忆如完整项目/代码详见github:https://github.com/yiru1225(转载标明出处 勿白嫖 star for projects thanks)
目录
系列文章目录
一、LDA的概念与原理
1.LDA简介
2.LDA算法模型
3.LDA的不足与优化
二、LDA运用于人脸识别
1.预处理
1.1 数据导入与处理
1.2 算各类均值、类间散度Sb、类内散度Sw
2.LDA核心(构造目标函数并对其进行特征分解)
3.人脸识别
4.LDA与PCA图像降维与可视化对比
5.LDA与PCA的异同总结
6.其他
6.1 内部函数定义
6.2 数据集及资源
6.3 参考资料
总结
系列文章目录
本系列博客重点在机器学习的概念原理与代码实践,不包含繁琐的数学推导(有问题欢迎在评论区讨论指出,或直接私信联系我)。
代码可以全抄 大家搞懂原理与流程去复现才是有意义的!!!
第一章 机器学习——PCA(主成分分析)与人脸识别_@李忆如的博客-CSDN博客
第二章 LDA与人脸识别
梗概
本篇博客主要介绍LDA(线性判别分析)算法并将LDA及其各种等价模型用于人脸的识别、图像降维可视化,并将LDA与PCA进行比较(内附数据集与matlab代码)
一、LDA的概念与原理
1.LDA简介
LDA(线性判别分析)为主流的一种线性降维算法。以”最小化类内方差,最大化类间方差“为目标导向,通过降维(投影),达到降维的目的更好地将样本分类。
2.LDA算法模型
经典的LDA解决问题可划分为以下步骤
1.将数据集分类,计算每个类的均值(LDA利用了样本的类别(数据)标签,为有监督学习)。
2.计算类间散度矩阵Sb与类内散度矩阵Sw。
3.构造目标函数(多种不同的目标函数)并对其进行特征分解。
4.取出一定数量的特征向量得到投影矩阵。
5.将测试数据投影到子空间中,使用KNN进行分类(实际问题中)。
3.LDA的不足与优化
1.有限投影轴问题(≤类别数 - 1)
2.小样本问题
3.处理高维数据时,计算代价很大
优化:先用PCA进行预处理再使用LDA,或在目标函数中加入正则化扰动
4.不能较好地刻画非线性问题
优化:使用核属性的LDA升维处理数据
二、LDA运用于人脸识别
1.预处理
1.1 数据导入与处理
利用imread批量导入人脸数据库,或直接load相应mat文件,并在导入时不断将人脸拉成一个个列向量组成reshaped_faces,并取出30%作为测试数据,剩下70%作为训练数据,重复此步骤,将导入数据抽象成框架,可以匹配不同数据集的导入(本实验框架适配ORL、AR、FERET数据集)。
clear;
% 1.人脸数据集的导入与数据处理框架
reshaped_faces=[];
% 声明数据库名
database_name = "ORL";% ORL5646
if (database_name == "ORL")for i=1:40 for j=1:10 if(i<10)a=imread(strcat('C:\Users\hp\Desktop\face\ORL56_46\orl',num2str(i),'_',num2str(j),'.bmp')); elsea=imread(strcat('C:\Users\hp\Desktop\face\ORL56_46\orl',num2str(i),'_',num2str(j),'.bmp')); end b = reshape(a,2576,1);b=double(b); reshaped_faces=[reshaped_faces, b]; endend
row = 56;
column = 46;
people_num = 40;
pic_num_of_each = 10;
train_pic_num_of_each = 7; % 每张人脸训练数量
test_pic_num_of_each = 3; % 每张人脸测试数量
end%AR5040
if (database_name == "AR")for i=1:40 for j=1:10 if(i<10)a=imread(strcat('C:\AR_Gray_50by40\AR00',num2str(i),'-',num2str(j),'.tif')); elsea=imread(strcat('C:\AR_Gray_50by40\AR0',num2str(i),'-',num2str(j),'.tif')); end b = reshape(a,2000,1);b=double(b); reshaped_faces=[reshaped_faces, b]; endend
row = 50;
column = 40;
people_num = 40;
pic_num_of_each = 10;
train_pic_num_of_each = 7;
test_pic_num_of_each = 3;
end%FERET_80
if (database_name == "FERET")for i=1:80 for j=1:7 a=imread(strcat('C:\Users\hp\Desktop\face\FERET_80\ff',num2str(i),'_',num2str(j),'.tif')); b = reshape(a,6400,1);b=double(b); reshaped_faces=[reshaped_faces, b]; endend
