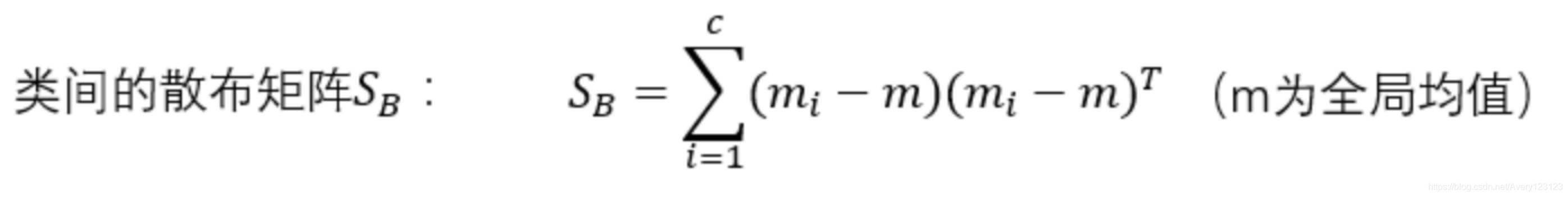
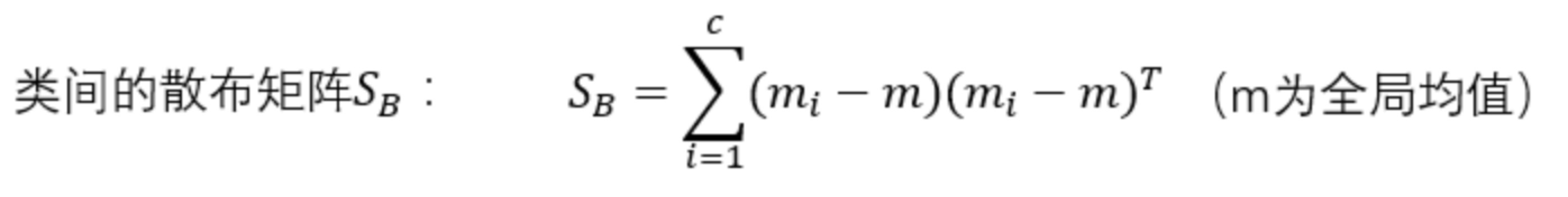
- 第三步 计算类间散布矩阵S(B)和类内散布矩阵S(W)
- 第四步 计算矩阵S(W)^(-1)S(B)的特征值和对应的特征向量
- 第五步 选取前k个特征和对应的特征向量,构造一个d×k维的转换矩阵W,其中特征向量以列的形式排列
- 第六步 将训练样本通过转换矩阵W映射到新的特征空间
- 使用scikit-learn实现LDA分析
详解 LDA
基本概念
什么是LDA
线性判别分析(LDA)是一种有监督算法,同时经常来数据进行降维,
相比于 PCA , LDA 可以作为一种有监督的降维算法 。在 PCA 中 ,算法没有考虑数据的标签(类别) , 只是把原数据映射到一些方差比较大的方向上而已。
看一个实例:


可以看出,如果是PCA的话,为了方差最大化,会选择投影到左边,而LDA则会选择投影到下面。
LDA 核心思想
LDA的思想可以用一句话概括,就是“投影后类内方差最小,类间方差最大”。也就是说,要将数据在低维度上进行投影,投影后希望每一种类别数据的投影点尽可能的接近,而不同类别的数据的类别中心之间的距离尽可能的大:

LDA 简单二分类实例
假设有两类数据,分别为红色和蓝色,如下图所示,这些数据特征是二维的,希望将这些数据投影到一维的一条直线,让每一种类别数据的投影点尽可能的接近,而红色和蓝色数据中心之间的距离尽可能的大。

