哈希列表、哈希链、哈希树

article/2025/10/4 22:57:30

通过哈希算法检验大量数据(比如大量文件)的一致性时,常见的存储方案:

哈希列表(Hash List)

  • 原理:
    1. 计算每个数据的哈希值,保存为一个列表。
    2. 记录该列表的哈希值,用于检验整体的一致性。
  • 当发现整个 Hash List 的哈希值变化时,需要遍历检验每个数据的哈希值是否变化,从而找出变化的数据。时间复杂度为 O(n) 。

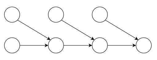
哈希链(Hash Chain)

  • 原理:

    1. 计算每个数据的哈希值。

    2. 将两个数据的哈希值组合,计算哈希值,再与下一个数据的哈希值组合,计算哈希值。以此类推,最后得到链尾的哈希值。

      请添加图片描述

  • 如果任一节点的哈希值发生变化,则在哈希链中,其后所有节点的哈希值都会变化。

哈希树(Hash Tree)

:又称为默克尔树(Merkle Tree)

  • 原理:

    1. 计算每个数据的哈希值,保存为二叉树的叶子节点。

    2. 将二叉树中的节点两两组合计算哈希值,作为父节点的哈希值。以此类推,最后得到根节点的哈希值。

      请添加图片描述

  • 从一个叶子节点到根节点的路径称为 Merkle 路径。

  • 当发现根节点的哈希值变化时,需要按二分法检验子孙节点的哈希值是否变化,从而找出变化的数据。时间复杂度为 O(logn) ,效率较高。

  • 假设哈希值存储在其它主机上,则采用 Hash List、Hash Chain 时,本机需要下载所有数据的哈希值用于遍历检验。采用 Merkle Tree 时,本机只需下载 Merkle 路径的相关节点的哈希值用于检验,开销更低。


http://chatgpt.dhexx.cn/article/OpT01bs4.shtml

相关文章

哈希树

哈希树: 哈希树(HashTree)算法就是要提供一种在理论上和实际应用中均能有效地处理冲突的方法。一般的哈希(Hash)算法都是O(1)的,而且基本是以空间换时间。这很容易导致对存储空间无限制的需求。本文中哈希树(HashTree)算法在实际操作中使用了一些技巧使…

哈希树 (HashTree)

在讲hash树之前首先我们来理解一下质数分辨定理。 什么是质数分辨定理? 什么是质数 : 即只能被 1 和 本身 整除的数。 为什么用质数:因为N个不同的质数可以 ”辨别“ 的连续整数的数量,与这些质数的乘积相同。 百度文库解答&#…

Merkle树介绍

默克尔树(Merkle树)又叫哈希树,是区块链数据存储运用到的一个重要的技术算法。 简单来说,哈希树(默克尔树)中,每个节点都标有一个数据块的加密哈希值。哈希树可以用来验证任何一种在计算机中和计…

Merkle Tree(默克尔树)算法解析

Merkle Tree概念 Merkle Tree,通常也被称作Hash Tree,顾名思义,就是存储hash值的一棵树。Merkle树的叶子是数据块(例如,文件或者文件的集合)的hash值。非叶节点是其对应子节点串联字符串的hash。[1] 1、Hash Hash是一个把任意长…

js中的var是什么意思

js中的var是定义变量的意思,使用和不使用var都能定义变量,但是两个变量的作用域不同。 (1)在函数中和函数外分别用var定义一个变量a,函数外的变量a是全局变量,函数内的变量a是局部变量,所以在函…

python中的var是什么什么的缩写_var是什么意思

展开全部 VAR是英文Video Assistant Referee的缩写,也被称作“视频助理裁判”,由现役裁判员担任,他的职责是通过回放视频向裁e5a48de588b63231313335323631343130323136353331333366303733判员提供信息,协助裁判员纠正改变比赛走…

var 作用域||变量

平常我们在使用js 的时候一般使用var来声明变量,相比于C语言Java当中的声明变量要简单一些,但是简单肯定也会有简单的不好之处。 一般来讲,在函数内部(local variable)中,js初始化变量加var的为局部变量不加…

