优化方法总结(梯度下降法、牛顿法、拟牛顿法等)

article/2025/10/3 11:26:02

梯度下降法

梯度下降法是最简单,也是最常用的最优化方法。梯度下降法实现简单,当目标函数是凸函数时,梯度下降法的解是全局解/一般情况下,其解不保证是全局最优解,梯度下降法的速度也未必是最快的。梯度下降法的优化思想是用当前位置负梯度方向作为搜索方向,因为该方向为当前位置的最快下降方法,所以也被称为是“最速下降法”。最速下降法越接近目标值,步长越小,前进越慢。梯度下降法的搜索迭代示意图如下图所示:
è¿éåå¾çæè¿°

 梯度下降法的缺点:

(1)靠近极小值时收敛速度减慢,如下图所示;

(2)直线搜索时可能会产生一些问题;

(3)可能会“之字形”地下降

è¿éåå¾çæè¿°

 从上图可以看出,梯度下降法在接近最优解的区域收敛速度明显变慢,利用梯度下降法求解需要很多次的迭代。

在机器学习中,基于基本的梯度下降法发展了俩种梯度下降方法,分别为随机梯度下降法和批量梯度下降法。

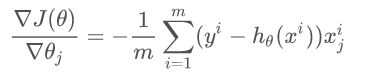
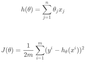
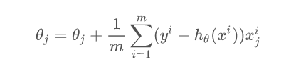
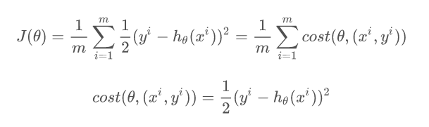
比如对一个线性回归模型,假设下面的h(x)是要拟合的函数,J(theta)为损失函数,theta是参数,要迭代求解的值,theta求解出来的那最终要拟合的函数h(theta)就出来了。其中m是训练集的样本个数,n是特征的个数。

 

 1)批量梯度下降法(Batch Gradient Descent, BGD)

(1)将J(theta)对theta求偏到,得到每个theta对应的梯度:

(2)由于是要最小化风险函数,所以按每个参数theta的梯度负方向,来更新每个theta:

 

 (3)从上面公式可以注意到,它得到的是一个全局最优解,但是每迭代一步,都要用到训练集所有的数据,如果m很大,那么可想而知这种方法的迭代速度会相当慢。所以,这就引入了另外一种方法——随机梯度下降。

对于 批量梯度下降法,样本个数m,x为n维向量,一次迭代需要把m个样本全部带入计算,迭代一次计算量为m*n^2.

2)随机梯度下降(Stochastic Gradient Descent,SGD)

(1)上面的风险函数可以写成如下这种形式,损失函数对应的是训练集中每个样本的粒度,而上面批量梯度下降对应的是所有的训练样本:

(2)每个样本的损失函数,对theta求偏导得到对应梯度,来更新theta:

 (3)随机梯度下降是通过每个样本来迭代更新一次,如果样本很大的情况(例如几十万),那么可能只用其中几万条或者几千条的样本,就已经将theta迭代到最优解了,对比上面的批量梯度下降,迭代一次需要用到十几万训练样本,一次迭代不可能最优,如果迭代10次的话就需要遍历训练样本10次。但是SGD伴随的一个问题是噪音较BGD要多,使得SGD并不是每次迭代都向着最优化方向。

随机梯度下降每次迭代只使用一个样本,迭代一次计算量n2,当样本个数m很大的时候,随机梯度下降迭代一次的速度要远高于批量梯度下降方法。俩者的关系可以这样理解:随机梯度下降方法以损失很小的一部分精确度和增加一定数量的迭代次数为代价,换取了总体的优化效率的提升。增加的迭代次数远远小于样本的数量。

对批量梯度下降法和随机梯度下降法的总结:

批量梯度下降——最小化所有训练样本的损失函数,使得最终求解的是全局的最优解,即求解的参数是使得风险函数最小,但是对于大规模样本问题效率底下。

随机梯度下降——最小化每条样本的损失函数,虽然不是每次迭代得到的损失函数都向着全局最优化方向,但是大的整体的方向是向全局最优解的,最终的结果往往是在全局最优解附近,适用于大规模训练样本情况。

