
遗传算法(Genetic a lgo rithm s, GA ) 是由Hol-land 教授及其学生首先提出的一种仿照生物学中进化论思想而衍生出的优化算法。遗传算法应用于优化问题的求解, 是一个启发式随机搜索的过程, 与传统的优化搜索算法相比具有可以克服局部最优解的陷阱, 搜索得到全局最优解等特点, 适用于大规模复杂问题的优化。
但是在实际生产过程中, 优化目标函数往往必须在一定的约束条件下进行。目前解决遗传算法中约束问题的方法主要有可行方向法, 惩罚函数法, 二 次规划法等。今天我们通过惩罚函数法解决连续催化重整(CCR )优化操作中的约束问题, 然后将遗传算法应用于该过程中, 实现遗传算法对含约束条件 的CCR 操作的优化。
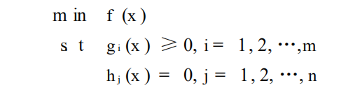
带约束条件问题的优化算法
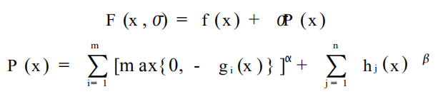
对于一般的带约束条件问题的优化目标函数, 可以通过惩罚函数, 即通过给原来的目标函数加一 项由约束函数所构成的惩罚项来生成新的目标函 数, 将含有约束的问题转化为不含约束的问题来解决。
01
外点法
对于一般的约束问题

可以定义如下辅助函数:

其中, Α, Β≥1 均为常数。这样把约束问题转化为无约束问题:

外点法在迭代过程中产生的近似最优解只是近似地满足约束条件, 对于一些要求严格的问题, 得到的效果不是很好, 甚至会出现不适用的情况。
02
内点法
内点法是在可行域的内部迭代求解约束问题, 这类方法不适用于带有等式约束的问题。对于一般问题:

可行域记为:

保证迭代点在可行域内部的情况下, 可定义辅助函数:

把约束问题转化为无约束问题。B (x )在实际中常采 用倒数罚函数

和对数罚函数

对数罚函数比倒数罚函数收敛得快些。
在遗传算法的优化过程中, 可以采用以上方法先将带有约束的优化问题转化为无约束问题, 再调用遗传算法工具箱进行优化。
带约束条件的遗传算法在连续催化重整优化中的应用
某石油化工公司炼油厂建设的60万吨年连续催化重整装置采用UOP技术, 以低辛烷值石脑油为原料, 通过原料预处理, 重整反应, 催化剂连续再 生和重整油分馏 4 个工序, 生成富含芳烃的高辛烷值汽油。连续重整反应器生产控制的主要目的是在保证重整产品辛烷值、催化剂结焦含量合格的前提下, 提高重整产品 C+5 液收率。
根据工艺分析, 影响重整产品辛烷值、催化剂结焦含量、重整产品 C+5 液收率的因素众多, 如反应器进出口温度、加权平均床层温度、反应压力、空速、氢油比等, 而生产上只是将反应器进口温度作为操作变量进行优化操作, 在满足辛烷值要求和催化剂结焦含量的标准下得到最大的产品液收率。通过软测量方法可以获得重整产品辛烷值、催化剂结焦含量、重整产品C+5 液收率的模型, 在此基础上可以调整 反应器进口温度, 实现优化操作。连续重整优化问题数学表达如下

式中 y 为收率;
X1 为进料流量, 是上道工序的负荷参数;
X 2为出料流量;
X3 为干点;
X4 为芳烃潜含 量;
X5 为氢油比;
X6 为 50%馏程;
ti 为反应器进料温度(4 个叠加反应器的进料温度控制在相同数值, 故 仅考虑第一反应器进料温度) ;
t01、t02、t03、t04分别为 第一、二、三、四反应器出口温度, tB 为加权平均床层温度;
通过 4 个反应器进料温度和出口温度求出;R 为辛烷值, 要求94≤R ≤100;
C 为催化剂结焦含量, 且要求 1≤C≤6。在优化计算时, 考虑通过改变反应 器加权平均床层温度提高收率, 要求 450≤tB≤480。
01
外点法遗传算法
建立如下辅助函数:

