点到超平面的距离
- 1.点到平面的距离
- 2.点到超平面的距离
1.点到平面的距离
首先说一下采用向量法计算点到平面的距离:

设图中平面的方程为Ax+By+Cz+D=0,点M0的坐标为(x0,y0,z0),点M1的坐标为(x1,y1,z1),求M1到平面的距离。
解:

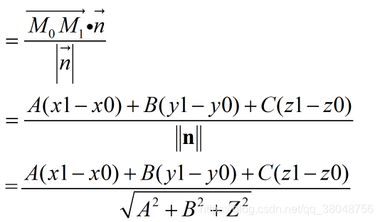
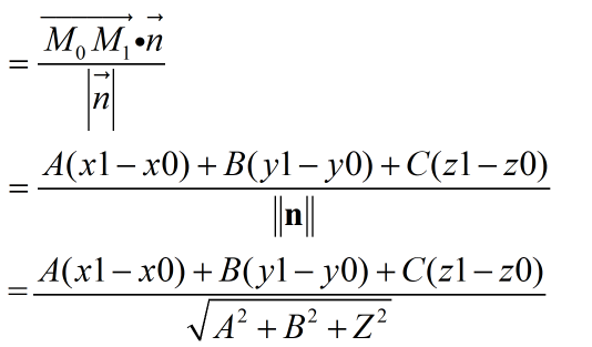
其中a为向量M0M1与平面法向量之间的夹角,对于平面Ax+By+Cz+D=0,该平面的一个法向量n为(A,B,C),由于

因此

进一步化简该式:

由于点M0在平面内,故有

故结果可进一步转化为

因为距离为正数,因此此处加了个绝对值。
综上可以看出,点到平面的距离的计算,实际上是将该点带入到该平面方程,然后再除以该平面的法向量的二范数。
注:
1.向量的模为向量的长度
2.向量的点积为一个数
3.向量的二范数为向量所有元素的平方和再开根号。
2.点到超平面的距离
由点到平面的距离,可以类比下点到超平面的距离,即将该点带入到该超平面,然后再除以该平面法向量的二范数。实际应用中。通常将该点带入到该超平面,不除以该平面法向量的二范数,利用该方式来刻画点到超平面的距离远近。