上图中提供了两种投影方式,哪一种能更好的满足我们的标准呢?
从直观上可以看出,右图要比左图的投影效果好,因为右图的黑色数据和蓝色数据各个较为集中,且类别之间的距离明显。左图则在边界处数据混杂。
以上就是LDA的主要思想了,当然在实际应用中,数据是多个类别的,我们的原始数据一般也是超过二维的,投影后的也一般不是直线,而是一个低维的超平面。
实现步骤(python)
第一步 标准化处理
import pandas as pd
from sklearn.preprocessing import StandardScaler
from sklearn.model_selection import train_test_splitif __name__ == "__main__":# 获取葡萄酒的数据data = pd.read_csv("G:/dataset/wine.csv")# 将数据分为x和yx,y = data.ix[:,1:],data.ix[:,0]# 将数据分为训练集和测试集train_x,test_x,train_y,test_y = train_test_split(x,y,test_size=0.3,random_state=1)#对数据进行标准化处理std = StandardScaler()train_x_std = std.fit_transform(train_x)test_x_std = std.fit_transform(test_x)
第二步 计算每一类别特征的均值向量
#用来存放不同类别特征的平均值向量mean_vecs = []#葡萄酒数据集一共有3个类别1,2,3for label in range(1,4):mean_vecs.append(np.mean(train_x_std[label==train_y],axis=0))
第三步 计算类间散布矩阵S(B)和类内散布矩阵S(W)

计算类内散布矩阵S(W)
#定义每行数据的大小,每条数据有13个特征d = 13#定义类内散布矩阵S_W = np.zeros((d,d))# 计算类内的散布矩阵for label, mv in zip(range(1, 4), mean_vecs):class_scatter = np.zeros((d, d))# 计算各个类别的散布矩阵for row in train_x_std[train_y == label]:row, mv = row.reshape(d, 1), mv.reshape(d, 1)class_scatter += (row - mv).dot((row - mv).T)S_W += class_scatter# print(np.bincount(train_y)[1:])
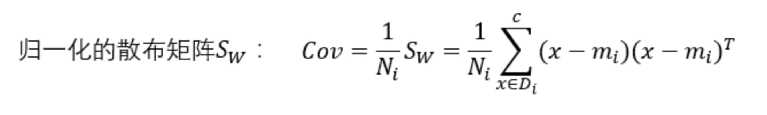
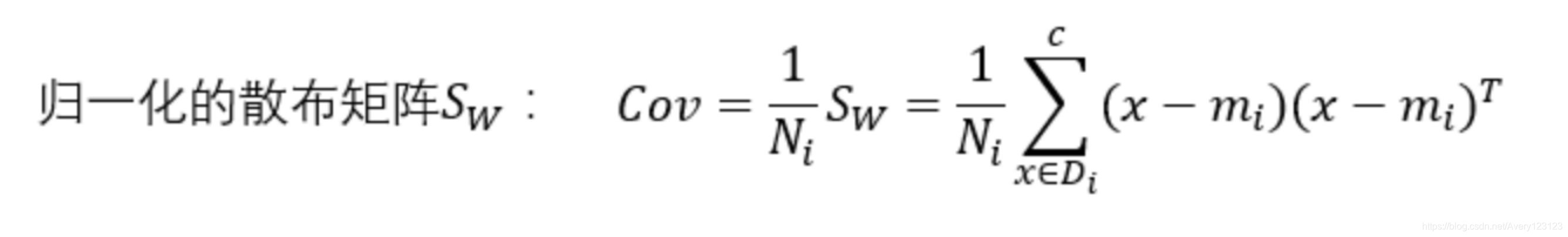
我们需要对不同类别的散布矩阵S(i)做缩放处理,对各个类别的散布矩阵除以该类别内样本数量N(i),发现计算散布矩阵的方式与计算协方差矩阵的方式是一样的,协方差矩阵可以看作是归一化的散布矩阵

#计算类内的散布矩阵for label,mv in zip(range(1,4),mean_vecs):class_scatter = np.cov(train_x_std[train_y == label].T)S_W += class_scatter
计算类间散布矩阵S(B)