将带约束的优化问题转化为不含约束的优化问题, 其中w 1、w 2 是惩罚因子, 取w1= 0.1, w2= 0.2, 然后调用遗传算法工具箱, 对必要的参数进行设置:
[ tB endPop ]= ga (bounds, ′fun′, [ ], in itPop ,
[1e- 611], ′maxGenTe rm ′, 25, ⋯ ′norm Geom Selec t′, [0.08], [′ar ithX2 over′], [20], ′nonunifM u tation′, [ 2 253]) ;
寻优后的曲线如图 1 所示, 得到最优控制点:
tB = - 0. 7582
y = 96.5138

其中 tB 为经过归一化后的反应器加权平均床层温度值, 对它反归一化后可得反应器加权平均床层温度为 453. 6 °C。此时可获得重整产品 C+5 最大液收率为 96. 51 38 。
图 1中的曲线是初始函数的图像, “十字”图标是初始种群,“空心圆”图标是经过一次 GA 迭代运算后得到的新种群,“方框”图标是最终获得的种群, 即最优解。
02
内点法遗传算法
建立辅助函数:

将约束问题转化为不含约束的问题, 其中 n1, n2 为惩罚因子, 取 n1= 0.2, n2= 0.1。然后调用遗传算法工具箱。寻优后的曲线如图 2 所示, 最优控制点:
tB = - 0. 8786,
y = 96. 4348

对 tB 反归一化后可得反应器加权平均床层温度为451. 8 °C, 即当反应器加权平均床层温度为451. 8 °C 时 获 得重整产品 C+5 最 大 液 收 率 为 96. 4348。
内点法和外点法的比较
采用内点法和外点法解决带约束问题的遗传算 法时的迭代次数如表 1


可以看出使用内点法与外点法解决模型的遗传算法约束问题所经历的迭代次数相差不大。但结合图1和图2 及表2可以看出, 使用内点法改进的遗传算法最终种群(Endpop )可以很精确地重合在一点, 即最优解。
使用外点法改进的遗传算法最终种群的个别个体存在着一定的偏差, 这主要是因为外点法是一种近似求解的方法。同时也说明使用内点法解决不含等式约束的遗传算法问题时具有更好的寻优性能。同时在尝试惩罚因子的过程中, 有时也会碰到外点法不适合解决该实际问题的情形, 即寻找的最优点实际上是次优点或者偏离真实最优点的情况, 当然对于本问题可以通过改变惩罚因子, 迭代次数等参数消除这种弊端。所以对于不含等式约束的问题, 运用内点法是一种很好的 解决方法。但是, 在存在等式约束的情况时, 还是要借助于外点法或者其他方法。
从表 1 还可以看出, 对于本问题采用带约束条件的遗传算法经过 20 次迭代后可以稳定地达到最优值, 对于大规模复杂问题具有很好的应用前景。
国赛 · 最新
重庆赛区成绩公示
广西赛区成绩公示
2020年高教社杯国赛赛题评阅要点
• END •
模友们可能已经发现:现在公众号推送文章的顺序,已经不会按时间排列了。这种变化,可能会让各位模友错过我们每天的推送。
所以,如果你还想像往常一样,聚焦数模乐园,就需要将“数模乐园”标为星标公众号,同时在阅读完文章后,别忘了给一个“在看”哦。
星标步骤
(1)点击页面最上方“数模乐园”,进入公众号主页
(2)点击右上角的小点点,在弹出页面点击“设为星标”,就可以啦。


扫码关注我们

2020国际赛QQ参赛群


球分享

球点赞

球在看