第一讲:var的使用

目录 使用var声明变量 不使用var,直接给变量赋值 变量的作用域 全局变量和局部变量的混用 变量提升 总结 javascript中,使用var声明变量,看似简单易学,其实不然。 在我接触的许多编程语言中,如c, c#, vb, java, p…

let与var的区别

前端小白刚学习JavaScript接触到变量的时候可能会有点懵,那就是什么时候该用let,什么时候该用var,这里给大家一个最简单,最明了的答案,看完就能明白。 首先,let是拥有块级作用域的,什么是块级作…

val和var的区别

美图欣赏: 一.背景 学习过程中,会有很多小的并且容易混淆知识点,因此会把它记录下来。 二.val(value)和var(variable)的区别 基本语法: var|val 变量名 : 变量类型 变量值1.使用var或者val定义一个变量。 使用var(variable)声…

var

在函数中&#xff0c;使用var声明的变量&#xff0c;为局部变量&#xff0c;只能在函数内部访问。 不使用var声明的变量&#xff0c;为全局变量&#xff0c;在函数外边也能访问。 没有var的情况 <script type"text/javascript">a 10;function demo() {console…

VaR如何计算?VaR计算方法

VaR方法提出的背景 传统的ALM(Asset-Liability Management,资产负债管理)过于依赖报表分析&#xff0c;缺乏时效性&#xff1b;利用方差及β系数来衡量风险太过于抽象&#xff0c;不直观&#xff0c;而且反映的只是市场&#xff08;或资产&#xff09;的波动幅度&#xff1b;而…

Matlab画线实例图

1 plot画线 直线&#xff1b; 设置线宽和颜色&#xff1b; 黄色&#xff0c;8像素宽&#xff1b; 直线&#xff0c;黄色&#xff1b; 2 line 画线 画的是坐标(1,3)到(2,4)的一条线&#xff1b; 设置线型和颜色&#xff1b; 3 数学曲线 另一个&#xff1b;

matlab 绘制三维空间直线

绘制三维空间直线 clc,clear; x-2:0.1:2; y(-17*x9)/9; z(-7*x7)/9; plot3(x,y,z,m); grid on

Matlab图像线条绘制

1.线型 定义符---:-.线型实线&#xff08;缺省值&#xff09;划线点线点划线 2.线条宽度 指定线条的宽度&#xff0c;取整为整数&#xff08;单位为像素&#xff09;。 3.线条颜色 定义符r(red)g(green)b(blue)c(cyan)颜色红色绿色蓝色青色 定义符m(magenta)y(yellow)k(bla…

matlab绘制垂线(x轴或y轴)

使用line函数就可以绘制垂线 1、绘制垂直于x轴的垂线 line([xvalue xvalue],[y1 y2])&#xff1b; 比如绘制x5 y取值为[0,10]&#xff1b; line([5 5],[0 10]); 2、绘制垂直于y轴的垂线 line([x1 x2], [yvalue yvalue])&#xff1b; 比如绘制y5 x取值为[0,10]&#xff…

由两点坐标如何画出直线 matlab

由两点坐标如何画出直线 方法1&#xff1a;利用直线方程 斜率加截距 方法2&#xff1a;数据拟合 1 %由两点坐标得数据拟合直线与画线 2 x [1,2];3 y [5,8];4 k ((8-2)/(5-1));% 由两点坐标得到直线斜率5 line k*x0.5;% 直线方程6 7 xy 1:10;% 定义画线的 x 长度8 line1 …

matplotlib画直线

使用matplotlib画两条直线&#xff1a; Code : from matplotlib.lines import Line2D import matplotlib.pyplot as pltfigure, ax plt.subplots() # 设置x&#xff0c;y值域 ax.set_xlim(left0, right20) ax.set_ylim(bottom0, top10) # 两条line的数据 line1 [(1, 1), (5…

Matlab点画线

这个作图和python还是有点区别的&#xff0c;似乎对命令输入的顺序还有要求。 t[1190.2 1153.14 1071.56 1069.22 1063.18 ]; w10:10:50; % scatter(w,t,sz,r,filled); plot(w,t,o--,linewidth,2) hold on t1[1073.02 1057.81 1129.7 1028.18 1015.6 ]; plot(w,t1,*--,linewid…

用MATLAB一直画直线竟然得到了简单的禅绕画,论一直画直线的人有多无聊

之前看过一个视频&#xff0c;有个人把纸面分割成一个一个三角后一直画直线&#xff0c;慢慢的图纸上的图案变得复杂了起来&#xff0c;大概是像下面这样&#xff1a; 上面这个图便是我用matlab模拟的效果&#xff0c;过程很简单&#xff0c;就是用了泊松云盘采点构建三角网格&…