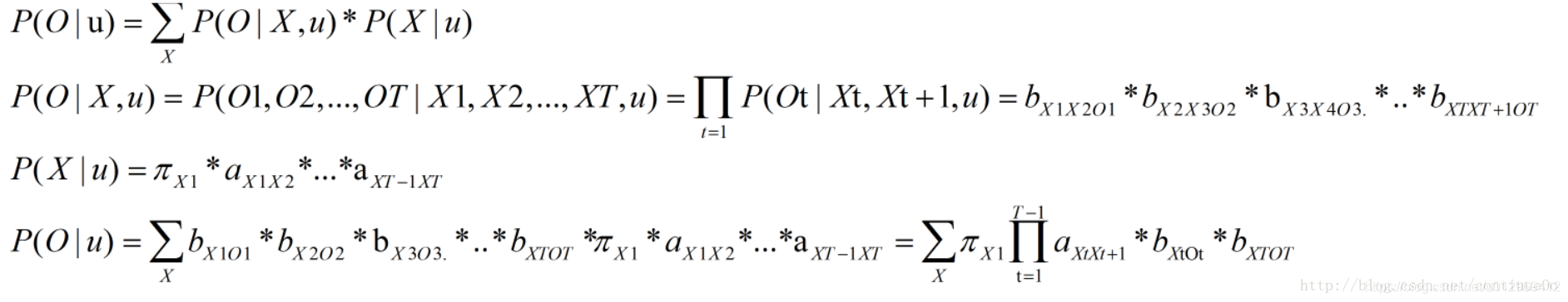
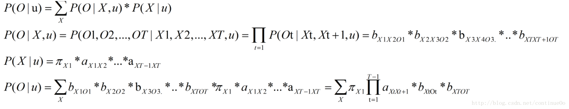
写在前面的话:
1.博主不定期上线,所以有时候看到私信的时候,时间已经过去好久了,所以就不会回复私信了;
2.再就是写这篇博客仅仅是为了记录一下自己解决该问题的办法,博主本人对修电脑这方面也不是很在行,所以可能不能帮大家解决大家实际中碰到的问题,还请见谅。
感觉昨晚正常关机,不知怎么回事,一觉醒来笔记本就打不开了。最讨厌的蓝屏出现了!!!各种搜索解决办法,不想重装系统,手上也没有任何U盘等修复工具,经过一番搜索终于完美解决我的问题。
自动修复失败

首先点击重新启动,可以多次点击,若幸运的话,电脑可能成功开机,可惜我的无论是重新启动还是关机重启都无济于事。
点击高级选项,选择其中的疑难解答,点击启动修复,就会出现导致无法修复的原因。

此时,点击高级选项,选择命令提示符,输入bcdboot c:\windows /l zh-cn,点击回车,重启笔记本,发现无法加载操作系统,关键系统驱动程序丢失或包含错误。

我出现的问题,于我所查阅的各种博客不同,所以我就查询关键词win10 恢复 关键系统驱动程序丢失或包含错误、错误代码:0x000007b。发现将提示的文件删除就能解决问题
按F1进入恢复环境,选择微软键盘,敲空格,进入命令行模式,删除.sys文见 输入del c:\windows\system32\drivers\bootsafe64_ev.sys,敲回车,输入exit,敲回车,点击继续使用windows,重启之后就能正常开机了。
如果觉得对您有用,点赞鼓励一下呗,如果实际操作过程中遇到什么问题,可以看看评论区是否有相同情况的小伙伴奥~ヾ(◍°∇°◍)ノ゙


