上面我们学习了梯度下降法,下面我们来反过来学习下梯度下降法为什么是下降最快的方法。

假设L(Wt)wei第t次迭代的损失函数值

 其中d为脚步方向,也就是一个单位长度的向量。\lambda是步长,为步福。公式进行泰勒展开,只取一阶导数,后面的省略。则。要尽可能大,所以要尽可能小,其中,俩个向量内积运算最小。则俩个方向相反。所以d是的方向的单位向量。

牛顿法

上面的梯度下降法,我们知道了是一次求导,走的是每次下降最快的方向,看的也是当前一步下降最快的方向,但是这样找的只是局部最优点,并不是全局最优点。

延续上面的公式:

 

牛顿法保留到泰勒展开的二次导。牛顿法最大的特点就在于它的收敛速度很快。

 其中w_{t}为第t次迭代的值,w_{t+1}为下一次更新的值,也就是要求的未知数。

w_{t+1}求导,并令其等于0,得

假设L''(w{_t})的逆矩阵存在,则

 

具体步骤:

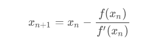
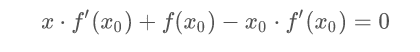
首先,选择一个接近函数f(x)零点的x{_{0}} ,计算相应的法f(x_{0})和切线斜率f'(x_{0})(这里f'表示函数f的导数)。然后我们计算穿过点(x0,f(x0))并且斜率为f'(x0)的直线和x轴的交点的x坐标,也就是求如下方程的解:

 我们将新求得的点的 x 坐标命名为x1,通常x1会比x0更接近方程f(x)=0的解。因此我们现在可以利用x1开始下一轮迭代。迭代公式可化简为如下所示:

 已经证明,如果f'是连续的,并且待求的零点x是孤立的,那么在零点x周围存在一个区域。只是初始化x0位于这个领近区域内,那么牛顿法必定收敛。并且如果f'(x)不为0,那么牛顿法将具有平方收敛的性能。粗略的说,这意味着每次迭代一次,牛顿法结果的有效数字将增加一倍。下图为一个牛顿法执行过程的例子。

   由于牛顿法是基于当前位置的切线来确定下一次的位置,所以牛顿法又被很形象地称为是“切线法”。牛顿法的搜索路径(二维情况)如下图所示:

牛顿法搜索动态实例图:

è¿éåå¾çæè¿°

 关于牛顿法和梯度下降法的效率对比:

  从本质上去看,牛顿法是二阶收敛,梯度下降是一阶收敛,所以牛顿法就更快。如果更通俗地说的话,比如你想找一条最短的路径走到一个盆地的最底部,梯度下降法每次只从你当前所处位置选一个坡度最大的方向走一步,牛顿法在选择方向时,不仅会考虑坡度是否够大,还会考虑你走了一步之后,坡度是否会变得更大。所以,可以说牛顿法比梯度下降法看得更远一点,能更快地走到最底部。(牛顿法目光更加长远,所以少走弯路;相对而言,梯度下降法只考虑了局部的最优,没有全局思想。)

根据wiki上的解释,从几何上说,牛顿法就是用一个二次曲面去拟合你当前所处位置的局部曲面,而梯度下降法是用一个平面去拟合当前的局部曲面,通常情况下,二次曲面的拟合会比平面更好,所以牛顿法选择的下降路径会更符合真实的最优下降路径。

è¿éåå¾çæè¿°

注:红色的牛顿法的迭代路径,绿色的是梯度下降法的迭代路径。

牛顿法的优缺点总结:

   优点:二阶收敛,收敛速度快;

   缺点:牛顿法是一种迭代算法,每一步都需要求解目标函数的hession矩阵的逆矩阵,计算比较复杂。

拟牛顿法

拟牛顿法是求解非线性优化问题最有效的方法之一,于20世纪50年代由美国Argonne国家实验室的物理学家W.C.Davidon所提出来。Davidon设计的这种算法在当时看来是非线性优化领域最具创造性的发明之一。不久R. Fletcher和M. J. D. Powell证实了这种新的算法远比其他方法快速和可靠,使得非线性优化这门学科在一夜之间突飞猛进。