#计算全局均值mmean_overall = np.mean(train_x_std,axis=0)S_B = np.zeros((d,d))for i,mean_vec in enumerate(mean_vecs):N = train_x_std[train_y == i+1,:].shape[0]mean_vec = mean_vec.reshape(d,1)mean_overall = mean_overall.reshape(d,1)S_B += N * (mean_vec - mean_overall).dot((mean_vec - mean_overall).T)
第四步 计算矩阵S(W)^(-1)S(B)的特征值和对应的特征向量
#获取特征值和对应的特征向量eigen_vals,eigen_vecs = np.linalg.eig(np.linalg.inv(S_W).dot(S_B))#获取特征对,并根据特征值的大小进行排序eigen_pairs = [(np.abs(eigen_vals[i]),eigen_vecs[:,i]) for i in range(len(eigen_vals))]eigen_pairs = sorted(eigen_pairs,key=lambda k : k[0],reverse=True)for eigen in eigen_pairs:print(eigen[0])
第五步 选取前k个特征和对应的特征向量,构造一个d×k维的转换矩阵W,其中特征向量以列的形式排列
下面我们通过图像来判断,特征向量的个数对于不同类别的区分能力
#计算所有特征值的和tot = sum(eigen_vals.real)#获取特征值占总特征值的比率discr = [(i / tot) for i in sorted(eigen_vals.real,reverse=True)]cum_discr = np.cumsum(discr)plt.bar(range(1,14),discr,alpha=0.5,align="center",label="单个特征区分")plt.step(range(1,14),cum_discr,where="mid",label="累计区分")plt.xlabel("线性判别(LDA)")plt.ylabel("区分率")plt.ylim([-0.1,1.1])plt.legend(loc="best")plt.show()

通过上面的特征值和图可以发现,只存在两个特征值不为0(其余的特征值接近于0),前两个特征值累计已经接近于100%,所以我们选取前两个特征向量来构造转换矩阵W。
第六步 将训练样本通过转换矩阵W映射到新的特征空间
#将样本映射到新的特征子空间train_x_std_lda = train_x_std.dot(W)colors = ["r","b","g"]markers = ["s","x","o"]for l,c,m in zip(np.unique(train_y),colors,markers):plt.scatter(train_x_std_lda[train_y == l,0],train_x_std_lda[train_y == l,1],c=c, label=l,marker=m)plt.xlabel("LD1")plt.ylabel("LD2")plt.legend(loc="upper right")plt.show()

使用scikit-learn实现LDA分析
import pandas as pd
import numpy as np
from sklearn.preprocessing import StandardScaler
from sklearn.model_selection import train_test_split
import matplotlib.pyplot as plt
from sklearn.discriminant_analysis import LinearDiscriminantAnalysis
from sklearn.linear_model import LogisticRegressionif __name__ == "__main__":# 获取葡萄酒的数据data = pd.read_csv("G:/dataset/wine.csv")# 将数据分为x和yx, y = data.ix[:, 1:], data.ix[:, 0]# 将数据分为训练集和测试集train_x, test_x, train_y, test_y = train_test_split(x, y, test_size=0.3, random_state=0)# 对数据进行标准化处理std = StandardScaler()train_x_std = std.fit_transform(train_x)test_x_std = std.fit_transform(test_x)#设置LDA的维度lda = LinearDiscriminantAnalysis(n_components=2)#将X通过LDA进行转换train_x_std_lda = lda.fit_transform(train_x_std,train_y)test_x_std_lda = lda.fit_transform(test_x_std,test_y)logistic = LogisticRegression()logistic.fit(train_x_std_lda,train_y)print("训练集上的准确率:",logistic.score(train_x_std_lda,train_y))print("测试集上的准确率:",logistic.score(test_x_std_lda,test_y))
训练集上的准确率: 0.991935483871
测试集上的准确率: 1.0















