jmeter+ant接口自动化测试框架

article/2025/10/19 1:52:16

1、安装就jmeter

1、下载安装包(过程略过,自己找安装包,随便装在哪个目录下)

2、配置环境变量

JMETER_HOME 为 jemter安装路径;

  CLASSPATH为 %JMETER_HOME%\lib;

  PATH为%JMETER_HOME%\bin;

3、安装验证

在命令窗口中输入jmeter -v回车,能出现jmeter版本则说明配置成功

4、在jmeter上调试通一个接口(如果是多个接口,按照jmeter方法添加即可)

 

 

三、安装jdk

1、下载安装包(我使用的是jdk1.8版本,自行下载)

2、配置环境变量

JAVA_HOME 为 C:\Program Files (x86)\Java\jdk1.8.0_171 (注意:java我是默认装的C盘)

  CLASSPATH为 .;%JAVA_HOME%\lib;%JAVA_HOME%\lib\tools.jar;

  PATH为 %JAVA_HOME%\bin;%JAVA_HOME%\jre\bin;

3、安装验证

在命令窗口中输入java -version 回车,能出现java版本则说明配置成功

五、Ant配置Jmeter:用ant构建命令来调动执行jmeter接口测试,并生成测试报告

1、配置库文件

将jmeter extras目录下的ant-jmeter-1.1.1.jar文件拷贝到ant安装目录下的lib文件夹中

2、配置ant的编译文件build.xml

新建的txt文件,并将此文件改名为build.xml,修改文档里的内容(路径修改为自己的路径)

 

​3、配置jmeter.propertise文档

找到jmeter.properties文档,在jmeter/bin目录下,打开该文档并编辑,修改jmeter报告输出格式为xml:

改jmeter.save.saveservice.output_format=csv 为jmeter.save.saveservice.output_format=xml,并去掉前面的注释符号#

 

 

4、验证配置,执行构建测试

将之前的jmeter的脚本保存,并将build.xml配置文件放在与测试脚本相同的目录下,我的目录如下

5、执行测试

在build.xml所在目录打开命令窗口(鼠标在空白处按下shift键后在右键),

或者命令行cd到build.xml文件所在目录,输入ant run回车,执行测试

 

6、查看测试报告

在报告输出存放路径下查看是否有jtl和html结果报告,存放路径在build文档中也有

 

打开html文档,测试结果展现了执行的用例名称、成功率、用例执行时间等结果参数

 

这样的结果是不是不太直观,因为用jmeter自带的测试报告得到的测试报告信息并不是很全,下面讲一下怎么优化测试报告

7、优化测试报告

7.1 下载优化模板 jmeter-results-shanhe-me.xsl,拷贝到jmeter的extras目录中

下载地址:jmeter.results.shanhe.me.xsl

 

​7.2 设置测试输出报告要输出的内容:同样在jmeter.properties中,设置需要输出的内容为true,并去掉前面的注释符号#,这里全部设置成true→保存

 

7.3 设置build文件的报告模板为优化后的模板jmeter-results-shanhe-me.xsl

7.4 再次用ant构建测试,查看优化后的测试报告 

 


http://chatgpt.dhexx.cn/article/PB5kCJ5X.shtml

相关文章

Ant安装及环境变量配置+邮件配置+Ant生成接口测试报告

Ant安装 1.将Ant解压到 D:\Atest\apacheAnt下 2.将JMeter所在目录下extras子目录里的ant-jmeter-1.1.1.jar复制到 ant 所在目录lib子目录下,这样Ant运行时才能找到“org.programmerplanet.ant.taskdefs.jmeter.JMeterTask”这个类,从而成功触发JMeter脚…

Jmeter+Ant 接口自动化环境配置指南

一 、Jmeter安装与配置(以下为个人CSDN博客老文章) https://blog.csdn.net/tester_sc/article/details/80746405 注:Jmeter5.0的环境变量配置与4.0或历往老版本有部分小差异,笔者用的Jmeter 5.0 二 、Ant的安装与配置 # Ant下载地址(下载到指定目录后…

SpringBoot整合MyBatis实现分库分表方案

SpringBoot整合MyBatis实现分库分表方案 SpringBoot整合Mybatis实现分库分表查询, 这里不讲解SpringBoot如何整合MyBatis ,只讲解SpringBoot整合MyBatis下的实现分库分表的实现方案。 #大概的实现思路 我们知道MyBatis的mapper对象是通过动态代理创建…

一种简单易懂的 MyBatis 分库分表方案

转载自:https://www.toutiao.com/a6667422100141113863/?tt_fromweixin&utm_campaignclient_share&wxshare_count1&timestamp1552387200&appnews_article&utm_sourceweixin&iid65271942423&utm_mediumtoutiao_android&group_id666…

MyBatis分库分表方案

SpringMVC MyBatis分库分表方案 mybatis作为流行的ORM框架,项目实际使用过程中可能会遇到分库分表的场景。mybatis在分表,甚至是同主机下的分库都可以说是完美支持的,只需要将表名或者库名作为动态参数组装sql就能够完成。但是多余分在不同…

数据库分库分表解决方案

数据库分库分表解决方案 前言MySQL表大小限制分表方案垂直分表水平分表按月分表MySQL分区表 分库方案按业务分库按表分库 拆分后的问题及常见的解决方案垂直拆分跨库Join问题全局表数据同步 分布式事务问题MySQL XA事务本地消息表 水平拆分分布式全局唯一ID分片键选择数据扩容跨…