拟牛顿法的本质思想是改善牛顿法每次需要求解复杂的Hessian矩阵的逆矩阵的缺陷,它使用正定矩阵来近似Hessian矩阵的逆,从而简化了运算的复杂度。拟牛顿法和最速下降法一样只要求每一步迭代时知道目标函数的梯度。通过测量梯度的变化,构造一个目标函数的模型使之足以产生超线性收敛性。这类方法大大优于最速下降法,尤其对于困难的问题。另外,因为拟牛顿法不需要二阶导数的信息,所以有时比牛顿法更为有效。如今,优化软件中包含了大量的拟牛顿算法用来解决无约束,约束,和大规模的优化问题。

启发式优化方法

启发式方法指人在解决问题时所采取的一种根据经验规则进行发现的方法。其特点是在解决问题时,利用过去的经验,选择已经行之有效的方法,而不是系统地、以确定的步骤去寻求答案。启发式优化方法种类繁多,包括经典的模拟退火方法、遗传算法、蚁群算法以及粒子群算法等等。

  还有一种特殊的优化算法被称之多目标优化算法,它主要针对同时优化多个目标(两个及两个以上)的优化问题,这方面比较经典的算法有NSGAII算法、MOEA/D算法以及人工免疫算法等。

解决约束优化问题——拉格朗日乘数法


http://chatgpt.dhexx.cn/article/8Zg38cby.shtml

相关文章

几种常用的优化方法梯度下降法、牛顿法、)

几种常用的优化方法 1. 前言 熟悉机器学习的童鞋都知道,优化方法是其中一个非常重要的话题,最常见的情形就是利用目标函数的导数通过多次迭代来求解无约束最优化问题。实现简单,coding 方便,是训练模型的必备利器之一。 2. 几个数…

常见的几种最优化方法(梯度下降法、牛顿法、拟牛顿法、共轭梯度法等)

常见的几种最优化方法(梯度下降法、牛顿法、拟牛顿法、共轭梯度法等) 我们每个人都会在我们的生活或者工作中遇到各种各样的最优化问题,比如每个企业和个人都要考虑的一个问题“在一定成本下,如何使利润最大化”等。最优化方法是…

优化方法

一阶优化方法:梯度下降法 梯度下降不一定能够找到全局最优解,有可能是一个局部最优解。如果损失函数是凸函数,梯度下降法得到的解一定是全局最优解。 梯度下降法分为三类: batch gradient descent 每次更新参数使用全部的样本&a…

Visual Studio 2012安装教程

1.鼠标右击软件压缩包,选择解压到【Visual Studio2012】。 2.双击打开【Visual Studio2012】文件夹。 3.双击打开【安装包】。 4.选中【vs_ultimate】后,鼠标右击选择【以管理员身份运行】。 5.更改软件安装路径:建议安装到除C盘以外的磁盘&a…

vs2022的下载及安装教程

Visual Studio在团队项目开发中使用非常多且功能强大,支持开发人员编写跨平台的应用程序;Microsoft Visual C 2022正式版(VC2022运行库),具有程序框架自动生成,灵活方便的类管理,强大的代码编写等功能,可提供编辑C语言…

VS2012安装步骤

学习C#一段时间了,安装了VS,在安装的过程中,没有想象中的那么顺利,一直想记录一下,今天在此小编来介绍一下VS的安装吧! 1.exe安装文件直接双击,安装就开始啦! 2.选择安装路径&#…

【数据库系统工程师】第9章 非关系型数据库NoSQL

目录 思维导图9.1 NoSQL概述1.三高需求面前,NoSQL应运而生 9.2 相关理论基础1.一致性2.分区3.存储分布4.查询模型 9.3 NoSQL数据库的种类1.分类与特点2.文档存储3.键值存储4.列存储5.图存储6.其他存储模式 9.4 NoSQL应用案例与新技术1.HBase数据库2.云数据库GeminiD…

NOSQL数据库习题

NOSQL数据库习题 第一章第二章第三章第四章第五章NoSQL数据库上机测试 第一章 1.写出DB、RDB、DBMS、TRDB、NoSQL、NewSQL、NDFS的中文名称。 答:DB:数据库 RDB:关系型数据库 DBMS:数据库管理系统 TRDB:传统关系型数…

NoSql数据库使用心得

http://bbs.chinaunix.net/thread-4168061-1-1.html NoSql数据库这个概念听闻许久了,也陆续看到很多公司和产品都在使用,优缺点似乎都被分析的清清楚楚。但我心里一直存有一个疑惑,它的出现究竟是为了解决什么问题? 这个疑惑非…