row = 80;
column = 80;
people_num = 80;
pic_num_of_each = 7;
train_pic_num_of_each = 5;
test_pic_num_of_each = 2;
end% 取出前30%作为测试数据,剩下70%作为训练数据
test_data_index = [];
train_data_index = [];
for i=0:people_num-1test_data_index = [test_data_index pic_num_of_each*i+1:pic_num_of_each*i+test_pic_num_of_each];train_data_index = [train_data_index pic_num_of_each*i+test_pic_num_of_each+1:pic_num_of_each*(i+1)];
endtrain_data = reshaped_faces(:,train_data_index);
test_data = reshaped_faces(:, test_data_index);
dimension = row * column; %一张人脸的维度
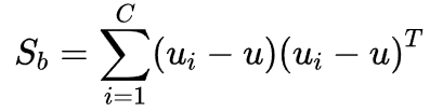
1.2 算各类均值、类间散度Sb、类内散度Sw
样本的类间散度矩阵Sb和类内散度矩阵Sw分别定义为:


图1 Sb与Sw的定义
将人脸数据集按人数n分为n类,算各类均值,并按Sb与Sw的定义与数学推导求出相应矩阵。
% 算每个类的平均
k = 1;
class_mean = zeros(dimension, people_num);
for i=1:people_num% 求一列(即一个人)的均值temp = class_mean(:,i);% 遍历每个人的train_pic_num_of_each张用于训练的脸,相加算平均for j=1:train_pic_num_of_eachtemp = temp + train_data(:,k);k = k + 1;endclass_mean(:,i) = temp / train_pic_num_of_each;
end% 算类类间散度矩阵Sb
Sb = zeros(dimension, dimension);
all_mean = mean(train_data, 2); % 全部的平均
for i=1:people_num% 以每个人的平均脸进行计算,这里减去所有平均,中心化centered_data = class_mean(:,i) - all_mean;Sb = Sb + centered_data * centered_data';
end
Sb = Sb / people_num;% 算类内散度矩阵Sw
Sw = zeros(dimension, dimension);
k = 1; % p表示每一张图片
for i=1:people_num % 遍历每一个人for j=1:train_pic_num_of_each % 遍历一个人的所有脸计算后相加centered_data = train_data(:,k) - class_mean(:,i);Sw = Sw + centered_data * centered_data';k = k + 1;end
end
Sw = Sw / (people_num * train_pic_num_of_each);
2.LDA核心(构造目标函数并对其进行特征分解)
Tips:本实验使用pinv(矩阵伪逆)代替inv(矩阵的逆),消除部分奇异值对实验带来的影响
每个目标函数对应不同LDA的等价模型(除法的、减法的及其调换位置的等)以及PCA模型(目标函数以及具体原理可以查看对应博客),确定目标函数后对其进行特征分解。
% 目标函数一:经典LDA(伪逆矩阵代替逆矩阵防止奇异值)
target = pinv(Sw) * Sb;% 目标函数二:不可逆时需要正则项扰动
% Sw = Sw + eye(dimension)*10^-6;
% target = Sw^-1 * Sb;% 目标函数三:相减形式
% target = Sb - Sw;% 目标函数四:相除
% target = Sb/Sw;% 目标函数五:调换位置
% target = Sb * pinv(Sw);%PCA
% centered_face = (train_data - all_mean);
% cov_matrix = centered_face * centered_face';
% target = cov_matrix;% 求特征值、特征向量
[eigen_vectors, dianogol_matrix] = eig(target);
eigen_values = diag(dianogol_matrix);% 对特征值、特征向量进行排序
[sorted_eigen_values, index] = sort(eigen_values, 'descend');