MySQL-分库分表方案

一、业务背景 随着业务量的增长,数据量会随之增长,单机情况下DB服务器会面临存储容量、连接数和处理能力的瓶颈,当数据量达到一定量级时,DDL变更时间变长,影响业务可用性,此时需要考虑分库分表&#xff0c…

最全的MySQL分库分表方案总结

“ 面试中我们经常会碰到的关于分库分表的问题!今天就给大家介绍互联网公司常用 MySQL 分库分表方案!希望对大家的面试有所帮助! 数据库瓶颈 不管是 IO 瓶颈,还是 CPU 瓶颈,最终都会导致数据库的活跃连接数增加&#x…

python mysql分库分表_干货 : 常用MySQL分库分表方案

Python乱炖推荐搜索后浪 动森玩家 送书 数据分析 一、数据库瓶颈 不管是IO瓶颈,还是CPU瓶颈,最终都会导致数据库的活跃连接数增加,进而逼近甚至达到数据库可承载活跃连接数的阈值。在业务Service来看就是,可用数据库连接少甚至无连接可用。接下来就可以想象了吧(并发量、吞…

php分库分表技术,谈谈关于分库分表的方案

1. 数据库瓶颈 不管是IO瓶颈,还是CPU瓶颈,最终都会导致数据库的活跃连接数增加,进而逼近甚至达到数据库可承载活跃连接数的阈值。在业务Service来看就是,可用数据库连接少甚至无连接可用。接下来就可以想象了吧(并发量、吞吐量、崩溃)。 1.1. IO瓶颈 第一种:磁盘读IO瓶颈,…

这应该是全网最全的分库分表方案了

一、数据库瓶颈 不管是IO瓶颈,还是CPU瓶颈,最终都会导致数据库的活跃连接数增加,进而逼近甚至达到数据库可承载活跃连接数的阈值。在业务Service来看就是,可用数据库连接少甚至无连接可用。接下来就可以想象了吧(并发…

MySQL第六讲 MySQL分库分表方案

分库分表概念 分库分表就是业务系统将数据写请求分发到master节点,而读请求分发到slave 节点的一种方案,可以大大提高整个数据库集群的性能。但是要注意,分库分表的 一整套逻辑全部是由客户端自行实现的。而对于MySQL集群,数据主从…

分库分表方案对比

房晓乐(葱头巴巴),PingCAP 资深解决方案架构师,前美团数据库专家、美团云 CDS 架构师、前搜狗、百度资深 DBA,擅长研究各种数据库架构,NewSQL 布道者。 原文链接:https://dbaplus.cn/news-11-1…

分库分表方案

一、为什么要进行分库分表 当MySQL单表数据量过大,比如超过5千万条的时候,读写性能变得很差。而且常规的优化手段已经不起作用了,比如:SQL调优、添加索引、主从复制、读写分离。这时候就需要用到MySQL终极优化方案 — 分库分表。 …

分库分表设计方案

一、为什么要分库分表? 随着业务的不断发展,数据量不断增加,因此数据操作,如增删改查的开销也会越来越大,原来基于单库单表的设计已经不能满足存储需求,数据库随时面临爆库风险; 再加上物理服务器的资源有…

python:numpy的corrcoef计算相关系数

corrcoef(x, yNone, rowvarTrue, biasnp._NoValue, ddofnp._NoValue)函数常用的是前三个参数,x和y分别是需要计算相关系数的两个随机变量,当rowvar为True(默认情况)时,每一行代表一个随机变量,否则每一列代表一个随机变量。 该函数…

python 计算相关性系数np.corrcoef()

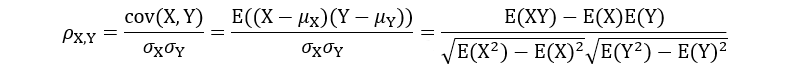
计算相关性是分析连续型与连续型双变量的常用方法,散点图只能直观的显示双变量(特征)之间的关系,但并不能说明关系的强弱,而相关性可以对变量之间的关系进行量化分析。 相关性系数的公式如下: 相关性系数…

Numpy库 numpy.corrcoef()函数

相关系数公式: 其他详见: 1. Python Numpy库 numpy.corrcoef()函数讲解 2. 协方差、方差、标准差、协方差系数 3. 标准差、方差、协方差三者的表示意义

MATLAB中的corrcoef函数求两个向量的相关系数。

 想用MATLAB中的corrcoef函数求两个向量的相关系数。 比如A[1 2 3];B[5 3 7]; r corrcoef(A,B)可以求出相关系数是0.5.为什么两个向量的元素都要是3个以上才行?而只有两个元素的向量如A[1 2];B[5 3];不管怎么随机的取,相关系数都…

使用numpy计算相关系数矩阵:np.corrcoef()

【小白从小学Python、C、Java】 【Python-计算机等级考试二级】 【Python-数据分析】 使用numpy计算相关系数矩阵 np.corrcoef() 选择题 关于以下代码说法错误的是? import numpy as np array1np.array([[1,2,3], [2,3,4], [2,3,3], [4,3,2], [4,3,3]]) print(array1) print(&…