NoSQL - 学习/实践

1.应用场景 主要用于学习NoSQL数据库, 与关系型数据库的区别, 以及各自的原理实现,应用场景。 2.学习/操作 1.文档阅读 What is NoSQL? | Nonrelational Databases, Flexible Schema Data Models | AWS Relational (SQL) or NoSQL? - Ama…

NoSQL数据库入门

为什么80%的码农都做不了架构师&#xff1f;>>> NoSQL数据库入门 本书是一本NoSQL入门书&#xff0c;从最基本的NoSQL发展史开始&#xff0c;介绍了memcached、Tokyo、Redis和MongoDB的等NoSQL数据库的使用背景、优缺点和具体应用案例...更多<< 转载于:h…

SQL与NoSQL数据库入门基础知识详解

这几年的大数据热潮带动了一激活了一大批hadoop学习爱好者。有自学hadoop的&#xff0c;有报名培训班学习的。所有接触过hadoop的人都知道&#xff0c;单独搭建hadoop里每个组建都需要运行环境、修改配置文件测试等过程。对于我们这些入门级新手来说简直每个都是坑。国内的发行…

大数据开发学习:NoSQL数据库入门

大数据处理&#xff0c;涉及到从数据获取到数据存储、数据计算的诸多环节&#xff0c;各个环节需要解决的问题不同&#xff0c;相关岗位要求的技能也不同。在数据存储阶段&#xff0c;对数据库选型是非常重要的一项工作。今天的大数据开发学习分享&#xff0c;我们就来聊聊NoSQ…

Nosql复习笔记,教材《NoSQL数据库入门与实践》

Nosql复习笔记 目录 一、NoSQL数据库的主要技术特点有以下几种。 二、单机的局限性 三、服务器的纵横扩充 四、帽子定理CAP 五、BASE:基本可用(BA)、 软状态(S)、最终一致性(E) 六、键值数据库实现基本原理 七、键值数据库存储结构基本要素 八、键值存储特点&#xff…

NoSQL数据库入门概述

关系型数据库与NoSql数据库 什么是NoSQL Not Only SQL&#xff0c;其含义是&#xff1a;适合关系型数据库的时候就是用关系型数据库&#xff0c;不适用的时候也没必要非得使用关系型数据库不可&#xff0c;可以考虑使用更加合适的数据存储。 为弥补关系型数据库的不足&am…

MongoDB(NoSQL)数据库入门及基本操作

文章目录 一、NoSQL 简介1.1 NoSQL的优点1.2 NoSQL的缺点1.3 NoSQL的分类 二、MongoDB2.0 demo示例2.1 install and connect mongoose2.2 基本指令 一、NoSQL 简介 NoSQL(NoSQL Not Only SQL )&#xff0c;意即"不仅仅是SQL"&#xff0c;是非关系型的数据库。 NoS…

NoSql入门

一.概念&#xff1a; NoSQL(NOSQL Not Only SQL)&#xff0c;意即“不仅仅是SQL”&#xff0c;泛指非关系型的数据库。随着互联网web2.0网站的兴起&#xff0c;传统的关系数据车在应付web2.0网站&#xff0c;特别是超大规模和高并发的SNS类型的web2.0纯动态网站已经显得力不从…

大数据开发——Hive实战案例

文章目录 1. 创建表结构1.1 视频表结构1.2 用户表结构 2. 准备工作2.1 创建临时表2.2 创建最终使用表2.3 对创建表进行解读 3. 业务分析 1. 创建表结构 1.1 视频表结构 1.2 用户表结构 2. 准备工作 2.1 创建临时表 由于使用的是orc方式进行存储&#xff0c;所以我们需要建立…

【大数据处理技术】实验4

安装MongoDB&#xff08;Ubuntu版本&#xff1a;22.04 LTS&#xff09; 0.查看Ubuntu版本 命令&#xff1a;lsb_release -a 1.使用Ubuntu命令安装 &#xff08;1&#xff09;更新系统包&#xff1a; sudo apt update&#xff08;可选&#xff09; sudo apt upgrade&#x…

大数据处理的五大关键技术及其应用

数据处理是对纷繁复杂的海量数据价值的提炼,而其中最有价值的地方在于预测性分析,即可以通过数据可视化、统计模式识别、数据描述等数据挖掘形式帮助数据科学家更好的理解数据,根据数据挖掘的结果得出预测性决策。其中主要工作环节包括:   大数据采集、大数据预处理、大数…