eigen_vectors = eigen_vectors(:, index);
3.人脸识别
降维过程LDA与PCA基本一致,在按特征值排好序的特征向量中取出前n大的特征向量来构建投影矩阵,实现降维(降维到n维),并用KNN进行分类预测,实现人脸识别,并比较PCA与LDA的各种等价模型与正则模型在不同数据集下的人脸识别精度。
Tips:单次运行为选定目标函数对应的人脸识别率。
% 人脸识别index = 1;
X = [];
Y = [];
% i为降维维度
for i=1:5:161% 投影矩阵project_matrix = eigen_vectors(:,1:i);projected_train_data = project_matrix' * (train_data - all_mean);projected_test_data = project_matrix' * (test_data - all_mean);% KNN的k值K=1;% 用于保存最小的k个值的矩阵% 用于保存最小k个值对应的人标签的矩阵minimun_k_values = zeros(K,1);label_of_minimun_k_values = zeros(K,1);% 测试脸的数量test_face_number = size(projected_test_data, 2);% 识别正确数量correct_predict_number = 0;% 遍历每一个待测试人脸 for each_test_face_index = 1:test_face_numbereach_test_face = projected_test_data(:,each_test_face_index);% 先把k个值填满,避免在迭代中反复判断for each_train_face_index = 1:Kminimun_k_values(each_train_face_index,1) = norm(each_test_face - projected_train_data(:,each_train_face_index));label_of_minimun_k_values(each_train_face_index,1) = floor((train_data_index(1,each_train_face_index) - 1) / pic_num_of_each) + 1;end% 找出k个值中最大值及其下标[max_value, index_of_max_value] = max(minimun_k_values);% 计算与剩余每一个已知人脸的距离for each_train_face_index = K+1:size(projected_train_data,2)% 计算距离distance = norm(each_test_face - projected_train_data(:,each_train_face_index));% 遇到更小的距离就更新距离和标签if (distance < max_value)minimun_k_values(index_of_max_value,1) = distance;label_of_minimun_k_values(index_of_max_value,1) = floor((train_data_index(1,each_train_face_index) - 1) / pic_num_of_each) + 1;[max_value, index_of_max_value] = max(minimun_k_values);endend% 最终得到距离最小的k个值以及对应的标签% 取出出现次数最多的值,为预测的人脸标签predict_label = mode(label_of_minimun_k_values);real_label = floor((test_data_index(1,each_test_face_index) - 1) / pic_num_of_each)+1;if (predict_label == real_label)correct_predict_number = correct_predict_number + 1;endendcorrect_rate = correct_predict_number/test_face_number;X = [X i];Y = [Y correct_rate];fprintf("k=%d,i=%d,总测试样本:%d,正确数:%d,正确率:%1f\n", K, i,test_face_number,correct_predict_number,correct_rate);if (i == 161)waitfor(plot(X,Y));end
end

图2 pinv改进的经典LDA在ORL下的人脸识别率与维数的关系

图3 LDA的各模型与PCA在FERET人脸识别率对比
分析:在FERET较大的数据集时,调换LDA、除法LDA、PCA的识别率波动较大,较其他三个模型识别率较低,而正则LDA与经典LDA在各数据集下表现相对稳定(其他图未展示),识别率均高于经典PCA,特别是在大数据集下,LDA相对PCA有明显优势。
