一.二次曲面






二.二次曲面的旋转不变量








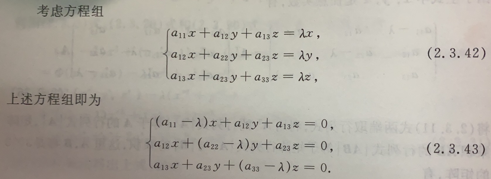
三.特征方程和特征根
1.特征根(特征值)与主方向(特征方向,特征向量):


2.不同直角坐标系下的主方向:


3.二次曲面的标准形式:
引理1:非零实对称矩阵 D D D的特征根全是实数
引理2:非零实对称矩阵 D D D的3个特征根至少有1个不为0
引理3:可以选择对应的3个特征根(实根)的主方向,使得它们互相垂直
定理1:经过适当的坐标变换, Φ ( x , y , z ) Φ(x,y,z) Φ(x,y,z)总可以化为标准形式 λ 1 x ∗ 2 + λ 2 y ∗ 2 + λ 3 z ∗ 2 λ_1x^{*2}+λ_2y^{*2}+λ_3z^{*2} λ1x∗2+λ2y∗2+λ3z∗2,其中实数 λ 1 , λ 2 , λ 3 λ_1,λ_2,λ_3 λ1,λ2,λ3是系数矩阵 D D D的3个特征根
四.二次曲面方程的化简与二次曲面的分类
1.二次曲面化为标准形式的过程


(1)特征根均不为0:


(2)特征根有且仅有1个为0:



(3)特征根有且仅有2个为0:



2.分类
(1)二次曲面的分类:
定理2:二次曲面化为标准形式,一共有17类
(2)二次曲线的分类:
定理3:平面上二次曲线一共有9类:椭圆,虚椭圆,双曲线,1点,2条相交直线,抛物线,2条平行直线,2条虚平行直线,2条重合直线
