4.LDA与PCA图像降维与可视化对比
分别使用PCA与LDA对人脸图像进行降维至2与3维,并取前三类的分布作图,将每类第一幅图作为代表图。
Tips:本实验以测试集的二三维可视化为例
% 二三维可视化
class_num_to_show = 3;
pic_num_in_a_class = pic_num_of_each;
pic_to_show = class_num_to_show * pic_num_in_a_class;
for i=[2 3]% 取出相应数量特征向量project_matrix = eigen_vectors(:,1:i);% 投影projected_test_data = project_matrix' * (reshaped_faces - all_mean);projected_test_data = projected_test_data(:,1:pic_to_show);color = [];for j=1:pic_to_showcolor = [color floor((j-1)/pic_num_in_a_class)*20];end% 显示if (i == 2)subplot(1, 7, [1, 2, 3, 4]);scatter(projected_test_data(1, :), projected_test_data(2, :), [], color, 'filled');for j=1:3subplot(1, 7, j+4);fig = show_face(test_data(:,floor((j - 1) * pic_num_in_a_class) + 1), row, column);endwaitfor(fig);elsesubplot(1, 7, [1, 2, 3, 4]);scatter3(projected_test_data(1, :), projected_test_data(2, :), projected_test_data(3, :), [], color, 'filled');for j=1:3subplot(1, 7, j+4);fig = show_face(test_data(:,floor((j - 1) * pic_num_in_a_class) + 1), row, column);endwaitfor(fig);end
end


图4 LDA在ORL数据集下二三维可视化


图5 PCA在ORL数据集下二三维可视化
分析:图4 图5(其他数据集与模型可自己更改目标函数或框架尝试)展示了LDA与PCA对图像的降维后分布,可以清晰地看出LDA降维同类图像较聚集,不同类图像较分散。而PCA则相对混杂,无明显规律。根据两算法的目的与原理,以此可以比较出PCA与LDA的不同(即eigenface与fisherface的不同)
5.LDA与PCA的异同总结

PCA LDA
分析:PCA与LDA都是常见的线性降维算法,但两算法的降维原理与目的不同,LDA的核心思想是“最小化类内方差,最大化类间方差”,从而更好地完成数据的分类与识别,而PCA的核心思想是“最小化协方差矩阵(最小化重构误差)”,从而实现数据的压缩与主成分重构,一般在小数据集下PCA与LDA效果相近甚至超过LDA,但在大数据集中,LDA明显优于PCA。另外,LDA使用了数据的标签(类别)信息,为有监督学习,而PCA则未使用,为无监督学习。
6.其他
6.1 内部函数定义
本实验中将人脸图像展示抽象为函数,函数定义如下:
% 输入向量,显示脸
function fig = show_face(vector, row, column)fig = imshow(mat2gray(reshape(vector, [row, column])));
end
6.2 数据集及资源
本实验以ORL5646数据集做展示,代码可适用多个数据集。
常用人脸数据集如下(不要白嫖哈哈哈)
链接:https://pan.baidu.com/s/12Le0mKEquGMgh5fhNagZGw
提取码:yrnb
LDA完整代码:李忆如/忆如的机器学习 - Gitee.com
6.3 参考资料
1.赖志辉的课
2.LDA算法原理及matlab实现_dulingtingzi的博客-CSDN博客_lda matlab
3.基于LDA的人脸识别方法--fisherface - 知乎 (zhihu.com)
4.周志华《机器学习》
总结
LDA作为经典的线性降维算法,通过”最小化内类方差,最大化类间方差“为目标导向对数据进行投影实现降维,更好地完成数据的分类。如今仍然在机器学习许多领域(数据分类、语言图像处理、推荐系统)有优异表现。且作为一种有监督学习方法(利用了数据的原有信息),LDA能得到较好的保留数据信息。但LDA仍存在上文提到的有限投影轴问题、小样本问题、处理高维数据大计算代价问题、不好刻画非线性问题等等,另外,LDA是假设每个类的数据都是高斯分布的情况下开发的,这个属性在现实世界的问题中往往不存在。如果没有这个属性,不同类的可分离性就不能很好地通过类间散射来描述,从而影响实验结果,后续博客会分析其他算法优化或解决上述问题。



















